Angular Momentum
Second semester is here and we're diving straight into angular momentum — turning L = r × p into a full-on quantum operator and chasing down its eigenvalues!
Alright!! Everyone, second semester is kicking off!
We are so cooked!!! hehehehe it’s going to be a blast heh heh heh trust me~~~~ ^^
OK, enough fussing. Let’s just dive in.
Through the first semester, we covered how we describe quantum mechanics — the mathematical machinery, the basic techniques, and, y’know, the Schrödinger equation… all that good stuff.
Then we handled different kinds of potentials one by one, and finally, at the very end, we described the long-awaited hydrogen atom in terms of its classical quantities: energy $E$, momentum $p$, position $r$, and so on.
So what are we doing this semester?
There are still classical quantities we haven’t touched.
And that would be — angular momentum!!!!!
Even if the electron isn’t going on some neat circular orbit around the nucleus, it’s still spinning around somehow, right???
I mean… come on, it’s pretty likely it’s tumbling around in there, no??
So the plan is: assume “it rotates,” try to describe that, and see what happens.
If the result matches experiment, great. If not, we throw it out and have a total mental breakdown, right??? haha
Anyway, let’s just roll with it and see where it takes us!
Something like that.
OK then.
Angular momentum…. let me try to write it down.
The classical quantity is
$$\overrightarrow{L} = \overrightarrow{r} \times \overrightarrow{p}$$which means
$$= (x, y, z) \times (p_x, p_y, p_z)$$so
$$= (yp_z - xp_y, \quad zp_x - xp_z, \quad xp_y - yp_x)$$Ohhh~~ but $r$ and $p$ and stuff like that…
in quantum mechanics these are operators — we learned that last semester, right?
So what I’m trying to say is: $L$ is also an operator!!!! That’s the whole point.
And this operator? We can write it entirely in terms of operators we already know!!!!
Remember how we wrote momentum $p$?!
Meaning,
$$\hat{L} = \left(y\frac{\hbar}{i}\frac{\partial}{\partial z} - x\frac{\hbar}{i}\frac{\partial}{\partial y}, \quad z\frac{\hbar}{i}\frac{\partial}{\partial x} - x\frac{\hbar}{i}\frac{\partial}{\partial z}, \quad x\frac{\hbar}{i}\frac{\partial}{\partial y} - y\frac{\hbar}{i}\frac{\partial}{\partial x}\right)$$I want to write it like this, but if I stick it in a 1×3 matrix it looks like a vector,
so let me write it out like a proper operator @@
$$\begin{cases}\hat{L}_x = y\frac{\hbar}{i}\frac{\partial}{\partial z} - z\frac{\hbar}{i}\frac{\partial}{\partial y}\\ \hat{L}_y = z\frac{\hbar}{i}\frac{\partial}{\partial x} - x\frac{\hbar}{i}\frac{\partial}{\partial z}\\ \hat{L}_z = x\frac{\hbar}{i}\frac{\partial}{\partial y} - y\frac{\hbar}{i}\frac{\partial}{\partial x}\end{cases}$$From now on I’m gonna drop the hats wherever I can get away with it.
We all know there are no classical quantities left, only operators, so… it’ll be fine, right….?
OK, now that we have a shiny new operator (a.k.a. some matrix),
same game as always — we find its eigenvalues and eigenfunctions.
Yep yep yep.
Eigenvalues first. Apparently commutators (I’ll just call them commutators) are super useful here,
so let me sort out the commutators first and then move on!!
I’ll do $x$ and $y$ and then generalize.
$$\begin{align}[L_x, L_y] &= [yp_z - zp_y, \quad zp_x - xp_z] \\ &= (yp_z - zp_y)(zp_x - xp_z) - (zp_x - xp_z)(yp_z - zp_y) \\ &= yp_z zp_x - yp_z xp_z - zp_y zp_x + zp_y xp_z - \{zp_x yp_z - zp_x zp_y - xp_z yp_z + xp_z zp_y\}\end{align}$$I color-coded it on purpose. Don’t let yourself get more confused!!!

Honestly doing it on paper with the color thing is way less confusing,
so I’m just uploading it exactly as I scribbled it!!!! heh @@
So that’s how I organized it, and the reason I organized it that way is because
$$[y, p_x] = [y, p_x] = [y, p_x] = 0$$stuff like this — we already settled this earlier (and, like, it’s kind of obvious anyway,, heh heh heh)
So the middle two groups up there just vanish,
and what’s left is
$$= [yp_z, \quad zp_x] + [zp_y, \quad xp_z]$$just that much.
Now look inside there — see all the $x$ and $y$ stuff? $x$, $p_x$, $y$, $p_y$ — those commute with everything we care about, so we can yank them out in front, right???
Don’t let the $z$ and $p_z$ sitting in there spook you. Pull the rest to the front!!! Totally legal, so:
$$= yp_x[p_z, z] + xp_y[z, p_z]$$And applying the relation we proved back when we did Heisenberg’s uncertainty principle,
$$[x, p_x] = [y, p_y] = [z, p_z] = i\hbar$$$$= yp_x[p_z, z] + xp_y[z, p_z] \\ = yp_x(-i\hbar) + xp_y(i\hbar) \\ = i\hbar(xp_y - yp_x) \\ \text{Oh}!!!? \text{ wait hold on}??!?!! \\ = i\hbar(L_z)$$$$\therefore \quad [L_x, L_y] = i\hbar L_z \\ \text{And we can generalize.} \\ [L_y, L_z] = i\hbar L_x \\ [L_z, L_x] = i\hbar L_y$$Now let’s say out loud what those formulas actually mean.
The headline is not that the commutator of two different-direction angular momenta equals $i\hbar L$ — that’s fun, but the real point is
$$\neq 0$$it’s not zero. That’s the info we need to extract here.
Not zero means — doesn’t it kinda scream this at you?
“Angular momentum components in different directions can’t be measured simultaneously with precision.” That’s what it means!!!!
Or, to say it another way:
“Measure this first then that, versus measure that first then this — you get different answers.”
Or yet another way:
“Measuring $L_x$ disturbs $L_y$ and $L_z$.”
“Measuring $L_y$ disturbs $L_x$ and $L_z$.”
That’s it in words. Now let me say it in math-speak:
“$L_x$, $L_y$, $L_z$ — can’t be simultaneously diagonalized.”
As in, there’s no eigenfunction that’s shared between any two of the directional angular momentum operators.
Ah, this is kinda fun heh heh heh heh
Should I drop the English too????? The professor said it like this:
“$L_x, L_y, L_z$: incompatible. No common eigenfunction. Cannot be specified simultaneously.”
Hah….. so this is a dead end too… /// So with our backs against the wall like this,
what was the key move the great physicists before us pulled?
“Yo~~~~!! Forget about angular momentum in two directions!!!!”
The angular momentum in one direction, and the magnitude of the total angular momentum —
those two can be measured simultaneously, and precisely.
Meaning: $L_i$ and $L^2$ commute!!!!!!
Ugh, let me write it properly in the equation editor.
$$[L^2, L_x] = [L^2, L_y] = [L^2, L_z] = 0$$$$L^2 = L_x^2 + L_y^2 + L_z^2$$You can check this yourself by grinding it out.
Saying this in math again: simultaneous diagonalization is on the table,
meaning there’s a common eigenfunction shared by the two!
<For the gritty math behind this, go look at the end of “Linear Algebra I Studied.">
So now, let’s just declare: a common eigenfunction exists (call it $f$),
and let’s go find the eigenvalues of each operator.
I’ll call the eigenvalue of $L^2$ $\lambda$,
and for the one direction, let’s pick $z$ — so the eigenvalue of $L_z$ is $\mu$. Let’s find them!
(Eigenvalues first, eigenfunctions next.)
* The eigenvalue-finding game
$$\begin{cases}L^2 f = \lambda f\\ L_z f = \mu f\end{cases}$$So… (annoyed face)…..
how are we even supposed to move forward from here?
Hitting a wall again. So what did the great physicists do?
Apparently they came up with a whole bunch of methods to crack this. But we’re going to go with the easiest one, they say.
The easiest method is: invent a new operator and use it to solve the problem.
The new operator they came up with is called the ladder operator,
(Different from the ladder operator in the time-independent harmonic oscillator!)
The angular-momentum ladder operator doesn’t have any deep physical meaning — it’s an operator that was designed to crack this specific problem. So don’t sit there trying to find a hidden meaning. Just take it as “this is a tool.” That’s how you’re supposed to approach it, apparently.
$$\text{Ladder operator}: L_{\pm} = L_x \pm iL_y$$(Since $z$ is locked in, the operators we play with are $x$ and $y$. But it doesn’t have to be $x$, $y$ — that’s the point???)
OK so that’s what it looks like, but whyyyy is it called the “ladder” operator?!?!?!!!
You’ll get it in about 60 seconds. Keep reading.
First, commutators — ladder operator with $L_z$, and ladder operator with $L^2$.
Let me knock those out.
$$\begin{align}i)\quad [L_z, L_{\pm}] &= [L_z, L_x \pm iL_y] \\ &= [L_z, L_x] \pm i[L_z, L_y] \\ &= i\hbar L_y \pm i(-i\hbar L_x) \\ &= i\hbar L_y \pm \hbar L_x \\ &= \hbar(\pm L_x + iL_y) \\ &= \pm\hbar(L_x \pm iL_y) \\ &= \pm\hbar L_{\pm} \\ \therefore [L_z, L_{\pm}] &= \pm\hbar L_{\pm} \\ ii)\quad [L^2, L_{\pm}] &\\ &= \text{Don't even need to think.} \quad L^2 \text{ commutes with } L_x \text{ and } L_y, \text{ so} \\ &= 0 \\ \therefore \quad [L^2, L_{\pm}] &= 0\end{align}$$<Please double-check whether things commute or don’t.>
OK now what are we going to do next?
Take $(L_{\pm} f)$,
hit it with $L^2$ once,
then hit it with $L_z$.
WHY WHY WHY WHY WHY WHY WHY WHY????
Because we’re playing the eigenvalue-finding game!!!
$$L^2(L_{\pm}f) \quad \text{The two operators commute, so we can swap them}!!!\\ = L_{\pm}(L^2 f) \quad \text{Oh oh oh}?? \text{ We set } \lambda \text{ as the eigenvalue,}\\ = L_{\pm}(\lambda f) \quad \lambda \text{ is just some constant, so}\\ = \lambda(L_{\pm}f)\\ \text{i.e.,} \quad L^2(L_{\pm}f) = \lambda(L_{\pm}f)$$Do it again and nothing changes!!!
Because the commutator is $0$, the swap-and-slide thing works forever.
Punchline:
$$\text{If } f \text{ is an eigenfunction of } L^2, \text{ then}\\ (L_+ f) \text{ is also an eigenfunction}\\ (L_+^2 f) \text{ is also an eigenfunction}\\ (L_+^3 f) \text{ is also an eigenfunction}\\ (L_- f) \text{ is also an eigenfunction}\\ (L_-^2 f) \text{ is also an eigenfunction}\\ (L_-^3 f) \text{ is also an eigenfunction}\\ \text{And all of them share the same eigenvalue} \quad \lambda \text{. heh heh}$$Now let’s do the same thing with $L_z$. See what happens~~~~
$$\text{Since } L_z \text{ and } L_{\pm} \text{ didn't commute — they gave us } (\pm\hbar L_{\pm}),\\ \quad \\ [L_z, L_{\pm}] = \pm\hbar L_{\pm}\\ L_z L_{\pm} - L_{\pm}L_z = \pm\hbar L_{\pm}\\ \text{Use } L_z L_{\pm} = L_{\pm}L_z \pm \hbar L_{\pm}:\\ L_z(L_{\pm}f) = (L_{\pm}L_z \pm \hbar L_{\pm})f = L_{\pm}(L_z f) \pm \hbar(L_{\pm}f)\\ \text{The eigenvalue of } L_z \text{ was } \mu, \text{ so}\\ = L_{\pm}(\mu f) \pm \hbar(L_{\pm}f) = (\mu \pm \hbar)(L_{\pm}f)\\ L_z(L_{\pm}f) = (\mu \pm \hbar)(L_{\pm}f)$$$$\text{If } f \text{ is an eigenfunction of } L_z, \text{ then}\\ (L_+ f) \text{ is also an eigenfunction}\\ (L_+^2 f) \text{ is also an eigenfunction}\\ (L_+^3 f) \text{ is also an eigenfunction}\\ (L_- f) \text{ is also an eigenfunction}\\ (L_-^2 f) \text{ is also an eigenfunction}\\ (L_-^3 f) \text{ is also an eigenfunction}\\ \text{And the eigenvalues are } \mu+\hbar, \quad \mu+2\hbar, \quad \mu+3\hbar,\\ \mu-\hbar, \quad \mu-2\hbar, \quad \mu-3\hbar$$OK one more step.
Aaaand that’s why they call $L_{\pm}$ the ladder operator — every time you apply it, you climb up or down a rung in $L_z$’s eigenvalue.
Now here’s the thing we have to think about. The $L_z$ eigenvalue
$$\mu + n\hbar$$does this just grow forever???
No no no, no way, right??
(Because $L^2$ is the total magnitude of angular momentum, right?!?!?
Surely, absolutely, $L_z$’s value has to be smaller than $L^2$’s, right?!????)
So what I’m saying is:
$$\mu + n\hbar$$this has to have some upper limit. Call that upper limit
$$\ell\hbar$$!!!!!!
(Everyone’s probably already guessed — here $\ell$ is the angular momentum quantum number that everyone knows.
That $\ell$, yes, that’s the one. But why does the upper limit conveniently end up being that quantum number~~~? I asked the professor exactly this.
He said you don’t have to call it $\ell$ specifically — you could call it $a$ or whatever. But once we actually grind through to the end we’ll see it is the angular momentum quantum number, so just accept it for now and keep going.
“Just make some progress, GD” — that’s basically what he said.. heh.hehhehheh hehe)
And of course, the $z$-direction eigenvalue that keeps going down has a lower limit too.
Let’s call that lower limit
$$\bar{\ell}\hbar$$!
And the eigenfunctions at the top and bottom of the ladder, I’ll give them special names:
$$f_{top}, \quad f_{bottom}$$OK so from here on, let’s anchor everything to
$$f_{top}$$and the top eigenvalue is
$$\ell\hbar$$and coming down from there the eigenvalues go
$$(\ell-1)\hbar, \quad (\ell-2)\hbar, \quad (\ell-3)\hbar, \quad ....$$and the very last one at the bottom is
$$\bar{\ell}\hbar$$!
So let’s write everything with $f_{top}$ as our anchor.
What happens if we apply $L_+$ one more time to $f_{top}$???????
“It’d better not exist!!!!”
That’s what “upper limit” means. So
$$L_+ f_{top} = 0$$I’ll write it like that. ($L_- f_{bottom} = 0$ works by the same logic — we just happened to pick the top as our anchor.)
Also,
$$L^2 f_{top} = \lambda f_{top}\\ L_z f_{top} = \mu f_{top}$$The reason I’m writing these is: now we can express $\lambda$ using $\ell$ and $\hbar$!!!!!
And for that, we need a little trick!!!!
Here’s the trick:
$$\text{technique }@@\\ \begin{align}L_{\pm} \cdot L_{\mp} &= (L_x \pm iL_y)(L_x \mp iL_y) \\ &= L_x^2 + L_y^2 \mp i(L_x L_y - L_y L_x) \\ &= L_x^2 + L_y^2 \mp i(i\hbar L_z) \\ &= L^2 - L_z^2 \pm \hbar L_z \\ \therefore \quad L^2 &= L_{\pm} \cdot L_{\mp} + L_z^2 \mp \hbar L_z\end{align}$$OK “trick” is maybe a strong word….. haha haha haha it’s really just: look, $L^2$ can be written in terms of the ladder operators~~ that’s all.
Let me hit $f_{top}$ with this form of $L^2$, heh heh:
$$L^2 f_{top} = \lambda f_{top} \\ (L_{\pm} \cdot L_{\mp} + L_z^2 \mp \hbar L_z) f_{top} = \lambda f_{top} \\ (L_- \cdot L_+ + L_z^2 + \hbar L_z) f_{top} = \lambda f_{top} \\ L_- \cdot L_+ f_{top} + L_z^2 f_{top} + \hbar L_z f_{top} = \lambda f_{top} \\ 0 + L_z(L_z f_{top}) + \hbar L_z f_{top} = \lambda f_{top} \\ L_z(\ell\hbar f_{top}) + \hbar L_z f_{top} = \lambda f_{top} \\ \ell^2\hbar^2 f_{top} + \hbar(\ell\hbar f_{top}) = \lambda f_{top} \\ (\ell^2\hbar^2 + \ell\hbar^2) f_{top} = \lambda f_{top} \\ \therefore \quad \lambda = \hbar^2 \ell(\ell+1)$$Same deal for the bottom:
$$L^2 f_{bottom} = \lambda f_{bottom} \\ (L_{\pm} \cdot L_{\mp} + L_z^2 \mp \hbar L_z) f_{bottom} = \lambda f_{bottom} \\ (L_+ \cdot L_- + L_z^2 - \hbar L_z) f_{bottom} = \lambda f_{bottom} \\ L_+ \cdot L_- f_{bottom} + L_z^2 f_{bottom} - \hbar L_z f_{bottom} = \lambda f_{bottom} \\ 0 + L_z(L_z f_{bottom}) - \hbar L_z f_{bottom} = \lambda f_{bottom} \\ L_z(\bar{\ell}\hbar f_{bottom}) - \hbar L_z f_{bottom} = \lambda f_{bottom} \\ \bar{\ell}^2\hbar^2 f_{bottom} - \hbar(\bar{\ell}\hbar f_{bottom}) = \lambda f_{bottom} \\ (\bar{\ell}^2\hbar^2 - \bar{\ell}\hbar^2) f_{bottom} = \lambda f_{bottom} \\ \therefore \quad \lambda = \hbar^2\bar{\ell}(\bar{\ell}-1)$$So, so, so, so, so —
$$\lambda = \hbar^2 \ell(\ell+1) = \hbar^2\bar{\ell}(\bar{\ell}-1)$$For that equality to hold, we need
$$\bar{\ell} = -\ell \quad , \quad \bar{\ell} = \ell + 1$$but the second one makes zero sense,,,,,,, $\bar{\ell}$ is the lower limit. And the lower limit equals the upper limit plus one???
A lower limit bigger than the upper limit — no way. So:
$$\therefore \quad \bar{\ell} = -\ell$$Then the eigenvalues of $L_z$ are..!!
$$\ell\hbar, \quad (\ell-1)\hbar, \quad (\ell-2)\hbar, \quad (\ell-3)\hbar, \quad ....., \quad -\ell\hbar$$So do we write the generic $L_z$ eigenvalue as
$$(\ell-n)\hbar$$?????? Nope.
The standard convention is to write it as
$$m\hbar$$with $(m = \ell, \ell-1, \ell-2, ....)$ tagged on the side — that’s what we agreed on!!!
(Remember what the quantum number $m$ means — it’s a single directional component of angular momentum. So yeah, that’s exactly what’s going on!!!)
OK, to wrap this part up:
$$\begin{cases}\text{Eigenvalue of } L^2: \hbar^2\ell(\ell+1) \\ \text{Eigenvalue of } L_z: m\hbar \quad (m = \ell, \quad ...., \quad -\ell)\end{cases}$$OK truly truly one last thing.
From $\ell$ down to $-\ell$ — we’re stepping in integer steps, right?
$L_z$ steps by $+\hbar$ or $-\hbar$, so $\ell$ changes in integer steps!!!
Which means:
$$-\ell + N = \ell \\ 2\ell = N\\ \ell = N/2 \\ \ell = 0, \quad \frac{1}{2}, \quad 1, \quad \frac{3}{2}, \quad ....$$Huh?!??!!?? But we know the angular momentum quantum number is the thing that labels orbitals,
and those are only integers, right????
Half-integers work too???? What is this???
Yeah… that’s where the phrase “mathematically speaking” comes in.
Mathematically, half-integers are fine. But what on earth does it mean for $\ell$ to be a half-integer?
Mild spoiler:
This is exactly the stuff we’ll pick up in the next chapter — it’s called spin.
Here’s what you shouldn’t get confused about:
$\ell$ being integer-only is still correct, and half-integers being “allowed” is only in the mathematical sense, also correct!!!
Why half-integers are mathematically allowed — you’ll see that when we study spin!!!! Woohoo!!!
So, we started out with mystery constants $\lambda$ and $\mu$, and now we’ve finished expressing the eigenvalues of $L^2$ and $L_z$ in terms of quantities we actually know — $\hbar$ and $\ell$!!!!! heh heh
Translation: eigenvalues — conquered.
Next: eigenfunctions of $L^2$ and $L_z$!!!
Let’s go.
The classical angular momentum is
$$\overrightarrow{L} = \overrightarrow{r} \times \overrightarrow{p}$$but in quantum mechanics those classical quantities turn into operators, so
$$\hat{L} = \hat{r} \times \hat{p} = -i\hbar \hat{r} \times \hat{\nabla}$$like this.
Now, the move is: rewrite the del operator in spherical coordinates.
(We’re in chapter 4 — the hydrogen atom! Spherical coords are the natural thing.)
$$\nabla = \hat{r}\frac{\partial}{\partial r} + \hat{\theta}\frac{1}{r}\frac{\partial}{\partial\theta} + \hat{\varphi}\frac{1}{r\sin\theta}\frac{\partial}{\partial\varphi}$$Plug this converted del back into the angular momentum expression.
In the $(r, \theta, \varphi)$ form, the $r$ component drops out to $0$.
$$\hat{L} = -i\hbar(r \times \hat{\nabla}) = i\hbar\left(\hat{\varphi}\frac{\partial}{\partial\theta} + \hat{\theta}\frac{1}{\sin\theta}\frac{\partial}{\partial\varphi}\right)$$(Heads up: the $r$ in here has no hat.)
The hats here mean unit vectors.
Now convert back to $x, y, z$.
Don’t lag. We’re going from spherical to Cartesian!!!
$$L_x = i\hbar\left(\sin\varphi\frac{\partial}{\partial\theta} + \cot\theta\cos\varphi\frac{\partial}{\partial\varphi}\right) \\ L_y = i\hbar\left(-\cos\varphi\frac{\partial}{\partial\theta} + \cot\theta\sin\varphi\frac{\partial}{\partial\varphi}\right) \\ L_z = \frac{\hbar}{i}\frac{\partial}{\partial\varphi}\\ L^2 = -\hbar^2\left[\frac{1}{\sin\theta}\frac{\partial}{\partial\theta}\left(\sin\theta\frac{\partial}{\partial\theta}\right) + \frac{1}{\sin^2\theta}\frac{\partial^2}{\partial\varphi^2}\right]$$And — plot twist — this was information that was baked into the Hamiltonian the whole time!!!!!
$$\Psi(r, \theta, \varphi) = R(r) \cdot Y(\theta, \varphi) = R(r) \cdot \Theta(\theta) \cdot \Phi(\varphi)$$When we begged the hydrogen atom to be separable and actually solved it,
the red equation was $\Phi(\varphi)$,
and the blue was $\Theta(\theta)$.
So the eigenfunction $f$ that simultaneously satisfies $L^2$ and $L_z$ is
$$Y(\theta, \varphi)$$— it was the spherical harmonic the whole time!
And we also know $Y$ depended on the quantum numbers $\ell$ and $m$, right?
Writing it as $Y$ from here on might get confusing (and also because of what’s coming up — spin — which is a direct continuation of this),
I’ll slap $\ell, m$ subscripts on $f$ instead.
$$f_{\ell,m}$$Like so!!!!
$$L^2 \cdot f_{\ell,m} = \ell(\ell+1)\hbar^2 \cdot f_{\ell,m}\\ L_z \cdot f_{\ell,m} = m\hbar \cdot f_{\ell,m}$$Write it this way and — boom — both eigenvalue and eigenfunction, conquered!!
Prob 4.18
The raising and lowering operators shift $m$ by one unit:
$$L_{\pm} \cdot f_{\ell,m} = A \cdot f_{\ell,m}$$where $A$ is some constant. If the eigenfunctions can be normalized, what’s $A$?
(hint: first show that $L_{\mp}$ is the Hermitian conjugate of $L_{\pm}$ — you can assume (but you should prove it) that $L_x$ and $L_y$ are Hermitian, since they’re measurable quantities.)
① Step one: check that the Hermitian conjugate thing is actually true.
$$\langle f | L_{\pm}g \rangle = \langle f | (L_x \pm iL_y)g \rangle = \langle f | L_x g \rangle + \langle f | \pm iL_y g \rangle \\ \quad \\ * \text{ Since } L_x \text{ and } L_y \text{ are Hermitian}, \\ = \langle L_x f | g \rangle + \langle \mp iL_y f | g \rangle = \langle (L_x \mp iL_y)f | g \rangle = \langle L_{\mp}f | g \rangle \\ ** \text{Ah, got it! The dagger of } L_{\pm} \text{ is } L_{\mp} \text{!!!}\approx$$② Now: apply $L_{\pm} \cdot L_{\mp}$ to $f_{\ell,m}$.
But in this form we can’t pull out an eigenvalue, so let’s reshape it using the same identity as before:
$$L^2 = L_{\pm} \cdot L_{\mp} + L_z^2 \mp \hbar L_z$$Using that:
$$\langle f_{\ell,m} | L_{\pm} \cdot L_{\mp} f_{\ell,m} \rangle = \langle f_{\ell,m} | (L_{\pm} \cdot L_{\mp} + L_z^2 \mp \hbar L_z) f_{\ell,m} \rangle$$Wait I goofed the sign structure there — let me just compute both sides cleanly. Right-hand side first:
$$\text{RHS})) \\ \langle f_{\ell,m} | \hbar^2\ell(\ell+1)f_{\ell,m} - \hbar^2 m^2 f_{\ell,m} \mp \hbar^2 m f_{\ell,m} \rangle \\ = \langle f_{\ell,m} | \hbar^2\{\ell(\ell+1) - m(m\pm1)\}f_{\ell,m} \rangle \\ = \hbar^2\{\ell(\ell+1) - m(m\pm1)\}$$Left-hand side — use the dagger relation between the ladder operators we just proved:
$$\text{LHS})) \\ \begin{align}\langle f_{\ell,m} | L_{\mp}L_{\pm}f_{\ell,m} \rangle &= \langle L_{\mp}^{\dagger}f_{\ell,m} | L_{\pm}f_{\ell,m} \rangle \\ &= \langle L_{\pm}f_{\ell,m} | L_{\pm}f_{\ell,m} \rangle \\ &= \langle L_{\pm}f_{\ell,m} | L_{\pm}f_{\ell,m} \rangle \\ &= \langle Af_{\ell,m\pm1} | Af_{\ell,m\pm1} \rangle \\ &= A^2\end{align}$$Oh!! So LHS and RHS came out in the exact form we needed!
$$A^2 = \hbar^2\{\ell(\ell+1) - m(m\pm1)\} \\ \therefore \quad A = \hbar\sqrt{\{\ell(\ell+1) - m(m\pm1)\}}$$Prob 4.19
a) Starting from the canonical commutation relations for position and momentum, show:
$[L_z, x], [L_z, y], [L_z, z], [L_z, p_x]$



b) Use these to show $[L_z, L_x] = i\hbar L_y$ (eq 4.96).
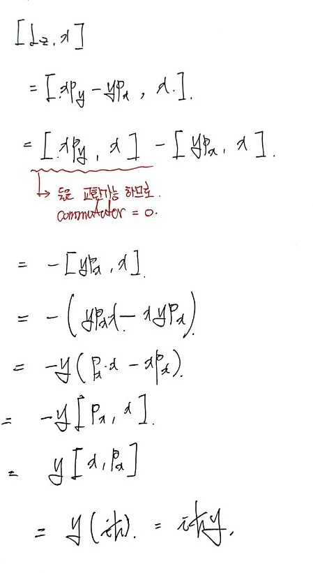
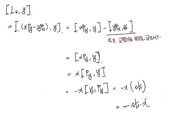
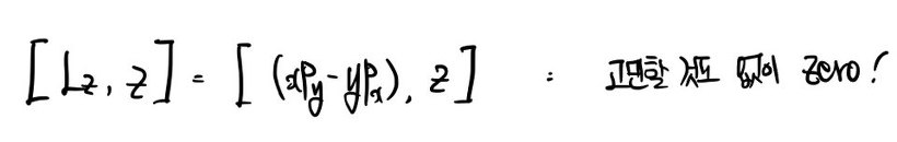
$$\begin{align}[L_z, L_x] &= [L_z, yp_z - zp_y] \\ &= [L_z, yp_z] - [L_z, zp_y] \\ \\ &= [L_z, y]p_z - [L_z, z]p_y \\ &= [L_z, y]p_z - [L_z, p_y]z \\ &= (-i\hbar x)p_z - (-i\hbar p_z)z \\ &= i\hbar zp_x - i\hbar xp_z \\ &= i\hbar L_y\end{align}$$c) Find $[L_z, r^2]$ and $[L_z, p^2]$.
$$\begin{align}[L_z, r^2] &= [L_z, x^2 + y^2 + z^2] \\ \\ &= [L_z, x^2] + [L_z, y^2] + [L_z, z^2] \\ &= [L_z, x]x + x[L_z, x] + [L_z, y]y + y[L_z, y] \\ &= 0 \\ \\ [L_z, p^2] &= [L_z, p_x^2 + p_y^2 + p_z^2] \\ \\ &= [L_z, p_x^2] + [L_z, p_y^2] + [L_z, p_z^2] \\ &= [L_z, p_x]p_x + p_x[L_z, p_x] + [L_z, p_y]p_y + p_y[L_z, p_y] \\ &= 0\end{align}$$Prob 4.24
Two particles of mass $m$ are stuck to the ends of a massless rod of length $a$.
The whole thing rotates freely in 3D about its center (center fixed).
a) Show the allowed energies of this rigid rotor are
$$E_n = \frac{\hbar^2 n(n+1)}{ma^2} \quad \text{for } n = 0, 1, 2, ...$$→ Basically: can we express the energy of the two particles in terms of the angular momentum $L$? (Let velocity be $v$.)
$$E = 2\left(\frac{1}{2}mv^2\right) = mv^2$$Angular momentum is $r \times mv$, and here the problem helpfully sets it up so the angle is always 90 degrees^^^ thx thx:
$$L = 2\left(\frac{a}{2} \times mv\right) = amv$$Now express $E$ in terms of $L$!
$$L^2 = a^2 m^2 v^2 = a^2 m \cdot mv^2 = a^2 mE \\ \therefore \quad E = \frac{L^2}{a^2 m} \\ \text{Substitute the eigenvalue of } L^2: \\ E = \frac{\hbar^2}{a^2 m}\ell(\ell+1) \\ \text{Huh, that's it?}$$Originally written in Korean on my Naver blog (2015-12). Translated to English for gdpark.blog.