Spin
Finally diving into spin — the weird intrinsic angular momentum that has nothing to do with actual rotation, and somehow explains everything anyway.
Whoa — spin. Finally!!!!
The spin I’ve been hearing about for ages lol.
At last I’m diving into the spin chapter of the quantum mechanics textbook, at last I too shall understand spin!!!!
Yeah right. No chance.
Just because you read this, you will absolutely, positively not know what spin is.
But here’s the thing that is certain: even though we don’t know it, we can at least describe it……
Anyway. Let’s go.
First, to sketch out the story: the concept of spin is something physicists introduced in a total panic after observing a bizarre thing called the Zeeman Effect.
When they were trying to make sense of this weird Zeeman Effect,
they hurriedly tried explaining it with this new concept of spin — a “different kind of rotation” — and it turned out to work. That’s the thing.
So what this means is: it’s absolutely not the case that the electron is actually spinning around its own axis like the Earth.
We were just trying to explain natural phenomena, and instead of $L = r \times p$ we ended up explaining things with a different kind of rotation, $S = I \cdot \omega$ — a different kind of angular momentum.
And it turned out to be explainable. That’s the thing!!!!
(I keep saying “a different kind of rotation” — I mean, is it orbital rotation or is it spin rotation, that kind of distinction.)
(But wait, aren’t those the same thing anyway? When you describe the spin of a rigid body, each individual particle inside it is just doing orbital motion around the axis.)
(Yeah but the claim here is that the particle itself is rotating — which, as I said, is something nobody really understands…)
OK so, to define spin the way it’s actually nailed down experimentally:
S: Intrinsic angular momentum.
Nothing to do with motion in space.
Not described by any function of anything.
Spin has nothing to do with spatial variables $(r, \theta, \varphi)$ and nothing to do with motion either.
It’s defined as an unchanging, intrinsic value.
cf.) Someone once explained spin to me as an ID card.
Like, apparently a bunch of things go on that ID card. Just like your ID shows your address, name, etc.
Like the electron saying “Hi, I’m an electron~~~”
“My mass is this much, my charge is this much, and my Spin is 1/2~~~”
I’ve also seen it phrased as: spin is a physical quantity you can treat as an intrinsic property of a given particle.
Might be a useful way to think about it.
Even though it’s a “different kind” of angular momentum,
it’s still angular momentum,
so we get to recycle everything we did before.
Let’s drag all that old stuff back in:
$$[ L_{x},\quad L_{y}] \quad =\quad i\hbar L_{z}\quad //\quad [ L^{2},\quad L_{z}] \quad =\quad 0\quad //\quad L_{\pm}=\quad L_{x}\quad \pm \quad iL_{y}\quad //\quad [ L_{z},\quad L_{\pm}] \quad =\quad \pm \hbar L_{\pm} \\ L^{2}f_{\ell ,m}\quad =\quad \hbar^{2}\ell (\ell +1)f_{\ell ,m}\\ L_{z}f_{\ell ,m}\quad =\quad m\hbar f_{\ell ,m}\\ L_{\pm}f_{\ell ,m}\quad =\quad \hbar \sqrt {\ell (\ell +1)\quad -\quad m(m\pm 1)}f_{\ell ,m\pm 1}$$We’re recycling this.
Just swap $S$ in for $L$.
They’re both rotations, right?
(You might not be able to accept that. I get it. I wrestled with it hard too. One fix, if there is one: grit your teeth and push all the way through — eventually it makes sense. T_T)
So, changing everything above from $L$ to $S$,
and also changing the quantum numbers:
lowercase $l \to s$
lowercase $m \to m$ with a subscript $s$
$$[ S_{x},\quad S_{y}] \quad =\quad i\hbar S_{z}\quad //\quad [ S^{2},\quad S_{z}] \quad =\quad 0\quad //\quad S_{\pm}=\quad S_{x}\quad \pm \quad iS_{y}\quad //\quad [ S_{z},\quad S_{\pm}] \quad =\quad \pm \hbar S_{\pm} \\ S^{2}f_{s,m_{s}}\quad =\quad \hbar^{2}s(s+1)f_{s,m_{s}}\\ S_{z}f_{s,m_{s}}\quad =\quad m_{s}\hbar f_{s,m_{s}}\\ S_{\pm}f_{s,m_{s}}\quad =\quad \hbar \sqrt {s(s+1)\quad -\quad m_{s}(m_{s}\pm 1)}f_{s,m_{s}\pm 1}$$One more time, for emphasis: the equations above are absolutely, absolutely not things that “make sense”!!!!
It’s just that if you make this assumption and run with it, everything downstream predicts the right results,
so even though it doesn’t feel right, we adopt this framework because it gives us a working explanation.
But the deeper you go, the more “real” spin will feel,
and you’ll only sink deeper into the confusion.
Let’s all get a nice brain-lag together lol lol lol lol lol
OK so,
$$f_{s,m_{s}}$$this eigenfunction — from now on we write it as a ket:
$$|s,\quad m_{s}>$$and continue the spin discussion that way.
(In linear algebra, functions and vectors are the same kind of thing anyway, right??)
The thing that used to drive me nuts here was: well then, when we were doing angular momentum before, why didn’t we just write $|\ell, m\rangle$ as a ket back then?? -- WHY?? -- I was so bothered by this, many times.
So out of spite I just kept writing it the old way:
$$f_{s,m_{s}}$$And as I kept going lol lol lol lol lol lol lol lol lol
lol lol lol lol lol lol I found myself naturally writing ket vectors anyway lol lol lol lol lol
So I looked into why.
Why does spin force the ket-vector notation on us………………
Spoiler for why it has to switch: it’s because we’re only looking at the electron and the proton…
The full reason will come right after, so let me set up the ground first.
i) In linear algebra, a function and a vector are one and the same.
ii)
$$f_{s,m_{s}}$$Writing it this way has a strong function vibe.
iii)
$$|s,\quad m_{s}>$$Writing it this way has a strong vector vibe.
OK, before we properly dive into spin, we need to drop one more definition.
If the spin is an integer, we call the particle a Boson.
If the spin is a half-integer, we call it a Fermion.
Ex.)
Boson: π-meson ($S=0$), photon ($S=1$), graviton ($S=2$)
Fermion: electron ($S=1/2$), proton ($S=1/2$), neutron ($S=1/2$), delta ($S=3/2$)
Cf.
Apparently bosons and fermions obey different statistical mechanics.
The fundamental divide is whether they follow the Pauli exclusion principle!!!!
And apparently this is the reason the entire field of solid-state physics exists….
(I hear a lot of people die inside studying solid-state physics lol lol lol lol)
http://gdpresent.blog.me/220651906098

Pauli exclusion principle reference.
Resistivity vs. temperature data for metals. The thing you’ve been seeing since high school…
blog.naver.com
Worth checking out.
So the point for us right now: we don’t need to worry about all those particle zoo entries yet,
because we’re still in Chapter 4, the H-atom. We only need the proton and the electron.
Just the proton and the electron — and what a coincidence, both of these have $S=1/2$!!
$S=1/2$, you say~~~??
Just like for $l = k$ we had $m = -k, -k+1, -k+2, \ldots, k-1, k$ as the allowed values,
$$s\quad =\quad \frac {1}{2}\quad \text{then},\quad m_{s}\quad =\quad -\frac {1}{2},\quad -\frac {1}{2}+1\left( =\frac {1}{2} \right) \quad \text{exactly}\quad \text{these}\quad \text{two}\quad \text{are}\quad \text{the}\quad \text{only}\quad \text{ones}\quad \text{possible}.$$That is, for $s=1/2$ the eigenfunctions (of $S^2$ and $S_z$) are:
$$f_{\frac {1}{2},\quad -\frac {1}{2}}\quad f_{\frac {1}{2},\quad \frac {1}{2}}\quad \\ \text{these}\quad \text{are}\quad \text{the}\quad \text{only}\quad \text{ones}\quad \text{possible}.$$Only two eigenfunctions → only two basis functions → $S$ is a $2\times 2$ matrix!!
Which in turn means
$$f_{s,m_{s}}$$gets expressed with two components?!?!?!?!!!!
$$S^{2}f_{s,m_{s}}\quad =\quad \begin{pmatrix}{a}&{b}\\{c}&{d}\end{pmatrix}\left( \begin{matrix}{\alpha}\\{\beta}\end{matrix} \right) \quad =\quad \lambda \left( \begin{matrix}{\alpha}\\{\beta}\end{matrix} \right)$$If you write it out like this, everything I just said lines up.
Which means we can ditch the notation
$$f_{s,m_{s}}$$with its strong function-smell.
Let’s summarize.
$$f_{\frac {1}{2},\quad -\frac {1}{2}}\quad =\quad |\frac {1}{2},\quad -\frac {1}{2}\quad >\quad\quad f_{\frac {1}{2},\quad \frac {1}{2}}\quad =\quad |\frac {1}{2},\quad \frac {1}{2}\quad >$$Let’s write them this way!!
$$\quad |\frac {1}{2},\quad -\frac {1}{2}\quad >\quad\quad \quad |\frac {1}{2},\quad \frac {1}{2}\quad >$$These two are linearly independent, yeah?!?!?! Because they’re eigenfunctions!!
So, to make life easy!!!!
Let’s pick two arbitrary, linearly independent unit vectors and just roll with them:
$$\quad |\frac {1}{2},\quad -\frac {1}{2}\quad >\quad =\quad \left( \begin{matrix}{0}\\{1}\end{matrix} \right) \quad\quad \quad |\frac {1}{2},\quad \frac {1}{2}\quad >\quad =\quad \left( \begin{matrix}{1}\\{0}\end{matrix} \right)$$Like this.
Also, also, also, also, also — let me lock in a few more notations!!!!
And I’ll use whichever one fits the moment as we go!!!!!!
So you must accept that all of these are the same thing!!! Otherwise when I swap between them below you’ll get lost.
I’ll try to be as thorough as possible.
We’re looking at the electron.
(For now, electron only.)

Should we picture the electron like this???
Or like that??????????
Nope nope.

It’s gonna look like THIS!!!!!!!!!???
So then,
$$\quad |\frac {1}{2},\quad \frac {1}{2}\quad >\quad \text{probability of being in this state}\quad a^{2}\quad\quad \quad |\frac {1}{2},\quad -\frac {1}{2}\quad >\quad \text{probability of being in this state}\quad b^{2}$$This is how it looks.
$$state\quad =\quad a|\frac {1}{2},\quad \frac {1}{2}\quad >\quad +\quad b|\frac {1}{2},\quad -\frac {1}{2}\quad >$$Let’s denote the state by $\chi$ (chi).
And let’s denote each of the bases as $\chi_+$ and $\chi_-$, so:
$$state\quad =\quad a|\frac {1}{2},\quad \frac {1}{2}\quad >\quad +\quad b|\frac {1}{2},\quad -\frac {1}{2}\quad > \\ \chi \quad =\quad a\chi_{+}\quad +\quad b\chi_{-}\\ \chi_{+}\quad =\quad \left( \begin{matrix}{1}\\{0}\end{matrix} \right) \\ \chi_{-}\quad =\quad \left( \begin{matrix}{0}\\{1}\end{matrix} \right)$$Agreed??
Or — since the electron’s spin is only ever one of these two,
people say “let’s just call one up spin and the other down spin”, and write:
$|\uparrow\rangle$ or $|\downarrow\rangle$
Note this one — it’s super useful later when we get to “addition of spins.”
cf.) $S_z$ is the $z$-component of $S$, so you can literally think of it as up-vs-down, right?!?
OK, real summary time:
$$f_{\frac {1}{2},\quad \frac {1}{2}}\quad =\quad |\quad \frac {1}{2},\quad \frac {1}{2}>\quad =\quad \left( \begin{matrix}{1}\\{0}\end{matrix} \right) \quad =\quad \chi_{+}\quad =\quad |\quad \uparrow \quad >\quad\quad f_{\frac {1}{2},\quad -\frac {1}{2}}\quad =\quad |\quad \frac {1}{2},\quad -\frac {1}{2}>\quad =\quad \left( \begin{matrix}{0}\\{1}\end{matrix} \right) \quad =\quad \chi_{-}\quad =\quad |\quad \downarrow \quad >$$I will use all 5 expressions whenever I please~~!!!!!!!
When I want to play up the analogy with orbital angular momentum: the first one.
When I’m doing the electron/proton part: the second one.
When I want to look at things as matrices: the third.
When I’m describing the state: the fourth.
The last one I probably won’t use much in this chapter,
but I’m going to ride it hard in chapter 5.
Should copy-paste this cheat-sheet when I write chapter 5.. heh.
OK!!! Let’s finally get into actual spin content…. finally…
Funny thing — I was just supposedly “setting up notation” up there,
but I think I actually ended up covering all the eigenvectors related to spin along the way….
So now!! Let me work out the eigenvalues.
We’re going to work out $S_x, S_y, S_z, S^2, S_+, S_-$ as $2\times 2$ matrices, one at a time.
And I’ll land on one conclusion that covers everything.
But!!!! From here on the math is easy!!!!!!!!
go go go go go go go go go go go go go go go go go go light-hearted go go go go go go go go go go go go go go go
$$S^{2}f_{s,m_{s}}\quad =\quad s(s+1)\hbar^{2}f_{s,m_{s}}\\ S_{z}f_{s,m_{s}}\quad =\quad m_{s}\hbar f_{s,m_{s}}$$Those were the equations. Plugging in $s=1/2$:
$$S^{2}f_{\frac {1}{2},\frac {1}{2}}\quad =\quad s(s+1)\hbar^{2}|\quad \frac {1}{2},\frac {1}{2}\quad >\quad =\quad \frac {1}{2}(\frac {1}{2}+1)\hbar^{2}|\quad \frac {1}{2},\frac {1}{2}\quad >\quad =\quad \frac {3}{4}\hbar^{2}|\quad \frac {1}{2},\frac {1}{2}\quad >\quad \\ S^{2}f_{\frac {1}{2},-\frac {1}{2}}\quad =\quad s(s+1)\hbar^{2}|\quad \frac {1}{2},-\frac {1}{2}\quad >\quad =\quad \frac {1}{2}(\frac {1}{2}+1)\hbar^{2}|\quad \frac {1}{2},-\frac {1}{2}\quad >\quad =\quad \frac {3}{4}\hbar^{2}|\quad \frac {1}{2},-\frac {1}{2}\quad >\quad$$$$S_{z}f_{\frac {1}{2},\frac {1}{2}}\quad =\quad m_{s}\hbar |\quad \frac {1}{2},\frac {1}{2}\quad >\quad =\quad \frac {1}{2}\hbar |\quad \frac {1}{2},\frac {1}{2}\quad >\quad \\ S_{z}f_{\frac {1}{2},-\frac {1}{2}}\quad =\quad m_{s}\hbar |\quad \frac {1}{2},-\frac {1}{2}\quad >\quad =\quad -\frac {1}{2}\hbar |\quad \frac {1}{2},\frac {1}{2}\quad >$$Rewriting the kets as column vectors:
$$S^{2}\left( \begin{matrix}{1}\\{0}\end{matrix} \right) \quad =\quad \frac {3}{4}\hbar^{2}\left( \begin{matrix}{1}\\{0}\end{matrix} \right) \\ S^{2}\left( \begin{matrix}{0}\\{1}\end{matrix} \right) \quad =\quad \frac {3}{4}\hbar^{2}\left( \begin{matrix}{0}\\{1}\end{matrix} \right) \quad$$$$S_{z}\left( \begin{matrix}{1}\\{0}\end{matrix} \right) \quad =\quad \frac {1}{2}\hbar \left( \begin{matrix}{1}\\{0}\end{matrix} \right) \quad \\ S_{z}\left( \begin{matrix}{0}\\{1}\end{matrix} \right) \quad =\quad -\frac {1}{2}\hbar \left( \begin{matrix}{0}\\{1}\end{matrix} \right)$$And now we can nail down $S^2$ and $S_z$ as actual $2\times 2$ matrices!!!!
Shall we play the “express it as a matrix” game?!?!?!!!
Start by positing some unknown $2\times 2$ matrices:
$$S^{2}\quad =\quad \begin{pmatrix}{\text{don't}}&{\text{want}}\\{\text{to}}&{\text{do}}\end{pmatrix}\\ S_{z}\quad =\quad \begin{pmatrix}{\text{so}}&{\text{frus}}\\{\text{tra}}&{\text{ting}}\end{pmatrix}$$Those things in the matrix entries are not words. They’re numbers, numbers!!! Do not mistake me.
Since the column vectors we chose are eigenvectors, we can read off the matrices easily:
$$S^{2}\quad =\quad \frac {3}{4}\hbar^{2}\begin{pmatrix}{1}&{0}\\{0}&{1}\end{pmatrix}\\ S_{z}\quad =\quad \frac {1}{2}\hbar \begin{pmatrix}{1}&{0}\\{0}&{-1}\end{pmatrix}$$Easy, right?!?!!?!!!!
And the reason we could pin those two down as matrices was???? (because $s=1/2$……heh)
By the same logic,
$S_x, S_y, S_+, S_-$ can also be written as matrices!!~~
Wanna see? Let me start with the ladder operators.
Then from the ladder operators I’ll pick off $S_x$ and $S_y$ too.
$$S_{\pm}f_{s,m_{s}}\quad =\quad \hbar \sqrt {s(s+1)\quad -\quad m_{s}(m_{s}\pm 1)}f_{s,m_{s}\pm 1}$$Pasting this in first.
$$S_{+}f_{\frac {1}{2},\frac {1}{2}}\quad =\quad \hbar \sqrt {s(s+1)\quad -\quad m_{s}(m_{s}\pm 1)}f_{\frac {1}{2},\frac {1}{2}+1}\quad =\quad \text{BZZT}!!!!\quad \text{out}\quad \text{of}\quad \text{range}\quad =\quad 0\quad \\ S_{+}f_{\frac {1}{2},-\frac {1}{2}}\quad =\quad \hbar \sqrt {s(s+1)\quad -\quad m_{s}(m_{s}\pm 1)}f_{\frac {1}{2},-\frac {1}{2}+1}\quad =\quad \hbar \sqrt {\frac {1}{2}(\frac {1}{2}+1)\quad +\quad \frac {1}{2}(-\frac {1}{2}+1)}f_{\frac {1}{2},\frac {1}{2}}\quad =\quad \hbar \cdot f_{\frac {1}{2},\frac {1}{2}}\quad \\ S_{-}f_{\frac {1}{2},\frac {1}{2}}\quad =\quad \hbar \sqrt {s(s+1)\quad -\quad m_{s}(m_{s}\pm 1)}f_{\frac {1}{2},\frac {1}{2}-1}\quad =\quad \hbar \sqrt {\frac {1}{2}(\frac {1}{2}+1)\quad -\quad \frac {1}{2}(\frac {1}{2}-1)}f_{\frac {1}{2},-\frac {1}{2}}\quad =\quad \hbar \cdot f_{\frac {1}{2},-\frac {1}{2}}\\ S_{-}f_{\frac {1}{2},-\frac {1}{2}}\quad =\quad \hbar \sqrt {s(s+1)\quad -\quad m_{s}(m_{s}\pm 1)}f_{\frac {1}{2},-\frac {1}{2}-1}\quad =\quad \text{BZZT}!!!!\quad \text{out}\quad \text{of}\quad \text{range}\quad =\quad 0\quad$$Writing those four equations as column vectors?!?!?!!!!
$$S_{+}\left( \begin{matrix}{1}\\{0}\end{matrix} \right) \quad =\quad 0\quad \\ S_{+}\left( \begin{matrix}{0}\\{1}\end{matrix} \right) \quad =\quad \hbar \left( \begin{matrix}{1}\\{0}\end{matrix} \right) \quad \\ S_{-}\left( \begin{matrix}{1}\\{0}\end{matrix} \right) \quad =\quad \hbar \left( \begin{matrix}{0}\\{1}\end{matrix} \right) \\ S_{-}\left( \begin{matrix}{0}\\{1}\end{matrix} \right) \quad =\quad 0\quad$$$$S_{+}\quad =\quad \hbar \begin{pmatrix}{0}&{1}\\{0}&{0}\end{pmatrix}\\ S_{-}\quad =\quad \hbar \begin{pmatrix}{0}&{0}\\{1}&{0}\end{pmatrix}$$All clear????????
With these in hand, $S_x$ and $S_y$ fall out too.
$$S_{\pm}=\quad S_{x}\quad \pm \quad iS_{y}$$Just solve this as a quick system of two equations,
and I’ll just toss out the answer!!!
$$S_{x}\quad =\quad \frac {\hbar}{2}\begin{pmatrix}{0}&{1}\\{1}&{0}\end{pmatrix}\\ S_{y}\quad =\quad \frac {\hbar}{2}\begin{pmatrix}{0}&{-i}\\{i}&{0}\end{pmatrix}$$Up to here, we’ve written $S_x, S_y, S_z, S^2, S_+, S_-$ all as matrices.
Do not get this twisted:
$$L_{x}\quad =\quad i\hbar \left( sin\theta \frac {\partial}{\partial \theta}\quad +\quad cot\theta cos\varphi \frac {\partial}{\partial \varphi} \right) \\ L_{y}\quad =\quad i\hbar \left( -cos\varphi \frac {\partial}{\partial \theta}\quad +\quad cot\theta sin\varphi \frac {\partial}{\partial \varphi} \right) \\ L_{z}\quad =\quad i\hbar \frac {\partial}{\partial \varphi}\\ L^{2}\quad =\quad -\hbar^{2}\left[ \frac {1}{sin\theta}\frac {\partial}{\partial \theta}\left( sin\theta \frac {\partial}{\partial \theta} \right) \quad +\quad \frac {1}{sin^{2}\theta}\frac {\partial^{2}}{\partial \varphi^{2}} \right]$$Orbital angular momentum could only be expressed as operators,
but spin angular momentum has so few basis vectors that we get to write it as a matrix!!!!!! Got it?!?!?!
Quick pause here!!!!!
The eigenvectors of $S_z, S^2, S_+, S_-$ (everything except $S_x$ and $S_y$) were all the same — either $(1,0)$ or $(0,1)$!!!!!
But $S_x$ and $S_y$ we got indirectly from $S_\pm$.
Which means we don’t actually know the eigenvectors of $S_x$ and $S_y$ yet….. ;_;
So let’s work out the eigenvalues and eigenvectors of $S_x$ and $S_y$!!!
It’s baby’s-first linear algebra, so I’m just gonna throw the answer up!!!! That OK?!
Yes yes yes, they say it’s OK.
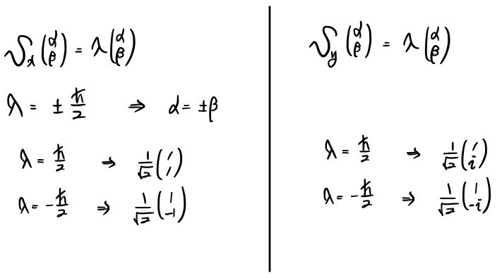
Actually rather than retyping this in the equation editor, I’ll just upload a photo —
I think that’s better for this stuff!!!

Boom — eigenvalues and eigenvectors for all 5 matrices revealed!
But look — the form of the eigenvectors for $S_x$ and $S_y$ is different!!!!
And if the form is different, we’d want to rewrite the state in a way that’s easier to read off, yeah??
So,
$$state\quad =\quad a|\frac {1}{2},\quad \frac {1}{2}\quad >\quad +\quad b|\frac {1}{2},\quad -\frac {1}{2}\quad >$$this guy.
Let me try expressing the $a$, $b$ version as a linear combination of $S_x$’s basis vectors,
$$\frac {1}{\sqrt {2}}\left( \begin{matrix}{1}\\{1}\end{matrix} \right) ,\quad \frac {1}{\sqrt {2}}\left( \begin{matrix}{1}\\{-1}\end{matrix} \right)$$!!!
$$state\left( =\chi \right) \quad =\quad \left( \begin{matrix}{a}\\{b}\end{matrix} \right) \quad =\quad a\frac {\sqrt {2}}{2}\left( \chi_{+}^{(x)}+\quad \chi_{-}^{(x)} \right) \quad +\quad b\frac {\sqrt {2}}{2}\left( \chi_{+}^{(x)}-\chi_{-}^{(x)} \right) \\ \quad =\quad \frac {\sqrt {2}}{2}\left( a+b \right) \chi_{+}^{(x)}\quad +\quad \frac {\sqrt {2}}{2}\left( a-b \right) \chi_{-}^{(x)}$$There!!
Meaning: if we measure $S_x$ on the state,
$$\chi_{+}^{(x)}\quad =\quad \frac {1}{\sqrt {2}}\left( \begin{matrix}{1}\\{1}\end{matrix} \right) \text{'s}\quad eigen\quad value\quad \frac {\hbar}{2}\text{ probability of being measured}\quad :\quad \left\{\frac {\sqrt {2}\left( a+b \right)}{2} \right\}^{2}\\ \chi_{-}^{(x)}\quad =\quad \frac {1}{\sqrt {2}}\left( \begin{matrix}{1}\\{-1}\end{matrix} \right) \text{'s}\quad eigen\quad value\quad -\frac {\hbar}{2}\text{ probability of being measured}\quad :\quad \left\{\frac {\sqrt {2}\left( a-b \right)}{2} \right\}^{2}$$($a$, $b$ are normalized, apparently. Forgot to mention and just barreled on. heh)
And we can see the two probabilities sum to 1.
Let me also try to explain, a bit more cleanly, what Griffiths QM 2e says on pages 169–170.
(I remember it being kind of a pain to get through.)
What the book is really getting at here: $[S_x, S_z] \neq 0$.
Meaning $S_x$ and $S_z$ cannot both be measured precisely.
Here we go. We don’t know much about a particle, so let’s say we measure $S_z$ on its state.
Before measuring $S_z$, the state is $a(1,0) + b(0,1)$.
That is:
$$S_{z}\text{'s}\quad \text{measured value being}\quad \chi_{+}^{(z)}\quad \text{state's}\quad eigen\quad value\quad \frac {\hbar}{2}\text{ probability}\quad :\quad a^{2}\\ S_{z}\text{'s}\quad \text{measured value being}\quad \chi_{-}^{(z)}\quad \text{state's}\quad eigen\quad value\quad -\frac {\hbar}{2}\text{ probability}\quad :\quad b^{2}$$And let’s say we actually measured and got $\hbar/2$.
OK, now we know. The state was in $\chi_+$, right?!
NO!!!!!!! It’s not that it was in that state — it’s that the act of measurement put the state into $\chi_+$. That’s the right way to say it.
So from this moment on,
$$state\quad =\quad \chi_{+}^{(z)}$$this is what the state is.
Now that we can write the state like that, if we measure $S_x$ right at this instant, what do we get?!?!?!!!
$$\chi_{+}^{(x)}\quad =\quad \frac {1}{\sqrt {2}}\left( \begin{matrix}{1}\\{1}\end{matrix} \right) \text{'s}\quad eigen\quad value\quad \frac {\hbar}{2}\text{ will be measured, or}\\ \chi_{-}^{(x)}\quad =\quad \frac {1}{\sqrt {2}}\left( \begin{matrix}{1}\\{-1}\end{matrix} \right) \text{'s}\quad eigen\quad value\quad -\frac {\hbar}{2}\text{ will be measured}$$Unknowable.
Because at this exact moment, the probability of each outcome is
$$\left\{\frac {\sqrt {2}\left( a+b \right)}{2} \right\}^{2}\quad \left\{\frac {\sqrt {2}\left( a-b \right)}{2} \right\}^{2}\quad a=1,\quad b=0$$exactly 1/2 each. 50/50….
We can’t measure $S_x$ and $S_z$ precisely at the same time!
OK, basic concepts of spin — done.
Let me run some problems to sharpen this up!!
Prob 4.28
For the most general normalized spinor
$$\chi \left( \quad =\quad \left( \begin{matrix}{a}\\{b}\end{matrix} \right) \quad =\quad a\chi_{+}\quad +\quad b\chi_{-} \right)$$calculate
$\left< \quad S_{x}\quad \right>$, $\left< \quad S_{y}\quad \right>$, $\left< \quad S_{z}\quad \right>$, $\left< \quad S_{x}^{2}\quad \right>$, $\left< \quad S_{y}^{2}\quad \right>$, $\left< \quad S_{z}^{2}\quad \right>$,
and confirm that
$$\left< \quad S_{x}^{2}\quad \right> \quad +\quad \left< \quad S_{y}^{2}\quad \right> \quad +\left< \quad S_{z}^{2}\quad \right> \quad =\quad \left< \quad S^{2}\quad \right>$$holds.
$$S_{x}\text{ is}\quad \frac {\hbar}{2}\begin{pmatrix}{0}&{1}\\{1}&{0}\end{pmatrix}\text{, as we said, so}\\ \left< S_{x} \right> \quad =\quad \left< state^{*}|\frac {\hbar}{2}\begin{pmatrix}{0}&{1}\\{1}&{0}\end{pmatrix}|state \right> \quad =\quad \frac {\hbar}{2}\left( \begin{matrix}{a^{*}}&{b^{*}}\end{matrix} \right) \begin{pmatrix}{0}&{1}\\{1}&{0}\end{pmatrix}\left( \begin{matrix}{a}\\{b}\end{matrix} \right) \\ \quad =\frac {\hbar}{2}\left( a^{*}b\quad +\quad ab^{*} \right)$$$$S_{y}\text{ is}\quad \frac {\hbar}{2}\begin{pmatrix}{0}&{-i}\\{i}&{0}\end{pmatrix}\text{, as we said, so}\\ \left< S_{y} \right> \quad =\quad \left< state^{*}|\frac {\hbar}{2}\begin{pmatrix}{0}&{-i}\\{i}&{0}\end{pmatrix}|state \right> \quad =\quad \frac {\hbar}{2}\left( \begin{matrix}{a^{*}}&{b^{*}}\end{matrix} \right) \begin{pmatrix}{0}&{-i}\\{i}&{0}\end{pmatrix}\left( \begin{matrix}{a}\\{b}\end{matrix} \right) \\ \quad =\frac {\hbar}{2}i\left( -a^{*}b\quad +\quad ab^{*} \right)$$$$S_{z}\text{ is}\quad \frac {\hbar}{2}\begin{pmatrix}{1}&{0}\\{0}&{-1}\end{pmatrix}\text{, as we said, so}\\ \left< S_{x} \right> \quad =\quad \left< state^{*}|\frac {\hbar}{2}\begin{pmatrix}{1}&{0}\\{0}&{-1}\end{pmatrix}|state \right> \quad =\quad \frac {\hbar}{2}\left( \begin{matrix}{a^{*}}&{b^{*}}\end{matrix} \right) \begin{pmatrix}{1}&{0}\\{0}&{-1}\end{pmatrix}\left( \begin{matrix}{a}\\{b}\end{matrix} \right) \\ \quad =\frac {\hbar}{2}\left( a^{*}a\quad +\quad bb^{*} \right) \quad =\quad \frac {\hbar}{2}\left( \left| a \right|^{2}\quad +\quad \left| b \right|^{2} \right) \quad$$$$S_{x}^{2}\quad =\quad \frac {\hbar^{2}}{4}\begin{pmatrix}{0}&{1}\\{1}&{0}\end{pmatrix}\begin{pmatrix}{0}&{1}\\{1}&{0}\end{pmatrix}\quad =\quad \frac {\hbar^{2}}{4}\begin{pmatrix}{1}&{0}\\{0}&{1}\end{pmatrix}\quad \text{identity matrix — not even gonna bother.}\\ \left< S_{x}^{2} \right> \quad =\quad \frac {\hbar^{2}}{4}\left( \begin{matrix}{a^{*}}&{b^{*}}\end{matrix} \right) \left( \begin{matrix}{a}\\{b}\end{matrix} \right) \quad =\quad \frac {\hbar^{2}}{4}\left( \left| a \right|^{2}\quad +\quad \left| b \right|^{2} \right) =\quad \frac {\hbar^{2}}{4}$$$$S_{y}^{2}\quad =\quad \frac {\hbar^{2}}{4}\begin{pmatrix}{0}&{-i}\\{i}&{0}\end{pmatrix}\begin{pmatrix}{0}&{-i}\\{i}&{0}\end{pmatrix}\quad =\quad \frac {\hbar^{2}}{4}\begin{pmatrix}{1}&{0}\\{0}&{1}\end{pmatrix}\quad \text{huh, same one}\\ \left< S_{y}^{2} \right> \quad =\quad \frac {\hbar^{2}}{4}\left( \begin{matrix}{a^{*}}&{b^{*}}\end{matrix} \right) \left( \begin{matrix}{a}\\{b}\end{matrix} \right) \quad =\quad \frac {\hbar^{2}}{4}\left( \left| a \right|^{2}\quad +\quad \left| b \right|^{2} \right) =\quad \frac {\hbar^{2}}{4}$$$$S_{z}^{2}\quad =\quad \frac {\hbar^{2}}{4}\begin{pmatrix}{1}&{0}\\{0}&{-1}\end{pmatrix}\begin{pmatrix}{1}&{0}\\{0}&{-1}\end{pmatrix}\quad =\quad \frac {\hbar^{2}}{4}\begin{pmatrix}{1}&{0}\\{0}&{1}\end{pmatrix}\quad \text{wait they're all the same?!?!}\\ \left< S_{z}^{2} \right> \quad =\quad \frac {\hbar^{2}}{4}\left( \begin{matrix}{a^{*}}&{b^{*}}\end{matrix} \right) \left( \begin{matrix}{a}\\{b}\end{matrix} \right) \quad =\quad \frac {\hbar^{2}}{4}\left( \left| a \right|^{2}\quad +\quad \left| b \right|^{2} \right) =\quad \frac {\hbar^{2}}{4}$$$$S^{2}\quad =\quad \frac {3}{4}\hbar^{2}\begin{pmatrix}{1}&{0}\\{0}&{1}\end{pmatrix}\quad \text{we had, so}\quad \\ \left< S^{2} \right> \quad =\quad \frac {3}{4}\hbar^{2}\quad \text{ok ok ok} \\ \text{oh ho ho ho}\\ \left< S_{x}^{2} \right> \quad +\quad \left< S_{y}^{2} \right> \quad +\quad \left< S_{z}^{2} \right> \quad =\quad \left< S^{2} \right> \\ \frac {\hbar^{2}}{4}\quad +\quad \frac {\hbar^{2}}{4}\quad +\quad \frac {\hbar^{2}}{4}\quad =\quad \frac {3\hbar^{2}}{4} \\ \text{checks}\quad \text{out}$$Prob 4.30
Construct
$S_{r}$,
the component of spin angular momentum along an arbitrary direction
$\hat {r}$.
Use these spherical coordinates:
$$\hat {r}\quad =\quad sin\theta \cdot cos\varphi \hat {i}\quad +\quad sin\theta \cdot sin\varphi \hat {j}\quad +\quad cos\theta \hat {k}$$Find the eigenvalues and eigenvectors of $S_{r}$.
Can’t we just say: take the dot product of $\mathbf{S}$ with the unit vector $\hat{r}$, and that gives us the spin in that direction?
$S_r$, here we go.
$$S_{r}\quad =\quad S\cdot \hat {r}\quad \\ =\quad \left( S_{x}\hat {i}\quad +\quad S_{y}\hat {j}\quad +\quad S_{z}\hat {k} \right) \left( sin\theta cos\varphi \hat {i}\quad +\quad sin\theta sin\varphi \hat {j}\quad +\quad cos\theta \hat {z} \right) \\ \\ =\quad S_{x}sin\theta cos\varphi \quad +\quad S_{y}sin\theta sin\varphi \quad +\quad S_{z}cos\theta \quad \text{now plug in the matrices we just learned.}\\ =\quad \frac {\hbar}{2}\begin{pmatrix}{0}&{1}\\{1}&{0}\end{pmatrix}sin\theta cos\varphi \quad +\quad \frac {\hbar}{2}\begin{pmatrix}{0}&{-i}\\{i}&{0}\end{pmatrix}sin\theta sin\varphi \quad +\quad \frac {\hbar}{2}\begin{pmatrix}{1}&{0}\\{0}&{-1}\end{pmatrix}cos\theta \\ =\quad \frac {\hbar}{2}\left\{\begin{pmatrix}{0}&{sin\theta cos\varphi}\\{sin\theta cos\varphi}&{0}\end{pmatrix}\quad +\quad \begin{pmatrix}{0}&{-isin\theta sin\varphi}\\{isin\theta sin\varphi}&{0}\end{pmatrix}\quad +\quad \begin{pmatrix}{cos\theta}&{0}\\{0}&{-cos\theta}\end{pmatrix} \right\} \\ =\quad \frac {\hbar}{2}\begin{pmatrix}{cos\theta}&{sin\theta cos\varphi \quad -isin\theta sin\varphi}\\{sin\theta cos\varphi +isin\theta sin\varphi}&{-cos\theta}\end{pmatrix}\\ =\frac {\hbar}{2}\begin{pmatrix}{cos\theta}&{sin\theta \left( cos\varphi \quad -isin\varphi \right)}\\{sin\theta \left( cos\varphi +icos\varphi \right)}&{-cos\theta}\end{pmatrix}\\ =\quad \frac {\hbar}{2}\begin{pmatrix}{cos\theta}&{sin\theta e^{-i\varphi}}\\{sin\theta e^{i\varphi}}&{-cos\theta}\end{pmatrix}$$$$\text{Let's nice-and-slow find the eigenvalue of}\quad S_{r} \\ \left| \begin{matrix}{\frac {\hbar}{2}cos\theta -\lambda}&{\frac {\hbar}{2}sin\theta e^{-i\varphi}}\\{\frac {\hbar}{2}sin\theta e^{i\varphi}}&{-\frac {\hbar}{2}cos\theta -\lambda}\end{matrix} \right| \quad =\quad 0 \\ \left( \lambda -\frac {\hbar}{2}cos\theta \right) \left( \lambda +\frac {\hbar}{2}cos\theta \right) \quad -\quad \frac {\hbar^{2}}{4}sin^{2}\theta \quad =\quad 0\\ \lambda^{2}\quad -\quad \frac {\hbar^{2}}{4}cos^{2}\theta \quad -\quad \frac {\hbar^{2}}{4}sin^{2}\theta \quad =\quad 0\\ \lambda^{2}\quad =\quad \frac {\hbar^{2}}{4} \\ \therefore \quad \lambda \quad =\quad \pm \quad \frac {\hbar}{2}$$$$\text{Got the eigenvalue — now just plug it into the eigen equation and solve the system.}\\ \frac {\hbar}{2}\begin{pmatrix}{cos\theta}&{sin\theta e^{-i\varphi}}\\{sin\theta e^{i\varphi}}&{-cos\theta}\end{pmatrix}\left( \begin{matrix}{\alpha}\\{\beta}\end{matrix} \right) \quad =\quad \pm \quad \lambda \left( \begin{matrix}{\alpha}\\{\beta}\end{matrix} \right) \quad =\quad \pm \quad \frac {\hbar}{2}\left( \begin{matrix}{\alpha}\\{\beta}\end{matrix} \right) \\ \alpha cos\theta \quad +\quad \beta e^{-i\varphi}sin\theta \quad =\quad \pm \alpha \\ \beta \quad =\quad \pm \alpha \frac {1-cos\theta}{sin\theta}e^{i\varphi}\quad =\quad \pm \alpha \frac {2sin^{2}\frac {\theta}{2}}{2sin\frac {\theta}{2}cos\frac {\theta}{2}}e^{i\varphi}\quad =\quad \pm \alpha tan\frac {\theta}{2}e^{i\varphi} \\ i)\quad \beta \quad =\quad \alpha tan\frac {\theta}{2}e^{i\varphi}\quad \to \quad \left( \begin{matrix}{\alpha}\\{\beta}\end{matrix} \right) \quad =\quad \left( \begin{matrix}{\alpha}\\{\alpha tan\frac {\theta}{2}e^{i\varphi}}\end{matrix} \right) \quad =\quad \left( \begin{matrix}{1}\\{tan\frac {\theta}{2}e^{i\varphi}}\end{matrix} \right) \\ ii)\beta \quad =\quad -\alpha tan\frac {\theta}{2}e^{i\varphi}\quad \to \quad \left( \begin{matrix}{\alpha}\\{\beta}\end{matrix} \right) \quad =\quad \left( \begin{matrix}{\alpha}\\{-\alpha tan\frac {\theta}{2}e^{i\varphi}}\end{matrix} \right) \quad =\quad \left( \begin{matrix}{1}\\{-tan\frac {\theta}{2}e^{i\varphi}}\end{matrix} \right) \\ \text{Normalization — I'll leave that to you, heh heh heh}$$An important problem
Prob 4.31
For a particle with spin 1, construct the spin matrices $S_{x}, S_{y}, S_{z}$.
hint: How many eigenstates does $S_{z}$ have? Determine the action of $S_{z}, S_{+}, S_{-}$ on each of those states.
For $s=1/2$ we had $m_s = 1/2, -1/2$ — two possibilities.
For $s=1$, we get $m_s = -1, 0, 1$ — three.
Which means $m_s$ gives us three states of $S_z$, so
$$f_{1,1}$$&&&&
$$f_{1,0}$$&&&&
$$f_{1,-1}$$— three eigenfunctions (vectors), so $S_z$ is a $3\times 3$ matrix,
and everything else is $3\times 3$ too!!
OK then!!!!!! Starting from $S^2$!!!!!!
$$S^{2}f_{s,m_{s}}\quad =\quad \hbar^{2}s(s+1)f_{s,m_{s}} \\ S^{2}f_{1,1}\quad =\quad \hbar^{2}(2)f_{1,1}\\ S^{2}f_{1,0}\quad =\quad \hbar^{2}(2)f_{1,1}\\ S^{2}f_{1,-1}\quad =\quad \hbar^{2}(2)f_{1,-1}$$$$S_{z}f_{s,m_{s}}\quad =\quad m_{s}\hbar f_{s,m_{s}} \\ S_{z}f_{1,1}\quad =\quad 1\hbar f_{1,1}\\ S_{z}f_{1,0}\quad =\quad 0\\ S_{z}f_{1,\quad -1}\quad =\quad -1\hbar f_{1,\quad -1}$$Writing these as matrices!!!!!!!!!
You’ve got the pattern, right?
$$S^{2}\quad =\quad 2\hbar^{2}\left( \begin{matrix}{1}&{0}&{0}\\{0}&{1}&{0}\\{0}&{0}&{1}\end{matrix} \right) \\ S_{z}\quad =\quad \hbar \left( \begin{matrix}{1}&{0}&{0}\\{0}&{0}&{0}\\{0}&{0}&{-1}\end{matrix} \right)$$Now — ladder operators.
$$S_{\pm}f_{s,m_{s}}\quad =\quad \hbar \sqrt {s(s+1)\quad -\quad m_{s}(m_{s}\pm 1)}f_{s,m_{s}\pm 1}$$$$S_{+}f_{1,1}\quad =\quad \hbar \sqrt {s(s+1)\quad -\quad m_{s}(m_{s}\pm 1)}f_{\frac {1}{2},1+1}\quad =\quad \text{BZZT}!!!!\quad \text{out}\quad \text{of}\quad \text{range}\quad =\quad 0\quad \\ S_{+}f_{1,\quad 0}\quad =\quad \hbar \sqrt {1\cdot 2\quad -\quad 0}f_{1,0+1}\quad =\quad \hbar \sqrt {2}f_{1,1}\quad \\ S_{+}f_{1,\quad -1}\quad =\quad \hbar \sqrt {1\cdot 2\quad -\quad \left( -1 \right) 0}f_{1,-1+1}\quad =\quad \hbar \sqrt {2}f_{1,0}\quad \\ S_{-}f_{1,1}\quad =\quad \hbar \sqrt {1\cdot 2\quad -\quad 1\cdot (0)}f_{1,1-1}\quad =\quad \hbar \sqrt {2}f_{1,0}\quad \\ S_{-}f_{1,0}\quad =\quad \hbar \sqrt {1\cdot 2\quad -\quad 0\cdot (-1)}f_{1,0-1}\quad =\quad \hbar \sqrt {2}f_{1,-1}\quad \\ S_{-}f_{1,-1}\quad =\quad \hbar \sqrt {s(s+1)\quad -\quad m_{s}(m_{s}\pm 1)}f_{1,-1-1}\quad =\quad \text{BZZT}!!!!\quad \text{out}\quad \text{of}\quad \text{range}\quad =\quad 0\quad$$Putting those into matrix form:
$$S_{+}\quad =\quad \hbar \sqrt {2}\left( \begin{matrix}{0}&{1}&{0}\\{0}&{0}&{1}\\{0}&{0}&{0}\end{matrix} \right) \quad S_{-}\quad =\quad \hbar \sqrt {2}\left( \begin{matrix}{0}&{0}&{0}\\{1}&{0}&{0}\\{0}&{1}&{0}\end{matrix} \right)$$And now $S_x, S_y$ follow as matrices too!!!
$$S_{\pm}\quad =\quad S_{x}\quad \pm \quad iS_{y}\\ S_{x}\quad =\quad \frac {1}{2}\left\{S_{+}\quad +\quad S_{-} \right\} \quad =\quad \hbar \frac {\sqrt {2}}{2}\left( \begin{matrix}{0}&{1}&{0}\\{1}&{0}&{1}\\{0}&{1}&{0}\end{matrix} \right) \\ S_{y}\quad =\quad \frac {1}{2i}\left\{S_{+}\quad +\quad S_{-} \right\} \quad =\quad \hbar \frac {\sqrt {2}}{2i}\left( \begin{matrix}{0}&{1}&{0}\\{-1}&{0}&{1}\\{0}&{-1}&{0}\end{matrix} \right)$$P.S.
Did you know?
All the blog posts are now available as PDFs,
and I’m selling the PDF package :-)
https://blog.naver.com/gdpresent/222243102313

Blog posts PDF (ver. 2.0) for sale (the physics and finance I studied)
Purchase info below~ Hi! If there are bits of the blog you’ve found frustrating…
blog.naver.com
Originally written in Korean on my Naver blog (2015-12). Translated to English for gdpark.blog.