Kramers' Relation
We grind through Kramers' relation — tying together expectation values of r at three exponents — just so we can finally crack ⟨1/r³⟩ for hydrogen.
(Mr. Isaac Newton, inventor of calculus, lol lol lol lol lol lol)
(If someone ever builds a time machine — he’s target #1. ^^ heh heh heh)
Last post, we proved
$$\left\langle \frac{1}{r} \right\rangle, \quad \left\langle \frac{1}{r^2} \right\rangle$$these guys.
So the goal this time around is to prove
$$\left\langle \frac{1}{r^3} \right\rangle$$this one.
And I’m going to try it using Kramer’s relation!
Which means first I gotta figure out what Kramer’s relation even is~
Prob 6.34
Prove Kramer’s relation:
$$\frac{s+1}{n^2}\left\langle r^s \right\rangle - (2s+1)a\left\langle r^{s-1} \right\rangle + \frac{s}{4}\left\{(2\ell+1)^2 - s^2\right\}a^2\left\langle r^{s-2} \right\rangle = 0$$This ties together expectation values of $r$ at three different exponents — $s$, $s-1$, $s-2$ — for an electron in the hydrogen state
$$\psi_{n,l,m}$$Hint: rewrite the relation in the form below, and use it to express
$$\left\langle r^2 \right\rangle, \quad \left\langle r^{s-1} \right\rangle, \quad \left\langle r^{s-2} \right\rangle$$in terms of
$$\int ur^2 u'' \, dr, \quad \text{where} \\ u'' = \left[\frac{\ell(\ell+1)}{r^2} - \frac{2}{ar} + \frac{1}{n^2 a^2}\right]u$$Then hit it with integration by parts to handle the second derivative.
Looks brutal. And yeah, it is brutal. But the reason we have to grind through it anyway is because
$$\left\langle \frac{1}{r^3} \right\rangle$$needs to come out somehow.
Using Kramer’s relation is at least less painful than the alternatives — that’s probably why Mr. Griffiths tossed this in as a practice problem, riiight??? ;_;
OK, so first let’s actually prove the Kramer’s relation we’re going to use.
Start with the radial equation for hydrogen:
$$-\frac{\hbar^2}{2m}\frac{d^2u}{dr^2} + \left\{-\frac{e^2}{4\pi\epsilon_0}\frac{1}{r} + \frac{\hbar^2}{2m}\frac{\ell(\ell+1)}{r}\right\}u = Eu$$Let me massage this a bit.
$$\frac{\hbar^2}{2m}\frac{d^2u}{dr^2} = \left\{-E_n - \frac{e^2}{4\pi\epsilon_0}\frac{1}{r} + \frac{\hbar^2}{2m}\frac{\ell(\ell+1)}{r}\right\}u \\ = \frac{\hbar^2}{2m}\left\{-\frac{2mE_n}{\hbar^2} - \frac{2m}{\hbar^2}\frac{e^2}{4\pi\epsilon_0}\frac{1}{r} + \frac{\ell(\ell+1)}{r}\right\}u \\ \frac{d^2u}{dr^2} = \left\{-\frac{2mE_n}{\hbar^2} - \frac{2m}{\hbar^2}\frac{e^2}{4\pi\epsilon_0}\frac{1}{r} + \frac{\ell(\ell+1)}{r}\right\}u \\ E_n = -\frac{m}{2\hbar^2}\left(\frac{e^2}{4\pi\epsilon_0}\right)^2\frac{1}{n^2} \text{ — plug it in} \\ \frac{d^2u}{dr^2} = \left\{\frac{\ell(\ell+1)}{r} - \frac{2m}{\hbar^2}\frac{e^2}{4\pi\epsilon_0}\frac{1}{r} + \frac{2m}{\hbar^2}\left(\frac{m}{2\hbar^2}\left(\frac{e^2}{4\pi\epsilon_0}\right)^2\right)\frac{1}{n^2}\right\}u \\ \text{Now pull in the Bohr radius, } \frac{1}{a} = \frac{me^2}{\hbar^2(4\pi\epsilon_0)}. \\ \frac{d^2u}{dr^2} = \left\{\frac{\ell(\ell+1)}{r} - \frac{2}{a}\frac{1}{r} + \frac{2m}{\hbar^2}\left(\frac{m}{2\hbar^2}\left(\frac{e^2}{4\pi\epsilon_0}\right)\left(\frac{e^2}{4\pi\epsilon_0}\right)\right)\frac{1}{n^2}\right\}u \\ \frac{d^2u}{dr^2} = \left\{\frac{\ell(\ell+1)}{r} - \frac{2}{ar} + \frac{1}{a^2n^2}\right\}u \\ u'' = \left\{\frac{\ell(\ell+1)}{r} - \frac{2}{ar} + \frac{1}{a^2n^2}\right\}u$$Just to be clear — $u''$ means $u$ differentiated twice with respect to $r$. That’s it!!!
OK, now let’s mess around with this relation.
$$u'' = \left\{\frac{\ell(\ell+1)}{r} - \frac{2}{ar} + \frac{1}{a^2n^2}\right\}u \quad \text{integrate both sides, go go} \\ \int u'' \, dr = \int \left\{\frac{\ell(\ell+1)}{r} - \frac{2}{ar} + \frac{1}{a^2n^2}\right\}u \, dr \quad \text{now multiply both sides by } ur^s \\ \int ur^s u'' \, dr = \int ur^s\left\{\frac{\ell(\ell+1)}{r} - \frac{2}{ar} + \frac{1}{a^2n^2}\right\}u \, dr \\ = \int u\left\{\ell(\ell+1)r^{s-2} - \frac{2}{a}r^{s-1} + \frac{1}{a^2n^2}r^s\right\}u \, dr \\ \\ \int ur^s u'' \, dr = \ell(\ell+1)\left\langle r^{s-2}\right\rangle - \frac{2}{a}\left\langle r^{s-1}\right\rangle + \frac{1}{a^2n^2}\left\langle r^s\right\rangle$$Now let’s beat the left side up with integration by parts.
$$\text{IBP as a reminder:} \\ (xy)' = x'y + xy' \\ \int (xy)' = \int x'y + \int xy' \\ \text{So } \int ur^s u'' \, dr = \int (ur^s)\frac{d}{dr}u' \, dr. \text{ Arrange like this:} \\ \int_0^\infty \frac{d}{dr}(ur^s u') \, dr = \int_0^\infty \frac{d}{dr}(ur^s) \cdot u' \, dr + \int_0^\infty (ur^s) \cdot \frac{d}{dr}u' \, dr \\ \text{Therefore} \\ \left[(ur^s u')\right]_0^\infty = \int_0^\infty \frac{d}{dr}(ur^s) \cdot u' \, dr + \int_0^\infty (ur^s) \cdot \frac{d}{dr}u' \, dr$$I don’t need to explain that the red boundary term is 0, right???
$$\therefore \int_0^\infty (ur^s) \cdot \frac{d}{dr}u' \, dr = -\int_0^\infty \frac{d}{dr}(ur^s) \cdot u' \, dr = -\left\{\int_0^\infty u'r^s \cdot u' \, dr + \int_0^\infty u(sr^{s-1}) \cdot u' \, dr\right\} \\ = -\int_0^\infty u'r^s \cdot u' \, dr - \int_0^\infty u(sr^{s-1}) \cdot u' \, dr$$And we had
$$\int ur^s u'' \, dr = \ell(\ell+1)\left\langle r^{s-2}\right\rangle - \frac{2}{a}\left\langle r^{s-1}\right\rangle + \frac{1}{a^2n^2}\left\langle r^s\right\rangle$$so plug in:
$$-\int_0^\infty u'r^s \cdot u' \, dr - s\int_0^\infty u(r^{s-1}) \cdot u' \, dr = \ell(\ell+1)\left\langle r^{s-2}\right\rangle - \frac{2}{a}\left\langle r^{s-1}\right\rangle + \frac{1}{a^2n^2}\left\langle r^s\right\rangle$$Now I’ll crack open the blue piece and the red piece one at a time to clean this up.
Red piece first:
$$-s\int_0^\infty u(r^{s-1}) \cdot u' \, dr \\ *\;\text{integration by parts again} \\ \frac{d}{dr}(ur^s u) = \frac{d}{dr}(ur^s)u + (ur^s)\frac{d}{dr}u \\ \int_0^\infty\left[\frac{d}{dr}(ur^s u)\right]dr = \int_0^\infty \frac{d}{dr}(ur^s)u \, dr + \int_0^\infty (ur^s)\frac{d}{dr}u \, dr \\ \left[\frac{d}{dr}(ur^s u)\right]_0^\infty = \int_0^\infty \frac{d}{dr}(ur^s)u \, dr + \int_0^\infty (ur^s)\frac{d}{dr}u \, dr \quad \text{— there's the red piece.} \\ \text{Yellow boundary term is 0, so} \\ \int_0^\infty (ur^s)\frac{d}{dr}u \, dr = -\int_0^\infty \frac{d}{dr}(ur^s)u \, dr \\ = \text{expand the right side, go go} = -\left\{\int_0^\infty u'r^s u \, dr + \int_0^\infty u(sr^{s-1})u \, dr\right\} \\ \int_0^\infty ur^s u' \, dr = -\left\{\int_0^\infty u'r^s u \, dr + \int_0^\infty u(sr^{s-1})u \, dr\right\} \\ 2\int_0^\infty ur^s u' \, dr = -\int_0^\infty usr^{s-1}u \, dr = -s\int_0^\infty ur^{s-1}u \, dr = -s\left\langle r^{s-1}\right\rangle \\ \therefore \int_0^\infty ur^s u' \, dr = -\frac{s}{2}\left\langle r^{s-1}\right\rangle$$The actual red piece above had exponent $s-1$ on $r$, so sub $s-1$ in for $s$:
$$\therefore \int_0^\infty ur^{s-1}u' \, dr = -\frac{(s-1)}{2}\left\langle r^{s-2}\right\rangle$$Now the blue piece. Same move:
$$\int_0^\infty \frac{d}{dr}(u'r^{s+1}u') \, dr = \int_0^\infty \frac{d}{dr}u'(r^{s+1}u') \, dr + \int_0^\infty u'\frac{d}{dr}(r^{s+1}u') \, dr \\ \left[(u'r^{s+1}u')\right]_0^\infty = \int_0^\infty u''(r^{s+1}u') \, dr + \int_0^\infty u'(s+1)r^s u' \, dr + \int_0^\infty u'r^{s+1}\frac{d}{dr}u' \, dr$$Yellow is 0, and boom — there’s the blue piece!!!
$$-(s+1)\int_0^\infty u'r^s u' \, dr = 2\int_0^\infty u''(r^{s+1})u' \, dr \\ \int_0^\infty u'r^s u' \, dr = -\frac{2}{s+1}\int_0^\infty u''(r^{s+1})u' \, dr$$Into that $u''$ on the right, I’m going to slam in
$$u'' = \left\{\frac{\ell(\ell+1)}{r} - \frac{2}{ar} + \frac{1}{a^2n^2}\right\}u$$Substitute!!!!!
$$\int_0^\infty u'r^s u' \, dr = -\frac{2}{s+1}\int_0^\infty \left\{\frac{\ell(\ell+1)}{r} - \frac{2}{ar} + \frac{1}{a^2n^2}\right\}u(r^{s+1})u' \, dr \\ \text{Ugh... this is monstrously enormous;;;;;} \\ = -\frac{2}{s+1}\ell(\ell+1)\int ur^{s+1}u' \, dr + \frac{4}{a(s+1)}\int ur^s u' \, dr - \frac{2}{a^2n^2(s+1)}\int ur^{s+1}u' \, dr$$And we just proved
$$\int_0^\infty ur^{s-1}u' \, dr = -\frac{(s-1)}{2}\left\langle r^{s-2}\right\rangle$$so I’ll use that to kill the green terms:
$$= -\frac{2\ell(\ell+1)}{s+1}\left(-\frac{s-1}{2}\left\langle r^{s-2}\right\rangle\right) + \frac{4}{a(s+1)}\left(-\frac{s}{2}\left\langle r^{s-1}\right\rangle\right) - \frac{2}{a^2n^2(s+1)}\left(-\frac{s+1}{2}\left\langle r^s\right\rangle\right) \\ = \frac{\ell(\ell+1)(s-1)}{s+1}\left\langle r^{s-2}\right\rangle - \frac{2s}{a(s+1)}\left\langle r^{s-1}\right\rangle - \frac{1}{a^2n^2}\left\langle r^s\right\rangle \\ \therefore \int_0^\infty u'r^s u' \, dr = \frac{\ell(\ell+1)(s-1)}{s+1}\left\langle r^{s-2}\right\rangle - \frac{2s}{a(s+1)}\left\langle r^{s-1}\right\rangle - \frac{1}{a^2n^2}\left\langle r^s\right\rangle$$Finally — blue piece done.
Plug everything back into
$$-\int_0^\infty u'r^s \cdot u' \, dr - s\int_0^\infty u(r^{s-1}) \cdot u' \, dr = \ell(\ell+1)\left\langle r^{s-2}\right\rangle - \frac{2}{a}\left\langle r^{s-1}\right\rangle + \frac{1}{a^2n^2}\left\langle r^s\right\rangle$$and let’s tidy up:
$$-\left(\frac{\ell(\ell+1)(s-1)}{s+1}\left\langle r^{s-2}\right\rangle - \frac{2s}{a(s+1)}\left\langle r^{s-1}\right\rangle - \frac{1}{a^2n^2}\left\langle r^s\right\rangle\right) - s\left(-\frac{(s-1)}{2}\left\langle r^{s-2}\right\rangle\right) = \ell(\ell+1)\left\langle r^{s-2}\right\rangle - \frac{2}{a}\left\langle r^{s-1}\right\rangle + \frac{1}{a^2n^2}\left\langle r^s\right\rangle \\ -\ell(\ell+1)\left\langle r^{s-2}\right\rangle + \frac{2s}{a(s+1)}\left\langle r^{s-1}\right\rangle - \frac{1}{a^2n^2}\left\langle r^s\right\rangle + \frac{s(s-1)}{2}\left\langle r^{s-2}\right\rangle = \ell(\ell+1)\left\langle r^{s-2}\right\rangle - \frac{2}{a}\left\langle r^{s-1}\right\rangle + \frac{1}{a^2n^2}\left\langle r^s\right\rangle \\ \text{— move everything from the left to the right} \\ \ell(\ell+1)\left\{1 - \frac{s-1}{s+1}\right\}\left\langle r^{s-2}\right\rangle - \frac{2}{a}\left\{1 + \frac{s}{s+1}\right\}\left\langle r^{s-1}\right\rangle + \frac{2}{a^2n^2}\left\langle r^s\right\rangle - \frac{s(s-1)}{2}\left\langle r^{s-2}\right\rangle = 0 \\ \left[\ell(\ell+1)\left\{1 - \frac{s-1}{s+1}\right\} - \frac{s(s-1)}{2}\right]\left\langle r^{s-2}\right\rangle - \frac{2}{a}\left\{1 + \frac{s}{s+1}\right\}\left\langle r^{s-1}\right\rangle + \frac{2}{a^2n^2}\left\langle r^s\right\rangle = 0 \\ \text{From here, you crunch the algebra on your own....}$$$$\frac{s+1}{n^2}\left\langle r^s\right\rangle - (2s+1)a\left\langle r^{s-1}\right\rangle + \frac{s}{4}\left\{(2\ell+1)^2 - s^2\right\}a^2\left\langle r^{s-2}\right\rangle = 0$$Kramer’s relation or whatever —
s
…why did we just do all that??? lol lol lol
b
Ugh, suddenly mad lol lol lol lol lol lol lol lol lol lol
lol lol lol lol lol lol lol lol lol lol lol lol lol lol lol lol lol lol lol lol lol lol
$$\left\langle \frac{1}{r^3}\right\rangle$$THAT’s what we were trying to prove, right?????!!!!!!
OK, on to 6.35.
Prob 6.35
(a) Plug $s=0,\,1,\,2,\,3$ into Kramer’s relation and read off formulas.
$$\frac{s+1}{n^2}\left\langle r^s\right\rangle - (2s+1)a\left\langle r^{s-1}\right\rangle + \frac{s}{4}\left\{(2\ell+1)^2 - s^2\right\}a^2\left\langle r^{s-2}\right\rangle = 0$$$s=0$:
$$\frac{1}{n^2}\left\langle r^0\right\rangle - a\left\langle r^{-1}\right\rangle = 0 \\ \therefore \left\langle r^{-1}\right\rangle = \frac{1}{an^2}$$Gosh, we really prove this one a lot. -_-
$$\frac{s+1}{n^2}\left\langle r^s\right\rangle - (2s+1)a\left\langle r^{s-1}\right\rangle + \frac{s}{4}\left\{(2\ell+1)^2 - s^2\right\}a^2\left\langle r^{s-2}\right\rangle = 0$$$s=1$:
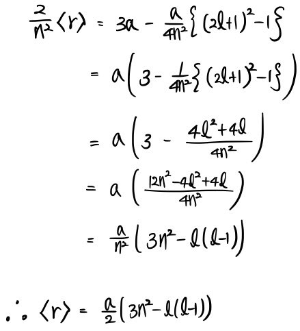
$$\frac{2}{n^2}\left\langle r\right\rangle - 3a\left\langle r^0\right\rangle + \frac{a^2}{4}\left\{(2\ell+1)^2 - 1\right\}\left\langle r^{-1}\right\rangle = 0 \\ \text{Sub in the pink guy, } \frac{1}{an^2}\text{:} \\ \frac{2}{n^2}\left\langle r\right\rangle - 3a + \frac{a^2}{4}\left\{(2\ell+1)^2 - 1\right\}\frac{1}{an^2} = 0 \\ \frac{2}{n^2}\left\langle r\right\rangle = 3a - \frac{a^2}{4}\left\{(2\ell+1)^2 - 1\right\}\frac{1}{an^2}$$The rest of the simplification is in the photo — check it out below.
(Honestly this is algebra a middle-schooler could do,,, I’m not even sure why I’m bothering to attach it.)

Oh come on — remember, we actually want to prove
$$\left\langle \frac{1}{r^3}\right\rangle$$right now…. ;; ;;
$$\frac{s+1}{n^2}\left\langle r^s\right\rangle - (2s+1)a\left\langle r^{s-1}\right\rangle + \frac{s}{4}\left\{(2\ell+1)^2 - s^2\right\}a^2\left\langle r^{s-2}\right\rangle = 0$$I’m gonna skip $s=2$ and $s=3$ and jump to $s=-1$.
$$\frac{-1+1}{n^2}\left\langle r^{-1}\right\rangle - (-2+1)a\left\langle r^{-2}\right\rangle + \frac{-1}{4}\left\{(2\ell+1)^2 - 1\right\}a^2\left\langle r^{-3}\right\rangle = 0 \\ \frac{-1}{4}\left\{(2\ell+1)^2 - 1\right\}a^2\left\langle r^{-3}\right\rangle = -a\left\langle r^{-2}\right\rangle \\ \frac{a^2}{4}\left\{4\ell^2 + 4\ell\right\}\left\langle r^{-3}\right\rangle = a\left\langle r^{-2}\right\rangle$$I need the $\left\langle r^{-2}\right\rangle$ we proved last post — Kramer’s relation by itself doesn’t hand you $\left\langle r^{-2}\right\rangle$.
$$\left\langle r^{-2}\right\rangle = \frac{1}{n^3\!\left(\ell + \frac{1}{2}\right)a^2} \text{ — that's the one.} \\ \frac{a^2}{4}\left\{4\ell^2 + 4\ell\right\}\left\langle r^{-3}\right\rangle = \frac{a}{n^3\!\left(\ell+\frac{1}{2}\right)a^2} \\ \left\langle r^{-3}\right\rangle = \frac{1}{a^3 n^3 \ell(\ell+1)\!\left(\ell+\frac{1}{2}\right)}$$I’m paying a full semester’s tuition and all I’m doing is integrals the whole semester;;;; ha…….. ;; ;; ;; ;; ;; ;; ;_;
Isaac Newton, seriously;;;; ;; ;; ;_; ah…

Mr. Isaac Newton?? ^^ lol lol lol lol lol lol lol lol lol
I’m mad… I need to go grab something to eat ;; -- ;; --
Originally written in Korean on my Naver blog (2015-12). Translated to English for gdpark.blog.