Perturbation Theory Practice Problems
Grinding through perturbation theory homework — a delta-function bump in an infinite square well, a tweaked harmonic oscillator, and why even-n states just don't care.
So the practice problems for this chapter — they weren’t about hydrogen fine structure or Zeeman or hyperfine stuff. Nope. Just basic perturbation theory, over and over. Our prof was really into it, so we ended up grinding through a ton of these as homework.
Anyway, let me work through a few.
Prob 6.1
Drop a delta-function bump right in the middle of an infinite square well:
$$H' = \alpha\delta\!\left(x - \frac{a}{2}\right)$$a) Find the first-order correction to the energies. And explain why the energy doesn’t get perturbed for even $n$.
The unperturbed stuff:
$$\psi_n^0 = \sqrt{\frac{2}{a}}\sin\!\left(\frac{n\pi}{a}x\right)$$$$E_n^0 = \frac{\hbar^2}{2m}\left(\frac{n\pi}{a}\right)^2$$Just plug and chug:
$$\begin{align} E_n^1 &= \left\langle\psi_n^0\middle|H'\middle|\psi_n^0\right\rangle \\ &= \left\langle\psi_n^0\middle|\alpha\delta\!\left(x-\frac{a}{2}\right)\middle|\psi_n^0\right\rangle \\[4pt] &= \frac{2\alpha}{a}\int_0^a \sin^2\!\left(\frac{n\pi}{a}x\right)\delta\!\left(x-\frac{a}{2}\right)dx \\ &= \frac{2\alpha}{a}\sin^2\!\left(\frac{n\pi}{a}\cdot\frac{a}{2}\right) \\ &= \frac{2\alpha}{a}\sin^2\!\left(\frac{n\pi}{2}\right) \\ &\quad \text{and look — for even } n, \sin^2(n\pi/2)=0, \text{ so the first-order correction just vanishes!!!!} \end{align}$$Makes sense too if you think about it — for even $n$, the wave function has a node right at $x=a/2$. The particle’s basically never there. So a bump right at that spot doesn’t do anything to it. Clean.
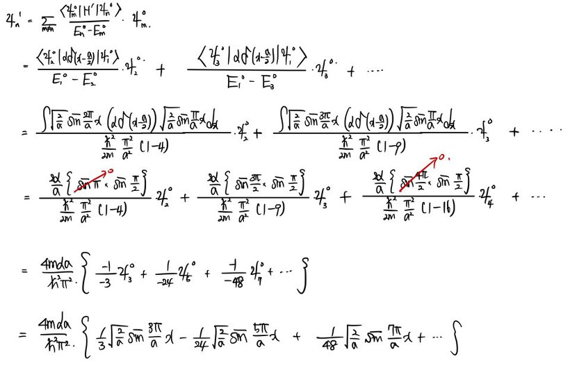
b) For the ground state $\psi_1^1$, find the first three nonzero terms in the correction expansion.
$$\begin{align} \psi_1^1 &= \sum_{m\neq n}\frac{\left\langle\psi_m^0\middle|H'\middle|\psi_1^0\right\rangle}{E_1^0 - E_m^0}\psi_m^0 \\[4pt] &= \frac{\left\langle\psi_2^0\middle|H'\middle|\psi_1^0\right\rangle}{E_1^0 - E_2^0}\psi_2^0 + \frac{\left\langle\psi_3^0\middle|H'\middle|\psi_1^0\right\rangle}{E_1^0 - E_3^0}\psi_3^0 + \frac{\left\langle\psi_4^0\middle|H'\middle|\psi_1^0\right\rangle}{E_1^0 - E_4^0}\psi_4^0 + \frac{\left\langle\psi_5^0\middle|H'\middle|\psi_1^0\right\rangle}{E_1^0 - E_5^0}\psi_5^0 + \cdots \end{align}$$From here, honestly, it’s gonna be way easier to just show you the scratch work:

Prob 6.2 — Simple Harmonic Oscillator
Starting point:
$$V(x) = \frac{1}{2}kx^2$$$$E_n^0 = \left(n + \frac{1}{2}\right)\hbar\omega$$Now the perturbation sneaks in as
$$k \to k(1 + \epsilon)$$a) OK so $\omega = \sqrt{k/m}$, which means
$$E_n = \left(n+\frac{1}{2}\right)\hbar\sqrt{\frac{k(1+\epsilon)}{m}}$$right? Now Taylor-expand in $\epsilon$:
$$= \left(n+\tfrac{1}{2}\right)\hbar\omega(1+\epsilon)^{1/2} \cong \left(n+\tfrac{1}{2}\right)\hbar\omega\left(1 + \tfrac{1}{2}\epsilon - \tfrac{1}{8}\epsilon^2 + \cdots\right)$$The “1” piece is the unperturbed energy. The $\tfrac{1}{2}\epsilon$ piece is the first-order correction. The $-\tfrac{1}{8}\epsilon^2$ piece is second-order. Easy.
Now let’s check with actual perturbation theory. The new Hamiltonian is
$$H^0 + H' = \tfrac{1}{2}\{k(1+\epsilon)\}x^2$$so the perturbation is
$$H' = \epsilon\cdot\tfrac{1}{2}kx^2$$First-order correction:
$$E_n^1 = \langle n|H'|n\rangle = \epsilon\left\langle n\middle|\tfrac{1}{2}kx^2\middle|n\right\rangle$$where $|n\rangle$ is the harmonic-oscillator eigenstate. Now here’s the cute trick — for the harmonic oscillator, the virial theorem gives us $\langle T\rangle = \langle V\rangle$. Which means $\langle V\rangle$ is exactly half of $E_n^0$. So
$$E_n^1 = \epsilon\left\langle n\middle|\tfrac{1}{2}kx^2\middle|n\right\rangle = \epsilon\cdot\tfrac{1}{2}\left(n+\tfrac{1}{2}\right)\hbar\omega$$And — hey! — that matches the $\tfrac{1}{2}\epsilon$ piece from the Taylor expansion. How clean is that?!
Prob 6.5
A charged particle in a 1D harmonic oscillator, and we switch on a weak uniform electric field $E$. The potential gets shifted by $H' = -qEx$.
a) Show the first-order correction is zero, then compute the second-order correction.
Since the field is weak, perturbation theory is legal. With $H' = -qEx$:
$$E_n^1 = \left\langle\psi_n^0\middle|H'\middle|\psi_n^0\right\rangle = -qE\left\langle\psi_n^0\middle|x\middle|\psi_n^0\right\rangle$$And — the harmonic oscillator wave functions look like $\sim e^{-\sim x^2}$, so they’re even. Which means $|\psi_n^0|^2$ is even, $x$ is odd, and you’re integrating an odd function over a symmetric interval. Zero. Done.
On to second order:
$$E_n^2 = \sum_{m\neq n}\frac{\left|\left\langle\psi_m^0\middle|H'\middle|\psi_n^0\right\rangle\right|^2}{E_n^0 - E_m^0}$$But wait — for the harmonic oscillator we already know the energies:
$$E_n^0 = \left(n+\tfrac{1}{2}\right)\hbar\omega$$so $E_n^0 - E_m^0 = \hbar\omega(n-m)$. Pull that out:
$$\begin{align} E_n^2 &= \sum_{m\neq n}\frac{\left|\left\langle\psi_m^0\middle|H'\middle|\psi_n^0\right\rangle\right|^2}{E_n^0 - E_m^0} \\ &= \frac{\left|\left\langle\psi_m^0\middle|qEx\middle|\psi_n^0\right\rangle\right|^2}{\hbar\omega(n-m)} \\ &= \frac{q^2E^2}{\hbar\omega}\sum_{m\neq n}\frac{\left|\left\langle\psi_m^0\middle|x\middle|\psi_n^0\right\rangle\right|^2}{(n-m)} \end{align}$$Now the numerator. If you try to integrate directly —
$$\psi_n^0 = \left(\frac{m\omega}{\pi\hbar}\right)^{1/4}e^{-\frac{m\omega}{2\hbar}x^2}$$— you’re in for some pain. WAY easier with ladder operators:
$$a_\pm = \frac{1}{\sqrt{2\hbar m\omega}}(\mp ip + m\omega x)$$The reason this is so nice:
$$a_+\psi_n = \sqrt{n+1}\,\psi_{n+1}, \qquad a_-\psi_n = \sqrt{n}\,\psi_{n-1}$$they just shuffle you up and down the ladder. And $x$ itself can be written in terms of them:
$$x = \sqrt{\frac{\hbar}{2m\omega}}(a_+ + a_-)$$If you want a refresher on where all this comes from — or if you knew it once and it’s faded — here you go, go go go go go: link

Quantum Mechanics I Studied #7. (harmonic oscillator) Harmonic Oscillator, Ladder Operator…
OK, armed with ladders, the $\left\langle\psi_m^0\middle|x\middle|\psi_n^0\right\rangle$ calculation becomes actually doable. Let me switch to Dirac notation: $\langle\psi_m^0| = \langle m|$ and $|\psi_n^0\rangle = |n\rangle$.
$$\begin{align} \left\langle m\middle|x\middle|n\right\rangle &= \left\langle m\middle|\sqrt{\frac{\hbar}{2m\omega}}(a_+ + a_-)\middle|n\right\rangle \\ &= \sqrt{\frac{\hbar}{2m\omega}}\langle m|(a_+ + a_-)|n\rangle \\ &= \sqrt{\frac{\hbar}{2m\omega}}\langle m|\!\left(\sqrt{n+1}\,|n+1\rangle + \sqrt{n}\,|n-1\rangle\right) \\ &= \sqrt{\frac{\hbar}{2m\omega}}\left\{\sqrt{n+1}\langle m|n+1\rangle + \sqrt{n}\langle m|n-1\rangle\right\} \end{align}$$Stick this back into the sum:
$$E_n^2 = \frac{q^2E^2}{\hbar\omega}\sum_{m\neq n}\frac{\left|\sqrt{\frac{\hbar}{2m\omega}}\left\{\sqrt{n+1}\langle m|n+1\rangle + \sqrt{n}\langle m|n-1\rangle\right\}\right|^2}{(n-m)}$$And now watch what happens with the sum. $m$ is whooshing through every value — and the orthogonality $\langle m|n\pm 1\rangle = \delta_{m, n\pm 1}$ kills almost all of it. Only two terms click into place: $m = n+1$, and $m = n-1$. Everything else is zero.

b) The problem also asks: forget perturbation theory — just solve the Schrödinger equation directly.
It’s 1D, and the potential picked up a $-qEx$ term, so:
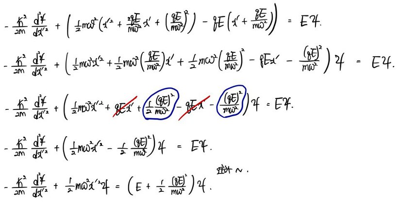
$$-\frac{\hbar^2}{2m}\frac{d^2\psi}{dx^2} + V\psi = E\psi$$$$-\frac{\hbar^2}{2m}\frac{d^2\psi}{dx^2} + \left(\tfrac{1}{2}m\omega^2 x^2 - qEx\right)\psi = E\psi$$Hint from the problem:
$$x' \equiv x - \frac{qE}{m\omega^2}$$Alright, let’s just follow the hint. Since $x'$ is just $x$ plus a constant, the second derivative doesn’t care:
$$\frac{d^2\psi}{dx^2} = \frac{d^2\psi}{dx'^2}$$And
$$\begin{align} x &= x' + \frac{qE}{m\omega^2} \\ x^2 &= \left(x' + \frac{qE}{m\omega^2}\right)^2 = x'^2 + \frac{2qE}{m\omega^2}x' + \left(\frac{qE}{m\omega^2}\right)^2 \end{align}$$Plug all this in:
$$-\frac{\hbar^2}{2m}\frac{d^2\psi}{dx'^2} + \left(\tfrac{1}{2}m\omega^2\!\left(x'^2 + \tfrac{2qE}{m\omega^2}x' + \left(\tfrac{qE}{m\omega^2}\right)^2\right) - qE\!\left(x' + \tfrac{qE}{m\omega^2}\right)\right)\psi = E\psi$$
And when the dust settles — the linear-in-$x'$ terms cancel, and all you’re left with is the original harmonic oscillator form in $x'$, with a constant shift hanging off the energy. Same equation, just $x \to x'$.
So:
$$E' = E + \frac{1}{2}\frac{(qE)^2}{m\omega^2} = \left(n+\tfrac{1}{2}\right)\hbar\omega$$right?? Which tells us at a glance:
$$E'\text{ differs from }E\text{ by }\frac{1}{2}\frac{(qE)^2}{m\omega^2}.$$Way easier than I expected, honestly.
But here’s the point of doing both parts: the exact Schrödinger solution agrees with what perturbation theory spat out. Which is kind of the whole moral — when you can’t solve the Schrödinger equation directly, and perturbation theory is all you’ve got, you can actually trust the answer. That, I think, is what the problem was trying to get across.
Originally written in Korean on my Naver blog (2015-12). Translated to English for gdpark.blog.