The Variational Principle
The variational principle is basically gambling — guess a trial wave function, compute its energy expectation value, and it'll always come out bigger than the true ground state energy.
Remember perturbation theory from chapter 6? What was it again?
Right — it let us approximate stuff that was slightly off from something we already knew. Not exact, but close enough.
Chapter 7 is also about approximations.
(Spoiler: chapters 8 and 9 are also about approximations…)
Turns out we need different approximation tricks for different situations, so we just get a long stretch of them back to back.
Why do we need approximations in the first place?
Because we humans are kind of dumb, apparently. The moment you go past hydrogen, the wave functions we’ve cooked up — or that we even could cook up — don’t exist.
So we can’t solve it exactly. So we approximate. And we finish off QM by learning a whole parade of approximation methods.
Alright, let’s go.
The variational principle
The variational principle is basically gambling. Pure gambling.
Guess a wave function. If it works, nice. If it doesn’t, throw it out. That kind of gambling.
Which means it’s stupidly simple. Easy to grok. But apparently not that accurate either.
Let’s get specific. The variational principle is about finding the ground state energy. The whole thing, as a formula:
$$\left< \psi_{trial}|H|\psi_{trial} \right> \quad \ge \quad E_{ground\quad state}$$That’s it!!
In words: “Okay look — I honestly don’t know anything, but based on my guess, the ground state energy I compute…
the true ground state energy $E_{gs}$ that only God knows, is smaller than what I got!”
“In other words — the left side, the thing I calculated from my guess, is ALWAYS greater than or equal to the true value. Okay??”
That’s the whole claim.
We find the minimum value the ground state energy can have under our guess
$$\psi_{trial}$$and that value is still bigger than the true answer.
That’s the variational principle.
A bit more concretely?
“Hey hey hey hey — I don’t actually know the wave function for that system over there. But I think it should look like this.
Whatever I think it should look like,
let’s call it
$$\psi_{trial}$$and if I compute the expectation value of the energy
$$\left< H \right>_{trial}$$it’s gonna be bigger than the real
$$E_{gs}$$!!!!”
Huh? But why bigger? Couldn’t it come out smaller?
The answer: because we didn’t use the exact wave function, the number comes out bigger. Not smaller.
Wait — if the wave function is inaccurate, couldn’t it just as easily come out smaller too??
Fair. We gotta prove it.
Let’s look. Call the wave function we guessed by intuition
$$\psi_{trial}$$Then that
$$\psi_{trial}$$— even though nobody knows the actual form — can in principle be expanded as
$$\psi_{trial}\quad =\quad \sum {C_{n}\psi_{n}}$$If we take the expectation of the Hamiltonian with this
$$\psi_{trial}$$$$\left< \psi_{trial}|H|\psi_{trial} \right> \quad =\quad \sum _{m}^{\quad}{\quad}\sum _{n}^{\quad}{\quad}C_{m}^{*}C_{n}\left< \psi_{m}|H|\psi_{n} \right>$$How do I unpack this… let me just crank out the $m$ sum first:
$$=\quad \sum _{n}^{\quad}{C_{1}^{*}C_{n}\left< \psi_{1}|H|\psi_{n} \right>}\quad +\quad \sum _{n}^{\quad}{C_{2}^{*}C_{n}\left< \psi_{2}|H|\psi_{n} \right>}+\quad \sum _{n}^{\quad}{C_{3}^{*}C_{n}\left< \psi_{3}|H|\psi_{n} \right>}+\quad \cdot \cdot \cdot \cdot \\ \text{Now run the } n \text{ sum in each term. The } \psi_{i}\text{s are orthogonal,}\\ \text{so only terms with matching indices survive and we're left with } \left\lfloor C_{i} \right\rfloor^{2}. \\ =\quad C_{1}^{*}C_{1}\left< \psi_{1}|H|\psi_{1} \right> \quad +\quad C_{2}^{*}C_{2}\left< \psi_{2}|H|\psi_{2} \right> +\quad C_{3}^{*}C_{3}\left< \psi_{3}|H|\psi_{3} \right> \quad +\quad \cdot \cdot \cdot \cdot \cdot \\ =\quad \left| C_{1} \right|^{2}E_{1}\quad +\quad \left| C_{2} \right|^{2}E_{2}+\quad \left| C_{3} \right|^{2}E_{3}\quad +\quad \cdot \cdot \cdot \cdot \cdot \\ =\quad \sum _{n}^{\quad}{\quad \left| C_{n} \right|^{2}E_{n}}$$$$\left< \psi_{trial}|H|\psi_{trial} \right> \quad =\quad \sum _{n}^{\quad}{\quad \left| C_{n} \right|^{2}E_{n}}\\ \text{And of course, this is bigger than } E_{gs}\text{!!!} \\ \sum _{n}^{\quad}{\quad \left| C_{n} \right|^{2}E_{n}}\quad \text{is a 'weighted sum' of a bunch of } E_{2},\quad E_{3},E_{4},\quad ....\quad \text{that are all } \ge E_{gs}. \\ \text{So} \\ \left< \psi_{trial}|H|\psi_{trial} \right> \quad =\quad \sum _{n}^{\quad}{\quad \left| C_{n} \right|^{2}E_{n}}\quad \ge \quad E_{gs} \\ \left< \psi_{trial}|H|\psi_{trial} \right> \quad \ge \quad E_{gs}$$Variational principle — proved.
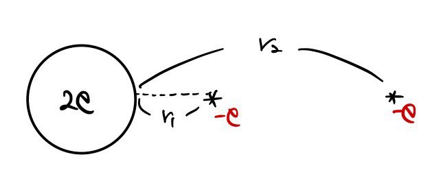
Trying it on helium
Let’s take the principle and throw it at helium — the thing we couldn’t pin down exactly.

Helium’s Hamiltonian:
$$H\quad =\quad -\frac {\hbar^{2}}{2m}\left( \nabla_{1}^{2}\quad +\quad \nabla_{1}^{2} \right) \quad -\quad \frac {e^{2}}{4\pi \epsilon_{0}}\left\{\frac {2}{r_{1}}\quad +\quad \frac {2}{r_{2}}\quad {\color{red} -\quad \frac {1}{\left| r_{1}-r_{2} \right|}} \right\}$$That $\color{red}\text{red}$ term — the electron-electron Coulomb repulsion — is what kept us from solving Schrödinger exactly.
If we just ignore the $\color{red}\text{red}$ term and solve for the ground state (I think we did this back in chapter 5):
$$E_{gs}\quad =\quad -109eV$$That’s what we get!!
Experimentally, the actual value is
$$E_{gs}\quad =\quad -78.97eV$$Now let’s try to estimate this with the variational principle.
First — we need to pick a
$$\psi_{trial}$$before we can do anything. So super roughly:
let’s assume
$$\psi_{trial}$$is two electrons both sitting in the ground state of hydrogen. But hydrogen with a nuclear charge of 2. So:
$$\psi_{trial}\quad =\quad \psi_{1,0,0}(r_{1})\psi_{1,0,0}(r_{2})\quad =\quad \sqrt {\frac {8}{\pi a^{3}}}e^{-2r_{1}/a}\times \quad \sqrt {\frac {8}{\pi a^{3}}}e^{-2r_{2}/a}\quad =\quad \frac {2^{3}}{\pi a^{3}}e^{-2\left( r_{1}+r_{2} \right) /a}\quad$$There’s our trial.
But wait — just plugging in 2 is kind of unsatisfying. Because

(in the extreme case) you can have a configuration like this, where the electron at $r_2$ hanging out in the back sees a potential that’s weaker than
$$-\quad ~\quad \frac {2e^{2}}{r_{2}}$$from the +2e nucleus.
That electron at $r_2$ definitely doesn’t feel the full +2e. The other electron is partially screening it.
So in the wave function
$$\psi_{trial}\quad =\quad \frac {2^{3}}{\pi a^{3}}e^{-2\left( r_{1}+r_{2} \right) /a}\quad$$those 2s that represent the charge? Let’s replace them with something a little smaller.
“There’s no clean way to figure out what that number should be.”
Whatever!!! Call it $Z$!!!
So
$$\psi_{trial}\quad =\quad \frac {Z^{3}}{\pi a^{3}}e^{-Z\left( r_{1}+r_{2} \right) /a}\quad$$Just slam that assumption down.
Then apply
$$\left< \psi_{trial}|H|\psi_{trial} \right> \quad \ge \quad E_{gs}$$and find the minimum of
$$\left< H \right>_{trial}$$Okay!!! Just watch, you’ll see!!! let’s go let’s go let’s go
Rewrite the Hamiltonian too, with all the charge-2s swapped for $Z$:
$$H\quad =\quad -\frac {\hbar^{2}}{2m}\left( \nabla_{1}^{2}\quad +\quad \nabla_{1}^{2} \right) \quad -\quad \frac {e^{2}}{4\pi \epsilon_{0}}\left\{\frac {Z}{r_{1}}\quad +\quad \frac {Z}{r_{2}}\quad -\quad \frac {1}{\left| r_{1}-r_{2} \right|} \right\}$$Now — if we play some tricks with this Hamiltonian, the calculation gets a lot cleaner.
Watch!
$$H\quad =\quad -\frac {\hbar^{2}}{2m}\left( \nabla_{1}^{2}\quad +\quad \nabla_{1}^{2} \right) \quad {\color{red} -\frac {e^{2}}{4\pi \epsilon_{0}}\left( \frac {Z}{r_{1}}\quad +\quad \frac {Z}{r_{2}} \right)} +\quad {\color{blue} \frac {e^{2}}{4\pi \epsilon_{0}}\left\{\frac {Z-2}{r_{1}}\quad +\quad \frac {Z-2}{r_{2}}\quad +\quad \frac {1}{\left| r_{1}-r_{2} \right|} \right\}}$$Written like this, we can use
$$E_{1}$$directly.
The $\color{red}\text{red}$ part is just two copies of
$$Z^{2}E_{1}$$and the $\color{blue}\text{blue}$ part we’ll expand out below.
$$\left< H \right>_{trial}=\quad 2Z^{2}E_{1}\quad +\quad 2\left( Z-2 \right) \frac {e^{2}}{4\pi \epsilon_{0}}\left< \frac {1}{r} \right> \quad +\quad \left< V_{ee} \right>$$The $\langle V_{ee} \rangle$ integral is worked out in detail in the book, so I’ll skip it.
For $\langle 1/r \rangle$ — we already proved it equals $1/an^2$ before, so we’ll reuse that. Plug in charge $Z$ and ground state:
$$\left< \frac {1}{r} \right> \quad =\quad \frac {Z}{a}$$Substitute.
$$\left< V_{ee} \right> \quad =\quad -\frac {5Z}{4}E_{1}$$So
$$\left< H \right>_{trial}\quad =\quad 2Z^{2}E_{1}\quad +\quad 2(Z-2)\frac {Z}{a}\frac {e^{2}}{4\pi \epsilon_{0}}\quad -\frac {5Z}{4}E_{1}\quad =\quad 2Z^{2}E_{1}\quad -\quad 4Z(Z-2)E_{1}\quad -\frac {5Z}{4}E_{1}\quad =\quad \left( -2Z^{2}\quad +\quad \frac {27}{4}Z \right) E_{1}$$We’ve got $\langle H \rangle$ as a function of $Z$.
Take $d/dZ$ and find the $Z$ that minimizes it!!
$$\frac {d}{dZ}\left< H \right>_{trial}\quad =\quad -4Z\quad +\quad \frac {27}{4}\quad =\quad 0 \\ \text{At } Z\quad =\quad \frac {27}{16},\quad \left< H \right>_{trial}\quad \text{is a minimum!!!!} \\ \to \quad \text{So the effective charge } (Z) \text{ is about } \frac {27}{16}\backsimeq \quad 1.69 \\ \therefore \quad \left< H \right>_{minimum}\quad =\quad \left[ \left< H \right>_{trial} \right]_{Z=1.67}\quad \cong \quad -77.5eV \\ \text{Apparently that's within 2\% of the real answer.}\quad \text{We could push it further for better accuracy,} \\ \text{but the book says we won't.}$$Concept done.
Let’s hammer it in with some practice problems.
Ex. 1 — Harmonic oscillator
For $V(x)$:

it looks like that. So we’re going to make a Guess.
The logic: “Since $V(x)$ looks like that, the wave function probably
looks like this!!!!”

Let’s take
$$\psi_{trial}$$to be a Gaussian!
Alright, off we go.
Even though it’s a trial wave function, it’s still a wave function, which means:
- it has to be normalized!!!
So:
$$\left< \psi_{trial}|\psi_{trial} \right> \quad =\quad A^{2}\int _{-\infty}^{\infty}{e^{-2bx^{2}}}dx \\ \text{Substitute.}\\ 2bx^{2}=t\quad \to \quad dx\quad =\quad \frac {1}{4bx}dt\\ x^{2}\quad =\quad \frac {1}{2b}t\\ x\quad =\quad \sqrt {\frac {1}{2b}}t^{\frac {1}{2}},\quad x^{-1}\quad =\quad \sqrt {2b}t^{-\frac {1}{2}}$$$$\left< \psi_{trial}|\psi_{trial} \right> \quad =\quad A^{2}\int _{-\infty}^{\infty}{e^{-2bx^{2}}}dx\quad =1\\ =\quad A^{2}\int _{-\infty}^{\infty}{\frac {\sqrt {2b}}{4b}t^{-\frac {1}{2}}e^{-t}}dt\quad \\ =\quad A^{2}\frac {\sqrt {2b}}{4b}\int _{-\infty}^{\infty}{t^{-\frac {1}{2}}e^{-t}}dt\quad \\ =\quad A^{2}\frac {\sqrt {2b}}{2b}\int _{0}^{\infty}{t^{-\frac {1}{2}}e^{-t}}dt\\ =\quad A^{2}\frac {\sqrt {2b}}{2b}\Gamma \left( \frac {1}{2} \right) \quad \\ =\quad A^{2}\frac {\sqrt {2b}}{2b}\sqrt {\pi}\quad \\ =\quad A^{2}\sqrt {\frac {\pi}{2b}}\quad =1\\ \\ \therefore \quad A\quad =\quad \left( \frac {2b}{\pi} \right)^{\frac {1}{4}}\\ \\ \therefore \quad \psi_{trial}\quad =\quad \left( \frac {2b}{\pi} \right)^{\frac {1}{4}}e^{-2bx^{2}}$$Normalized!
$$\text{The harmonic oscillator Hamiltonian is}\\ \quad =\quad -\frac {\hbar^{2}}{2m}\frac {d^{2}}{dx^{2}}\quad +\quad \frac {1}{2}mw^{2}x^{2} \\ \text{Now we compute } \langle H \rangle \text{ with } \psi_{trial}\text{. Split into } \langle T \rangle \text{ and } \langle V \rangle.$$$$\left< T \right> \quad =\quad -\frac {\hbar^{2}}{2m}\left< \psi_{trial}|\frac {d^{2}}{dx^{2}}|\psi_{trial} \right> \quad \\ =\quad -\frac {\hbar^{2}}{2m}\left( \frac {2b}{\pi} \right)^{\frac {1}{2}}\int _{-\infty}^{\infty}{\quad}e^{-bx^{2}}\frac {d}{dx}\left( -2bxe^{-bx^{2}} \right) dx\\ \\ =\quad -\frac {\hbar^{2}}{2m}\left( \frac {2b}{\pi} \right)^{\frac {1}{2}}\int _{-\infty}^{\infty}{\quad}e^{-bx^{2}}\left( -2be^{-bx^{2}}\quad +\quad 4b^{2}x^{2}e^{-bx^{2}} \right) dx\\ =\quad -\frac {\hbar^{2}}{2m}\left( \frac {2b}{\pi} \right)^{\frac {1}{2}}\int _{-\infty}^{\infty}{\quad}\quad 4b^{2}x^{2}e^{-2bx^{2}}-2be^{-2bx^{2}}dx\\ =\quad -\frac {\hbar^{2}}{2m}\left( \frac {2b}{\pi} \right)^{\frac {1}{2}}\left\{4b^{2}\int _{-\infty}^{\infty}{\quad}\quad x^{2}e^{-2bx^{2}}dx\quad -\quad 2b\int _{-\infty}^{\infty}{\quad}e^{-2bx^{2}}dx \right\}$$$$\text{Recycle what we computed before:}\\ \int _{-\infty}^{\infty}{\quad}e^{-2bx^{2}}dx\quad =\quad \sqrt {\frac {\pi}{2b}}\\ \text{Differentiate both sides with respect to } b\text{:} \\ \frac {d}{db}\int _{-\infty}^{\infty}{\quad}e^{-2bx^{2}}dx\quad =\quad \frac {d}{db}\sqrt {\frac {\pi}{2}}b^{-\frac {1}{2}}\\ \int _{-\infty}^{\infty}{\quad}\frac {d}{db}e^{-2bx^{2}}dx\quad =\quad \frac {d}{db}\sqrt {\frac {\pi}{2}}b^{-\frac {1}{2}}\\ \int _{-\infty}^{\infty}{\quad}-2x^{2}e^{-2bx^{2}}dx\quad =\quad -\frac {1}{2\sqrt {2}}\sqrt {\frac {\pi}{b^{3}}} \\ \therefore \quad \int _{-\infty}^{\infty}{\quad}x^{2}e^{-2bx^{2}}dx\quad =\quad \frac {1}{4\sqrt {2}}\sqrt {\frac {\pi}{b^{3}}}\\ \quad$$So the thing above becomes
$$=\quad -\frac {\hbar^{2}}{2m}\left( \frac {2b}{\pi} \right)^{\frac {1}{2}}\left\{4b^{2}\int _{-\infty}^{\infty}{\quad}\quad x^{2}e^{-2bx^{2}}dx\quad -\quad 2b\int _{-\infty}^{\infty}{\quad}e^{-2bx^{2}}dx \right\} \\ \\ =\quad -\frac {\hbar^{2}}{2m}\left( \frac {2b}{\pi} \right)^{\frac {1}{2}}\left\{4b^{2}\times \frac {1}{4\sqrt {2}}\sqrt {\frac {\pi}{b^{3}}}\quad -\quad 2b\sqrt {\frac {\pi}{2b}} \right\} \\ =\quad -\frac {\hbar^{2}}{2m}\left( \frac {2b}{\pi} \right)^{\frac {1}{2}}\left\{\sqrt {\frac {b\pi}{2}}\quad -\quad \sqrt {2b\pi} \right\} \quad \\ =\quad -\frac {\hbar^{2}}{2m}\frac {\sqrt {2b}}{\sqrt {\pi}}\left\{\frac {\sqrt {2b\pi}}{2}\quad -\quad \sqrt {2b\pi} \right\} \quad \\ =\quad \frac {\hbar^{2}b}{2m}$$$$\text{Now } \langle V \rangle\text{:}\\ \quad =\quad \left< T \right> \\ \quad =\quad \left< \psi_{trial}|\frac {1}{2}mw^{2}x^{2}|\psi_{trial} \right> \quad \\ =\quad \frac {mw^{2}}{2}\left( \frac {2b}{\pi} \right)^{\frac {1}{2}}\int _{-\infty}^{\infty}{x^{2}e^{-2bx^{2}}dx} \\ \text{Same trick as before!!!} \\ =\quad \frac {mw^{2}}{2}\left( \frac {2b}{\pi} \right)^{\frac {1}{2}}\left( \frac {1}{4\sqrt {2}}\sqrt {\frac {\pi}{b^{3}}} \right) \quad \\ =\quad \frac {mw^{2}}{8b}$$$$\text{So,}\\ \left< \quad H\quad \right>_{trial}\quad =\quad \frac {\hbar^{2}b}{2m}\quad +\quad \frac {mw^{2}}{8b}\quad \text{and this is } \ge \quad E_{gs}\text{, so:} \\ \frac {\hbar^{2}b}{2m}\quad +\quad \frac {mw^{2}}{8b}\quad \ge \quad E_{gs} \\ \text{Now — let's find the minimum the left side can hit.}$$$$\text{Set } \frac {d}{db}\left< \quad H\quad \right>_{trial}\quad =\quad 0\text{:}\\ \frac {d}{db}\left( \frac {\hbar^{2}b}{2m}\quad +\quad \frac {mw^{2}}{8b}\quad \right) \quad =\quad \frac {\hbar^{2}}{2m}\quad -\quad \frac {mw^{2}}{8}b^{-2}\quad =\quad 0 \\ \frac {\hbar^{2}}{2m}\quad =\quad \frac {mw^{2}}{8}b^{-2}\\ \text{So }\quad b^{2}\quad =\quad \left( \frac {mw}{2\hbar} \right)^{2}\quad ,\quad \text{minimum at } b=\quad \frac {mw}{2\hbar} \\ \text{Which gives }\quad \left< H \right>_{min}\quad =\quad \left\lfloor \left< H \right>_{trial} \right\rfloor_{b=\frac {mw}{2\hbar}}\quad =\quad \frac {\hbar w}{2}$$Oh!!! So $\langle H \rangle$ is optimized when $\langle T \rangle = \langle V \rangle$!!!
Wait — the actual harmonic oscillator ground state energy just fell out?!?!
The reason: we got outrageously lucky.
We casually picked
$$\psi_{trial}$$and it just happened to be the exact
$$\psi_{n}$$. Wild.
If we’d picked something else — say a delta function instead of a Gaussian? — there would’ve been a real error.
Got it??
Prob 7.11
a) Using the following trial wave function, get a bound on the ground state energy of the 1D harmonic oscillator.
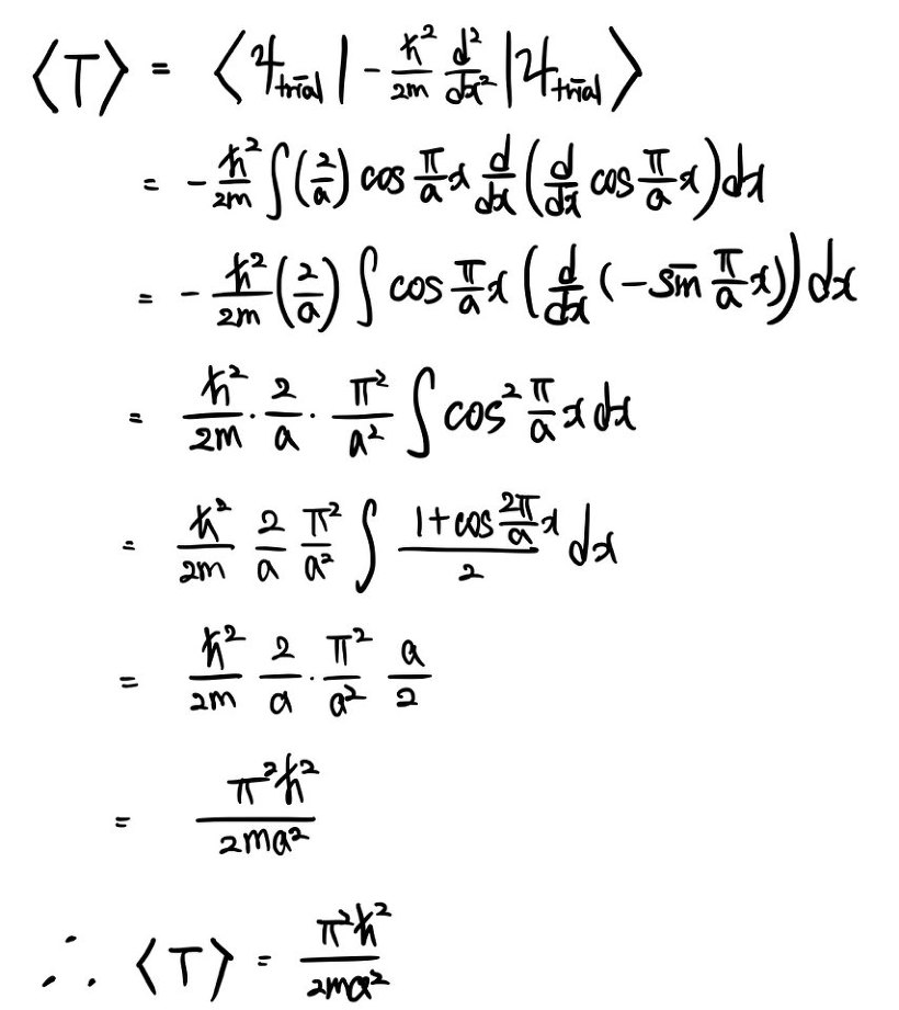
$$\psi_{trial}\quad =\quad \begin{cases}{Acos\frac {\pi}{a}x\quad -\frac {a}{2}<\quad x\quad <\quad \frac {a}{2}}\\{\quad 0\quad otherwise}\end{cases}$$What’s the best value of $a$? Compare $\langle H \rangle_{min}$ with the exact energy.
First — $V = \frac{1}{2}m\omega^2 x^2$, same as before.
Normalize
$$\psi_{trial}$$first:
$$Normalization\quad :\quad \\ A^{2}\int _{-\frac {a}{2}}^{\frac {a}{2}}{\quad}cos^{2}\frac {\pi}{a}xdx\quad =\quad 1$$$$\frac {\pi}{a}x\quad =\quad t\quad //\quad dx\quad =\quad \frac {a}{\pi}dt \\ x=\frac {\pi}{a}\quad ~>\quad t\quad =\quad \frac {2}{\pi}\\ x=-\frac {\pi}{a}\quad ~>\quad t\quad =\quad -\frac {2}{\pi}$$$$Normalization\quad :\quad \\ A^{2}\frac {a}{\pi}\int _{-\frac {\pi}{2}}^{\frac {\pi}{2}}{\quad}cos^{2}tdt\quad =\quad A^{2}\frac {a}{\pi}\int _{-\frac {\pi}{2}}^{\frac {\pi}{2}}{\quad}\frac {1+cos2t}{2}dt\quad \\ =\quad A^{2}\frac {a}{\pi}\left[ \frac {1}{2}t\quad +\quad \frac {1}{4}sin2t \right]_{-\frac {\pi}{2}}^{\frac {\pi}{2}}\\ \quad =\quad \frac {a}{2}A^{2} \\ \text{So }\quad A\quad =\quad \sqrt {\frac {2}{a}} \\ \therefore \quad \psi_{trial}\quad =\quad \begin{cases}{\sqrt {\frac {2}{a}}cos\frac {\pi}{a}x\quad -\frac {a}{2}<\quad x\quad <\quad \frac {a}{2}}\\{\quad 0\quad otherwise}\end{cases}$$Now get $\langle H \rangle$ with this
$$\psi_{trial}$$.
Split into $\langle T \rangle$, $\langle V \rangle$!!!

Ugh…… embedding this as a photo looks rough, doesn’t it? lol lol lol lol
Typing this all out in the equation editor is actual hell. I really, really wish Naver would just please update the equation editor already…
(When there’s too much to type or it’s too painful, I’ll just drop in a photo. (crying))
(I very dutifully submitted a request to the Naver blog suggestion box. Please…… please update it lol lol lol lol lol lol lol lol lol lol lol lol lol)
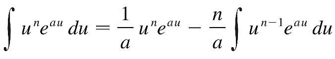
$$\left< \quad V\quad \right> \quad =\quad \left< \psi_{trial}|\frac {1}{2}mw^{2}x^{2}|\psi_{trial} \right> \quad \\ =\quad \frac {1}{2}mw^{2}\frac {2}{a}\int {\quad x^{2}cos^{2}}\frac {\pi}{a}xdx\\ \\ =\quad \frac {mw^{2}}{a}\int _{-\frac {a}{2}}^{\frac {a}{2}}{\quad}x^{2}cos^{2}\frac {\pi}{a}xdx$$$$\text{Substitution cheat sheet:}\\ \frac {\pi}{a}x\quad =\quad t\quad //\quad x^{2}\quad =\quad \frac {a^{2}}{\pi^{2}}\quad //\quad dx\quad =\quad \frac {a}{\pi}dt \\ x=\frac {a}{2}\quad ~>\quad t\quad =\quad \frac {\pi}{2}\\ x=-\frac {a}{2}\quad ~>\quad t\quad =\quad -\frac {\pi}{2}$$$$\left< \quad V\quad \right> =\quad \frac {mw^{2}}{a}\int _{\frac {\pi}{2}}^{\frac {\pi}{2}}{\quad}\left( \frac {a^{2}}{\pi^{2}} \right) t^{2}cos^{2}t\left( \frac {a}{\pi}dt \right) \quad \\ =\quad \frac {mw^{2}}{a}\left( \frac {a^{3}}{\pi^{3}} \right) \int _{\frac {\pi}{2}}^{\frac {\pi}{2}}{\quad}t^{2}cos^{2}tdt\quad$$$$\text{Pull in Euler:}\\ cost\quad =\quad \frac {e^{it}+e^{-it}}{2}\\ cos^{2}t\quad =\quad \frac {e^{i2t}+e^{-i2t}+2}{4}$$$$\left< \quad V\quad \right> =\quad \frac {mw^{2}}{a}\left( \frac {a^{3}}{\pi^{3}} \right) \int _{-\frac {\pi}{2}}^{\frac {\pi}{2}}{\quad}t^{2}\frac {e^{i2t}+e^{-i2t}+2}{4}dt\\ =\quad \frac {mw^{2}}{a}\left( \frac {a^{3}}{\pi^{3}} \right) \int _{-\frac {\pi}{2}}^{\frac {\pi}{2}}{\quad}\left( \frac {1}{4}t^{2}e^{i2t}\quad +\quad \frac {1}{4}t^{2}e^{-i2t}\quad +\quad \frac {1}{2}t^{2} \right) dt$$For the integral, I’ll grab this formula:

(It’s in my integral table — ping me if you want a copy, I’ll send it right over!)
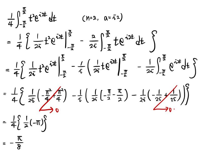
And the details of the calculation, I’ll just attach as a photo.

So
$$\left< \quad V\quad \right> =\quad \frac {mw^{2}}{a}\left( \frac {a^{3}}{\pi^{3}} \right) \int _{-\frac {\pi}{2}}^{\frac {\pi}{2}}{\quad}\left( \frac {1}{4}t^{2}e^{i2t}\quad +\quad \frac {1}{4}t^{2}e^{-i2t}\quad +\quad \frac {1}{2}t^{2} \right) dt\\ \\ =\quad \frac {mw^{2}}{a}\left( \frac {a^{3}}{\pi^{3}} \right) \left\{\frac {\pi^{3}}{24}-\frac {\pi}{4} \right\} \quad =\quad \frac {mw^{2}}{4}\frac {a^{2}}{\pi^{2}}\left\{\frac {\pi^{2}}{6}-1 \right\}$$So
$$\left< \quad H\quad \right>_{trial}\quad =\quad \frac {\pi^{2}\hbar^{2}}{2ma^{2}}\quad +\quad \frac {mw^{2}a^{2}}{4\pi^{2}}\left\{\frac {\pi^{2}}{6}-1 \right\}$$Find the $a$ that minimizes $\langle H \rangle$ with $d/da$:
$$\frac {d}{da}\left< \quad H\quad \right>_{trial}\quad =\quad -\frac {\pi^{2}\hbar^{2}}{ma^{3}}\quad +\quad \frac {mw^{2}a}{2\pi^{2}}\left\{\frac {\pi^{2}}{6}-1 \right\} \quad =\quad 0\\ \\ \frac {\pi^{2}\hbar^{2}}{ma^{3}}\quad =\quad \frac {mw^{2}a}{2\pi^{2}}\left\{\frac {\pi^{2}}{6}-1 \right\} \\ a^{4}\left\{\frac {\pi^{2}}{6}-1 \right\} \quad =\quad \frac {\pi^{2}\hbar^{2}}{m}\frac {2\pi^{2}}{mw^{2}}\quad =\quad \frac {2\pi^{4}\hbar^{2}}{m^{2}w^{2}} \\ a^{4}\quad =\quad \frac {2\pi^{4}\hbar^{2}}{m^{2}w^{2}}\frac {1}{\left\{\frac {\pi^{2}}{6}-1 \right\}} \\ a^{2}\quad =\quad \sqrt {2}\frac {\pi^{2}\hbar}{mw}\sqrt {\frac {1}{\frac {\pi^{2}}{6}-1}}\quad \\ \quad =\quad \frac {\pi^{2}\hbar}{mw}\sqrt {\frac {2}{\frac {\pi^{2}}{6}-1}}\\ a\quad =\quad \pi \sqrt {\frac {\hbar}{mw}}\left( \frac {2}{\frac {\pi^{2}}{6}-1} \right)^{\frac {1}{4}}$$Stick that back into $\langle H \rangle_{trial}$ and that’s our minimum, right?!?!
$$\left< \quad H\quad \right>_{min}\quad =\quad \frac {1}{2}\hbar w\sqrt {\frac {\pi^{2}}{3}-2}$$Punch
$$\sqrt {\frac {\pi^{2}}{3}-2}$$into a calculator — you get 1.135723616773.
So the gap from the true harmonic oscillator energy is about 0.1357ish — roughly 13% error. heh heh heh heh
Clearly we need to pick a better wave function, huh?
Prob 7.13
Using the following Gaussian trial wave function, get the best lower bound you can for the hydrogen ground state.
$$\psi (x)\quad =\quad Ae^{-br^{2}}$$where $A$ is fixed by normalization and $b$ is a free parameter.
Normalize first.
$$1\quad =\quad \int {\quad}\left| \psi \right|^{2}dV\quad \\ =\quad A^{2}\int {\quad}e^{-2br^{2}}r^{2}sin\theta drd\theta d\varphi \quad \\ =\quad A^{2}\cdot 2\cdot 2\pi \int {\quad}e^{-2br^{2}}r^{2}dr\\ \\ 2\quad :\quad by\quad \theta \quad //\quad 2\pi \quad :\quad by\quad \varphi \\ \\ \quad =\quad A^{2}4\pi \int {\quad}e^{-2br^{2}}r^{2}dr$$$$*\quad \text{Integral reference:}\\ \int _{0}^{\infty}{\quad}e^{-\alpha x^{2}}dx\quad =\quad \frac {1}{2}\sqrt {\frac {\pi}{\alpha}}\quad \text{— easy from the Gaussian integral. Differentiate w.r.t. } \alpha\text{:}\\ \int _{0}^{\infty}{\quad -x^{2}}e^{-\alpha x^{2}}dx\quad =\quad \frac {1}{2}\sqrt {\pi}\left( -\frac {1}{2}\alpha^{-\frac {3}{2}} \right) \quad \\ \int _{0}^{\infty}{\quad x^{2}}e^{-\alpha x^{2}}dx\quad =\quad \frac {1}{4}\sqrt {\frac {\pi}{\alpha^{3}}}\quad \\ \text{So }\quad \int _{0}^{\infty}{\quad}e^{-2br^{2}}r^{2}dr\quad =\quad \frac {1}{4}\sqrt {\frac {\pi^{3}}{8b^{3}}}$$$$1\quad =\quad A^{2}4\pi \int {\quad}e^{-2br^{2}}r^{2}dr\quad \\ =\quad A^{2}4\pi \cdot \frac {1}{4}\sqrt {\frac {\pi^{3}}{8b^{3}}}\quad \\ =\quad A^{2}\sqrt {\frac {\pi^{3}}{8b^{3}}}\quad =\quad 1 \\ \therefore \quad A\quad =\quad \left( \frac {8b^{3}}{\pi^{3}} \right)^{\frac {1}{4}}\\ \therefore \quad \psi_{trial}\quad =\quad \left( \frac {8b^{3}}{\pi^{3}} \right)^{\frac {1}{4}}e^{-2br^{2}}$$$$\text{Hydrogen's Hamiltonian:}\\ H\quad =\quad -\frac {\hbar^{2}}{2m}\nabla^{2}\quad -\frac {1}{4\pi \epsilon_{0}}\frac {e^{2}}{r}\quad (\text{now in 3D}).$$$$\text{First up, kinetic energy } \langle T \rangle\text{:}\\ \left< \quad T\quad \right> \quad =\quad \left< \psi_{trial}|-\frac {\hbar^{2}}{2m}\nabla^{2}|\psi_{trial} \right> \\ \quad =\quad -\frac {\hbar^{2}}{2m}\sqrt {\frac {8b^{3}}{\pi^{3}}}\int _{V}^{\quad}{\quad}e^{-br^{2}}\left( \nabla^{2}e^{-br^{2}} \right) dV$$$$\text{Laplacian in spherical coords:} \\ \nabla^{2}\quad =\quad \frac {1}{r^{2}}\frac {\partial}{\partial r}\left( r^{2}\frac {\partial}{\partial r} \right) \quad +\quad \frac {1}{r^{2}sin\theta}\frac {\partial}{\partial \theta}\left( sin\theta \frac {\partial}{\partial \theta} \right) \quad +\quad \frac {1}{r^{2}sin^{2}\theta}\left( \frac {\partial^{2}}{\partial \varphi^{2}} \right) \\ \text{Our } \psi_{trial} \text{ only depends on } r\text{, so we can just ignore the } \theta \text{ and } \varphi \text{ bits.}$$$$\nabla^{2}e^{-br^{2}}\quad =\quad \frac {1}{r^{2}}\frac {\partial}{\partial r}\left( r^{2}\frac {\partial}{\partial r}e^{-br^{2}} \right) \quad \\ =\quad \frac {1}{r^{2}}\frac {\partial}{\partial r}r^{2}\left( -2bre^{-br^{2}} \right) \\ =\quad \frac {1}{r^{2}}\frac {d}{dr}\left( -2br^{3}e^{-br^{2}} \right) \quad \\ =\quad \frac {1}{r^{2}}\left( -6br^{2}e^{-br^{2}}\quad +\quad 4b^{2}r^{4}e^{-br^{2}} \right) \\ =\quad -6be^{-br^{2}}\quad +\quad 4b^{2}r^{2}e^{-br^{2}}$$So
$$\left< \quad T\quad \right> \quad =\quad -\frac {\hbar^{2}}{2m}\sqrt {\frac {8b^{3}}{\pi^{3}}}\int _{V}^{\quad}{\quad}e^{-br^{2}}\left( \nabla^{2}e^{-br^{2}} \right) dV\\ \\ =\quad -\frac {\hbar^{2}}{2m}\sqrt {\frac {8b^{3}}{\pi^{3}}}\int _{V}^{\quad}{\quad}-6be^{-2br^{2}}\quad +\quad 4b^{2}r^{2}e^{-2br^{2}}dV\\ =\quad \frac {\hbar^{2}}{2m}\sqrt {\frac {8b^{3}}{\pi^{3}}}\cdot 2b\int _{V}^{\quad}{\quad}\left( 3e^{-2br^{2}}\quad -\quad 2br^{2}e^{-2br^{2}} \right) dV\\ =\quad \frac {\hbar^{2}}{2m}\sqrt {\frac {8b^{3}}{\pi^{3}}}\cdot 2b\int _{V}^{\quad}{\quad}\left( 3e^{-2br^{2}}\quad -\quad 2br^{2}e^{-2br^{2}} \right) r^{2}sin\theta drd\theta d\varphi \\ =\quad \frac {\hbar^{2}}{2m}\sqrt {\frac {8b^{3}}{\pi^{3}}}\cdot 2b\cdot 2\cdot 2\pi \int _{\quad}^{\quad}{\quad}\left( 3e^{-2br^{2}}\quad -\quad 2br^{2}e^{-2br^{2}} \right) r^{2}dr\\ \\ 2\quad :\quad by\quad \theta \quad //\quad 2\pi \quad :\quad by\quad \varphi$$$$\left< \quad T\quad \right> \quad =\quad \frac {\hbar^{2}}{2m}\sqrt {\frac {8b^{3}}{\pi^{3}}}\cdot 8b\pi \int _{\quad}^{\quad}{\quad}\left( 3e^{-2br^{2}}\quad -\quad 2br^{2}e^{-2br^{2}} \right) r^{2}dr\\ =\quad \frac {\hbar^{2}}{2m}\sqrt {\frac {8b^{3}}{\pi^{3}}}\cdot 8b\pi \left\{3\int _{\quad}^{\quad}{\quad r^{2}}e^{-2br^{2}}dr\quad -\quad 2b\int _{\quad}^{\quad}{\quad}r^{4}e^{-2br^{2}}dr \right\}$$$$\int _{0}^{\infty}{x^{2}e^{-\alpha x^{2}}}\quad =\quad \frac {1}{4}\sqrt {\frac {\pi}{\alpha^{3}}}\quad //\to \quad \text{differentiate in } \alpha \quad \to \quad \int _{0}^{\infty}{x^{4}e^{-\alpha x^{2}}}\quad =\quad \frac {3}{8}\sqrt {\frac {\pi}{\alpha^{5}}}\quad \text{so}$$$$\left< \quad T\quad \right> =\quad \frac {\hbar^{2}}{2m}\sqrt {\frac {8b^{3}}{\pi^{3}}}\cdot 8b\pi \left\{3\int _{\quad}^{\quad}{\quad r^{2}}e^{-2br^{2}}dr\quad -\quad 2b\int _{\quad}^{\quad}{\quad}r^{4}e^{-2br^{2}}dr \right\} \\ =\quad \frac {8\hbar^{2}b^{2}\sqrt {2b}}{m\sqrt {\pi}}\left\{3\cdot \frac {1}{4}\sqrt {\frac {\pi}{8b^{3}}}\quad -\quad 2b\cdot \frac {3}{8}\sqrt {\frac {\pi}{32b^{5}}} \right\} \\ =\quad \frac {8\hbar^{2}b^{2}\sqrt {2b}}{m\sqrt {\pi}}\left\{\frac {3}{4}\frac {1}{2b}\sqrt {\frac {\pi}{2b}}\quad -\quad 2b\cdot \frac {3}{8}\frac {1}{4b^{2}}\sqrt {\frac {\pi}{2b}} \right\} \\ =\quad \frac {8\hbar^{2}b^{2}\sqrt {2b}}{m\sqrt {\pi}}\left\{\frac {3}{8b}\quad -\quad \frac {3}{16b} \right\} \sqrt {\frac {\pi}{2b}}\quad =\quad \frac {8\hbar^{2}b}{m}\left\{\frac {3}{8}\quad -\quad \frac {3}{16} \right\} \\ =\quad \frac {b\hbar^{2}}{m}\left\{3\quad -\quad \frac {3}{2} \right\} \quad =\quad \frac {3\hbar^{2}b}{2m}$$Phew…. that was long.
Now $\langle V \rangle$.
$$\left< \quad V\quad \right> \quad =\quad \left< \psi_{trial}|-\frac {1}{4\pi \epsilon_{0}}\frac {e^{2}}{r}|\psi_{trial} \right> \quad \\ =\quad -\frac {e^{2}}{4\pi \epsilon_{0}}\sqrt {\frac {8b^{3}}{\pi^{3}}}\int {\quad}\frac {1}{r}e^{-2br^{2}}dV\\ \\ =\quad -\frac {e^{2}}{4\pi \epsilon_{0}}\sqrt {\frac {8b^{3}}{\pi^{3}}}\int {\quad}re^{-2br^{2}}sin\theta drd\theta d\varphi \\ =\quad -\frac {e^{2}}{4\pi \epsilon_{0}}\sqrt {\frac {8b^{3}}{\pi^{3}}}\cdot 2\cdot 2\pi \int _{0}^{\infty}{re^{-2br^{2}}dr}$$$$*\quad \text{u-substitution:}\\ -2br^{2}\quad =\quad t\\ -4brdr\quad =\quad dt\\ rdr\quad =\quad -\frac {1}{4b}dt$$$$\left< \quad V\quad \right> \quad =\quad -\frac {e^{2}}{4\pi \epsilon_{0}}\sqrt {\frac {8b^{3}}{\pi^{3}}}\cdot 2\cdot 2\pi \int _{0}^{\infty}{re^{-2br^{2}}dr}\\ =\quad -\frac {e^{2}}{\epsilon_{0}}\sqrt {\frac {8b^{3}}{\pi^{3}}}\int _{0}^{-\infty}{-\frac {1}{4b}e^{t}dt}\quad \\ =\quad \frac {e^{2}}{\epsilon_{0}}\sqrt {\frac {8b^{3}}{\pi^{3}}}\int _{0}^{-\infty}{\frac {1}{4b}e^{t}dt}\\ =\frac {e^{2}}{4b\epsilon_{0}}\sqrt {\frac {8b^{3}}{\pi^{3}}}\left\lfloor e^{t} \right\rfloor_{0}^{-\infty}\quad \\ =\quad -\frac {e^{2}}{4b\epsilon_{0}}\sqrt {\frac {8b^{3}}{\pi^{3}}}\quad \\ =\quad -\frac {e^{2}\sqrt {2}}{2\pi \epsilon_{0}}\sqrt {\frac {b}{\pi}}$$$$\text{So }\quad \left< \quad H\quad \right>_{trial}\quad =\quad \frac {3\hbar^{2}b}{2m}\quad -\frac {e^{2}\sqrt {2}}{2\pi \epsilon_{0}}\sqrt {\frac {b}{\pi}}$$$$\text{Differentiate } \left< \quad H\quad \right>_{trial} \text{ with respect to } b\text{:}\\ \frac {d}{db}\left< \quad H\quad \right>_{trial}\quad =\quad \frac {3\hbar^{2}}{2m}-\quad \frac {e^{2}\sqrt {2}}{4\pi \epsilon_{0}}\sqrt {\frac {1}{\pi b}}\quad =\quad 0 \\ \frac {3\hbar^{2}}{2m}=\quad \frac {e^{2}\sqrt {2}}{4\pi \epsilon_{0}}\sqrt {\frac {1}{\pi b}} \\ \therefore \quad \sqrt {b}\quad =\quad \frac {e^{2}}{4\pi \epsilon_{0}}\frac {2m}{3\hbar^{2}}\sqrt {\frac {2}{\pi}}\\ b=\quad \left( \frac {e^{2}}{4\pi \epsilon_{0}} \right)^{2}\frac {8m^{2}}{9\pi \hbar^{4}}\quad -\quad \frac {e^{2}}{2\pi \epsilon_{0}}\sqrt {\frac {2}{\pi}}\cdot \left( \frac {e^{2}}{4\pi \epsilon_{0}}\frac {2m}{3\hbar^{2}}\sqrt {\frac {2}{\pi}} \right) \\ \text{So }\quad \left< \quad H\quad \right>_{min}\quad =\quad \frac {3\hbar^{2}}{2m}\frac {8m^{2}}{9\pi \hbar^{4}}\left( \frac {e^{2}}{4\pi \epsilon_{0}} \right)^{2}\quad -\quad \frac {e^{2}}{2\pi \epsilon_{0}}\sqrt {\frac {2}{\pi}}\cdot \left( \frac {e^{2}}{4\pi \epsilon_{0}}\frac {2m}{3\hbar^{2}}\sqrt {\frac {2}{\pi}} \right) \\ =\quad \frac {4m}{3\pi \hbar^{2}}\left( \frac {e^{2}}{4\pi \epsilon_{0}} \right)^{2}\quad -\quad \left( \frac {e^{2}}{4\pi \epsilon_{0}} \right)^{2}\frac {8m}{3\pi \hbar^{2}}\\ =\quad -\quad \frac {4m}{3\pi \hbar^{2}}\left( \frac {e^{2}}{4\pi \epsilon_{0}} \right)^{2}\quad \\ =\quad \frac {8}{3\pi}\left( E_{1} \right) \quad \\ \cong \quad -11.5eV$$$$*\quad E_{1}\quad =\quad -\frac {m}{2\hbar^{2}}\left( \frac {e^{2}}{4\pi \epsilon_{0}} \right)^{2}\quad =\quad -13.6eV$$So because our trial wave function wasn’t the actual hydrogen wave function, we’re off by about 2.1 eV.
Originally written in Korean on my Naver blog (2015-12). Translated to English for gdpark.blog.