WKB Approximation Practice Problems
Working through WKB approximation problems to nail down allowed energies in dipped-well potentials — then sanity-checking it all with the harmonic oscillator!
Which means… which means… which means — the two functions have to be equal!!!!!
And for them to be equal, basically the stuff inside the sine has to match!!!!! (OK fine, we’ll let them differ by a phase of $n\pi$, since sine is periodic.)
So:
$$\frac {1}{\hbar}\int _{x}^{x_{2}}{\quad}p(x')dx'\quad +\quad \frac {\pi}{4}\quad =\quad \frac {1}{\hbar}\int _{x_{1}}^{x}{\quad}p(x')dx'\quad +\quad \frac {\pi}{4}\quad -n\pi \\ \text{Ugh — but these two integrals don't combine into one. Can't do anything, can't pull anything out. (;\_;)} \\ \text{Rescue move: sine is odd.}\\ sinx\quad =\quad -sin(-x)\\ \frac {2D'}{\sqrt {p(x)}}sin\left( \frac {1}{\hbar}\int _{x_{1}}^{x}{\quad}p(x')dx'\quad +\quad \frac {\pi}{4}\quad -n\pi \right) \quad =\quad -\frac {2D'}{\sqrt {p(x)}}sin\left( -\frac {1}{\hbar}\int _{x_{1}}^{x}{\quad}p(x')dx'\quad -\quad \frac {\pi}{4}\quad +n\pi \right)$$$$\frac {2D}{\sqrt {p(x)}}sin\left( \frac {1}{\hbar}\int _{x}^{x_{2}}{\quad}p(x')dx'\quad +\quad \frac {\pi}{4} \right) \quad =\quad -\frac {2D'}{\sqrt {p(x)}}sin\left( -\frac {1}{\hbar}\int _{x_{1}}^{x}{\quad}p(x')dx'\quad -\quad \frac {\pi}{4}\quad +n\pi \right) \\ \frac {1}{\hbar}\int _{x}^{x_{2}}{\quad}p(x')dx'\quad +\quad \frac {\pi}{4}\quad =\quad -\frac {1}{\hbar}\int _{x_{1}}^{x}{\quad}p(x')dx'\quad -\quad \frac {\pi}{4}\quad +n\pi \\ \text{NOW the integrals combine!} \\ \frac {1}{\hbar}\int _{x_{1}}^{x_{2}}{\quad}p(x')dx'\quad =\quad n\pi \quad -\quad \frac {\pi}{2} \\ \int _{x_{1}}^{x_{2}}{\quad}p(x')dx'\quad =\quad \left( n\quad -\quad \frac {1}{2} \right) \pi \hbar$$Ohhh my — so if we just know $V$, we can pull out the allowed energies inside any of those dipped-in, convex-well-looking potentials!!!! How clean is that?!
Let’s sanity-check it with Prob 8.7.
Prob 8.7
Using the WKB approximation, find the allowed energies of the harmonic oscillator.

The condition we just derived for a dipped-well potential was
$$\int _{x_{1}}^{x_{2}}{p(x')dx'}\quad =\quad \left( n-\frac {1}{2} \right) \pi \hbar$$Right. And now that we’ve got an actual $V(x)$, we can go compute the left side for real.
Oh and of course,
$$E\quad =\quad \frac {1}{2}mw^{2}x_{1}^{2}\quad =\quad \frac {1}{2}mw^{2}x_{2}^{2}$$we’re going to lean on this too. Don’t let it throw you!!!!
OK, let’s crank it:
$$p(x)\quad =\quad \sqrt {2m(E-V(x))}\quad \\ =\quad \sqrt {2m\left( E\quad -\quad \frac {1}{2}mw^{2}x^{2} \right)}\quad \\ =\quad \sqrt {2m\left( \frac {1}{2}mw^{2}x_{2}^{2}\quad -\quad \frac {1}{2}mw^{2}x^{2} \right)} \\ \quad =\quad mw\sqrt {x_{2}^{2}\quad -\quad x^{2}}$$$$\int _{x_{1}}^{x_{2}}{\quad}mw\sqrt {x_{2}^{2}\quad -\quad x'^{2}}dx'\quad \text{Quick move here:}\quad -x_{1}\quad =\quad x_{2}\quad \\ \text{so},\quad =\quad \int _{-x_{2}}^{x_{2}}{\quad}mw\sqrt {x_{2}^{2}\quad -\quad x'^{2}}dx'$$And of course — the integral is the hard part. Always. (-_-)
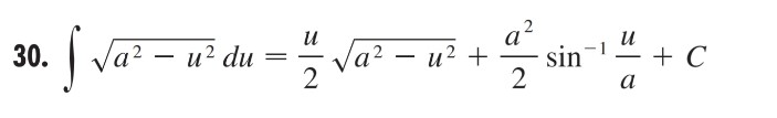
Let me just slap my integral table up here.

Using it as-is~~~
$$\int _{-x_{2}}^{x_{2}}{\quad}mw\sqrt {x_{2}^{2}\quad -\quad x'^{2}}dx'\quad =\quad \frac {1}{2}mw\left[ x\sqrt {x_{2}^{2}-x^{2}}\quad +\quad x_{2}^{2}sin^{-1}\left( \frac {x}{x_{2}} \right) \right]_{-x_{2}}^{x_{2}} \\ \\ =\quad \frac {\pi}{w}E \\ \frac {\pi}{w}E\quad =\quad \left( n-\frac {1}{2} \right) \pi \hbar \\ \therefore \quad E\quad =\quad \left( n-\frac {1}{2} \right) \hbar w$$(Everybody already saw this coming, but —)
…it collapses right back to the formula we already knew. Satisfying.
Example 8.3 — “A potential well with one vertical wall”
Here’s the setup: we’ve got a well where one side is a vertical wall (at $x=0$), and the other side is a harmonic-oscillator wall.

On the harmonic-oscillator side, there’s a boundary between the bound region and the tunneling region, so let’s write down a WKB that runs up to $V \approx E$.
In the bound region:
$$\psi_{WKB}\quad =\quad \frac {2D}{\sqrt {p(x)}}sin\left( \frac {1}{\hbar}\int _{x}^{x_{2}}{p(x')dx'\quad +\quad \frac {\pi}{4}} \right)$$but~
The wavefunction has to be zero at $x=0$, which means the thing inside the sine has to equal $n\pi$!!!!!!
So,
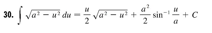
$$n\pi \quad =\quad \left( \frac {1}{\hbar}\int _{0}^{x_{2}}{p(x')dx'\quad +\quad \frac {\pi}{4}} \right) \\ \int _{0}^{x_{2}}{p(x')dx'}\quad =\quad n\pi \hbar \quad -\quad \frac {\pi}{4}$$$$\text{And},\\ p(x)\quad =\quad \sqrt {2m\left( E\quad -\quad V(x) \right)}\quad =\quad \sqrt {2m\left( E\quad -\quad \frac {1}{2}mw^{2}x^{2} \right)}\\ E\quad =\quad \frac {1}{2}mw^{2}x_{2}^{2}\quad \text{so}, \\ p(x)\quad =\quad \sqrt {2m\left( E\quad -\quad \frac {1}{2}mw^{2}x^{2} \right)}\quad =\quad \sqrt {2m\left( \frac {1}{2}mw^{2}x_{2}^{2}\quad -\quad \frac {1}{2}mw^{2}x^{2} \right)}\quad \\ \quad =\quad mw\sqrt {x_{2}^{2}-x^{2}}$$$$\text{So},\\ \int _{0}^{x_{2}}{\quad}p(x')dx'\quad =\quad \int _{0}^{x_{2}}{\quad}mw\sqrt {x_{2}^{2}-x'^{2}}dx'$$And for this one, integral table to the rescue:

And that gives us
$$\frac {\pi}{2w}E\quad =\quad \left( n-\frac {1}{4} \right) \pi \hbar \\ \\ \therefore \quad E_{n}\quad =\quad 2\left( n-\frac {1}{4} \right) \hbar w\quad \\ =\quad \left( 2n-\frac {1}{2} \right) \hbar w \\ =\quad \frac {3}{2}\hbar w,\quad \frac {7}{2}\hbar w,\quad \frac {11}{2}\hbar w,\quad ......\quad \text{these are the ones that make the cut, heh}$$Prob 8.13
Here’s a fun one. For a 3D spherically-symmetric potential, you can run WKB on the radial part.
When $\ell = 0$, you can reasonably use:
$$\int _{0}^{r_{0}}{\quad}p(r)dr\quad =\quad \left( n-\frac {1}{4} \right) \pi \hbar$$where $r_0$ is the turning point. (We basically treat $r=0$ as an infinitely high wall.)
Using this, find the allowed energies for the following logarithmic potential:
$$V(r)\quad =\quad V_{0}ln\frac {r}{a}$$And show that for $\ell=0$, the spacing of energy levels doesn’t depend on mass.
Off we go!
$$\left( n-\frac {1}{4} \right) \pi \hbar \quad =\quad \int _{0}^{r_{0}}{\quad}p(r)dr\quad \\ \quad =\quad \int _{0}^{r_{0}}{\quad}\sqrt {2m(E-V(r)}dr \\ V\left( r_{0} \right) \quad =\quad E\quad \text{so}\quad E=\quad V_{0}ln\frac {r_{0}}{a} \\ \text{which gives}, \\ \quad \int _{0}^{r_{0}}{\quad}\sqrt {2m(E-V(r)}dr\quad =\quad \int _{0}^{r_{0}}{\quad}\sqrt {2m\left( V_{0}ln\frac {r_{0}}{a}-V_{0}ln\frac {r}{a} \right)}dr\quad \\ =\quad \sqrt {2mV_{0}}\int _{0}^{r_{0}}{\quad}\sqrt {V_{0}ln\frac {r_{0}}{r}}dr$$$$*\text{u-sub time}\\ ln\frac {r_{0}}{r}\quad =\quad x\quad \text{so}\quad \frac {r_{0}}{r}\quad =\quad e^{x}\quad \\ \text{i.e.,}\quad r_{0}e^{-x}\quad =\quad r\\ -r_{0}e^{-x}dx\quad =\quad dr \\ r=0\quad \Rightarrow \quad x=\infty \\ r=r_{0}\Rightarrow \quad x=0\quad \text{Plug it all in.}$$$$=\sqrt {2mV_{0}}\int _{\infty}^{0}{\sqrt {x}}\left( -r_{0}e^{-x}dx \right) \quad \\ =\quad -r_{0}\sqrt {2mV_{0}}\int _{\infty}^{0}{\quad}x^{\frac {1}{2}}e^{-x}dx\quad \\ =\quad r_{0}\sqrt {2mV_{0}}\int _{0}^{\infty}{\quad}x^{\frac {1}{2}}e^{-x}dx\quad \text{OH HEY — it's the Gamma function!} \\ =\quad r_{0}\sqrt {2mV_{0}}\Gamma \left( \frac {3}{2} \right) \quad \\ =r_{0}\sqrt {2mV_{0}}\frac {\sqrt {\pi}}{2}$$$$\left( n-\frac {1}{4} \right) \pi \hbar \quad =\quad r_{0}\sqrt {2mV_{0}}\frac {\sqrt {\pi}}{2} \\ r_{0}\quad =\quad 2\sqrt {\frac {1}{2mV_{0}\pi}}\left( n-\frac {1}{4} \right) \pi \hbar \quad \\ =\quad \sqrt {\frac {2\pi}{mV_{0}}}\left( n-\frac {1}{4} \right) \hbar \\ \frac {r_{0}}{a}\quad =\quad \sqrt {\frac {2\pi}{mV_{0}}}\left( n-\frac {1}{4} \right) \frac {\hbar}{a}\\ ln\frac {r_{0}}{a}\quad =\quad ln\sqrt {\frac {2\pi}{mV_{0}}}\left( n-\frac {1}{4} \right) \frac {\hbar}{a}\\ V_{0}ln\frac {r_{0}}{a}\quad =\quad V_{0}ln\sqrt {\frac {2\pi}{mV_{0}}}\left( n-\frac {1}{4} \right) \frac {\hbar}{a} \\ \text{i.e.,}\quad E\quad =\quad V_{0}ln\sqrt {\frac {2\pi}{mV_{0}}}\left( n-\frac {1}{4} \right) \frac {\hbar}{a}$$$$E_{n+1}\quad =\quad V_{0}ln\left[ \sqrt {\frac {2\pi}{mV_{0}}}\left( \frac {4n+3}{4} \right) \frac {\hbar}{a} \right] \\ E_{n}\quad =\quad V_{0}ln\left[ \sqrt {\frac {2\pi}{mV_{0}}}\left( \frac {4n-3}{4} \right) \frac {\hbar}{a} \right] \\ \therefore \quad E_{n+1}\quad -\quad E_{n}=\quad V_{0}ln\frac {4n+3}{4n-1} \\ \to \quad \text{No}\quad m\quad \text{anywhere. Mass-independent, just like it was supposed to be.}$$Originally written in Korean on my Naver blog (2015-12). Translated to English for gdpark.blog.