Time-Dependent Perturbation Theory
We grind through the Schrödinger equation, pull the same bra-ket trick from Chapter 6, and land on coupled ODEs for C_a and C_b — with H'_aa = H'_bb = 0 for transitions.
OK… up to here it kinda feels like the end…
Aaaand now I’m gonna pivot. hahahahahahahaha
The next move — playing with these equations from here on — uses the exact same trick as when we derived perturbation theory back in Chapter 6.
Why? Because we’re going to hit that equation up there with
$\langle \psi_{a} |$
once,
and then with
$\langle \psi_{b} |$
once more.
Oh! And let’s agree on one bit of shorthand before we go.
$$\langle \psi_{i}|H'(t)|\psi_{j} \rangle \equiv H'_{ij}$$That’s how we’ll write it.
$$i)\text{ hitting both sides with }\langle \psi_{a} | \\ C_{a}(t)H'_{aa}e^{-i\frac{E_{a}}{\hbar}t} + C_{b}(t)H'_{ab}e^{-i\frac{E_{b}}{\hbar}t} = i\hbar\dot{C}_{a}(t)e^{-i\frac{E_{a}}{\hbar}t} \\ \therefore\; \dot{C}_{a}(t) = \frac{1}{i\hbar}e^{i\frac{E_{a}}{\hbar}t}\Bigl(C_{a}(t)H'_{aa}e^{-i\frac{E_{a}}{\hbar}t} + C_{b}(t)H'_{ab}e^{-i\frac{E_{b}}{\hbar}t}\Bigr) \\ = -\frac{i}{\hbar}\Bigl(C_{a}(t)H'_{aa} + C_{b}(t)H'_{ab}e^{-i\frac{(E_{b}-E_{a})}{\hbar}t}\Bigr)$$$$ii)\text{ hitting both sides with }\langle \psi_{b} | \\ \dot{C}_{b}(t) = -\frac{i}{\hbar}\Bigl(C_{b}(t)H'_{bb} + C_{a}(t)H'_{ba}e^{-i\frac{(E_{a}-E_{b})}{\hbar}t}\Bigr)$$In a lot of cases,
$$*\quad H'_{aa} = H'_{bb} = 0 \quad \text{(usually)}$$these are just zero — that’s the line you hear.
I’m a little iffy on the “just trust me” version, so let me restate it:
“At least for emission, absorption, and transition — yeah, they’re zero.” That I’ll say.
Plugging that in:
$$\dot{C}_{a}(t) = -\frac{i}{\hbar}\Bigl(C_{b}(t)H'_{ab}e^{-i\frac{(E_{b}-E_{a})}{\hbar}t}\Bigr) = -\frac{i}{\hbar}C_{b}(t)H'_{ab}e^{-iw_{0}t} \\ \dot{C}_{b}(t) = -\frac{i}{\hbar}\Bigl(C_{a}(t)H'_{ba}e^{-i\frac{(E_{a}-E_{b})}{\hbar}t}\Bigr) = -\frac{i}{\hbar}C_{a}(t)H'_{ba}e^{iw_{0}t} \\ \Bigl(E_{b} \ge E_{a},\quad w_{0} = \frac{E_{b}-E_{a}}{\hbar}\Bigr)$$Let’s wriiiite it like that.
OK, with what we’ve got, let’s chew on a couple of problems.
Prob 9.1
A hydrogen atom sits in a time-dependent electric field
$$\mathbf{E} = E(t)\hat{k}$$.
For the perturbation between the ground state ($n=1$) and the fourfold-degenerate first excited state ($n=2$),
$$H' = eEz$$compute all four matrix elements
$$H'_{ij}$$and also show, for all five states, that
$$H'_{ii} = 0$$(Hint: if you use odd-parity in $z$, there’s actually only one integral you need to do here. Since one of the $n=2$ states couples to the ground state through the perturbation, and assuming we can ignore transitions to higher excited states, we can treat the system as a clean two-state setup.)
We need
$$\psi_{1,0,0},\quad \psi_{2,0,0},\quad \psi_{2,1,-1},\quad \psi_{2,1,0},\quad \psi_{2,1,1}$$.
Let me go cheat off Chapter 4 (pages 135 and 149).
$$\psi_{1,0,0} = R_{1,0}Y_{0,0} = \Bigl(2a^{-\frac{3}{2}}e^{-\frac{r}{a}}\Bigr)\Bigl(\sqrt{\frac{1}{4\pi}}\Bigr) = \frac{1}{\sqrt{\pi a^{3}}}e^{-\frac{r}{a}} \\ \psi_{2,0,0} = R_{2,0}Y_{0,0} = \Bigl(\frac{1}{\sqrt{2}}a^{-\frac{3}{2}}\Bigl(1-\frac{r}{2a}\Bigr)e^{-\frac{r}{2a}}\Bigr)\Bigl(\sqrt{\frac{1}{4\pi}}\Bigr) = \frac{1}{\sqrt{8\pi a^{3}}}\Bigl(1-\frac{r}{2a}\Bigr)e^{-\frac{r}{2a}} \\ \psi_{2,1,-1} = R_{2,1}Y_{1,-1} = \Bigl(\frac{1}{\sqrt{24}}a^{-\frac{3}{2}}\frac{r}{a}e^{-\frac{r}{2a}}\Bigr)\Bigl(\sqrt{\frac{3}{8\pi}}\sin\theta\, e^{-i\varphi}\Bigr) = \frac{1}{\sqrt{64\pi a^{3}}}\frac{r}{a}e^{-\frac{r}{2a}}\sin\theta\, e^{-i\varphi} \\ \psi_{2,1,0} = R_{2,1}Y_{1,0} = \Bigl(\frac{1}{\sqrt{24}}a^{-\frac{3}{2}}\frac{r}{a}e^{-\frac{r}{2a}}\Bigr)\Bigl(\sqrt{\frac{3}{4\pi}}\cos\theta\Bigr) = \frac{1}{\sqrt{32\pi a^{3}}}\frac{r}{a}e^{-\frac{r}{2a}}\cos\theta \\ \psi_{2,1,1} = R_{2,1}Y_{1,0} = \Bigl(\frac{1}{\sqrt{24}}a^{-\frac{3}{2}}\frac{r}{a}e^{-\frac{r}{2a}}\Bigr)\Bigl(-\sqrt{\frac{3}{8\pi}}\sin\theta\, e^{-i\varphi}\Bigr) = \frac{-1}{\sqrt{64\pi a^{3}}}\frac{r}{a}e^{-\frac{r}{2a}}\sin\theta\, e^{-i\varphi}$$Whoaaa,,,,,, with all this,
$$H'_{ij} = \langle \psi_{i}|H'(t)|\psi_{j} \rangle = \langle \psi_{i}|eE(t)z\hat{k}|\psi_{j} \rangle$$when am I supposed to crank through ALL of this………………ha……. Big deal incoming.
But wait — the hint told us to look for even/odd behavior in $z$ and ride that.
Hmm…………… let’s take that hint and run.
First up:
$$\psi_{1,0,0} = \frac{1}{\sqrt{\pi a^{3}}}e^{-\frac{r}{a}}$$this guy… is it even in $z$????????
Yep. Even.
$$\psi_{1,0,0} = \frac{1}{\sqrt{\pi a^{3}}}e^{-\frac{r}{a}} = \frac{1}{\sqrt{\pi a^{3}}}e^{-\frac{\sqrt{x^{2}+y^{2}+z^{2}}}{a}}$$Yes yes yes yes yes — even.
Looking at the loooong list above: the exponential pieces are all even in $z$, so we don’t have to sweat them.
The principal-quantum-number-2 guys have a radial term that looks like
$${\sim}r\,e^{{\sim}r}$$basically this shape — and that’s also even in $z$.
$$\because\quad {\sim}r\,e^{{\sim}r} = {\sim}\sqrt{x^{2}+y^{2}+z^{2}}\;e^{{\sim}\sqrt{x^{2}+y^{2}+z^{2}}}$$Now then —
$$\psi_{2,1,-1},\quad \psi_{2,1,0},\quad \psi_{2,1,1}$$these have some annoying bits.
You can spot
$$r\sin\theta\, e^{\pm i\varphi}$$and you can spot
$$r\cos\theta$$— let me flip them into Cartesian.
First,
$$r\cos\theta = z$$and
$$r\sin\theta\, e^{\pm i\varphi} = r\sin\theta(\cos\varphi \pm i\sin\varphi) = r\sin\theta\cos\varphi \pm i\,r\sin\theta\sin\varphi = x \pm iy$$Going Cartesian instantly tells us how each piece relates to $z$.
$$\psi_{2,1,-1},\quad \psi_{2,1,1}$$are even in $z$!!!!!!
The radial part out front was even in $z$ from the start, and the angular part
$$r\sin\theta\, e^{\pm i\varphi} = x \pm iy$$doesn’t depend on $z$ at all — confirmed.
$$\psi_{2,1,0}$$This guy is odd in $z$ thanks to $r\cos\theta$!!!!!!
Whoa, it’s all sorted.
$$\psi_{1,0,0} = R_{1,0}Y_{0,0} = \text{even in }z \\ \psi_{2,0,0} = R_{2,0}Y_{0,0} = \text{even in }z \\ \psi_{2,1,-1} = R_{2,1}Y_{1,-1} = \text{even in }z \\ \psi_{2,1,0} = R_{2,1}Y_{1,0} = \text{odd in }z \\ \psi_{2,1,1} = R_{2,1}Y_{1,0} = \text{even in }z$$Squared away, right?!?!?!?!
So now
$$H'_{ij} = \langle \psi_{i}|H'(t)|\psi_{j} \rangle = \langle \psi_{i}|eE(t)z\hat{k}|\psi_{j} \rangle$$let’s bash through these one at a time.
$$H'_{ii} = \langle \psi_{i}|eE(t)z\hat{k}|\psi_{i} \rangle = \begin{cases} eE(t)\langle \text{even in }z\,|\,z\hat{k}\,|\,\text{even in }z\rangle = 0 \\ \text{or} \\ eE(t)\langle \text{odd in }z\,|\,z\hat{k}\,|\,\text{odd in }z\rangle = 0 \end{cases}$$All the same-index ones — all zero, right?!?!?!!!!
OK, then for the $i \neq j$ guys we’d have to do all those integrals, but really we only need exactly these 4.
Because right now we’re looking at the transition from $1,0,0$ to $2,x,x$!!!!!!!
$$\langle \psi_{1,0,0}|z|\psi_{2,0,0} \rangle \\ \langle \psi_{1,0,0}|z|\psi_{2,1,-1} \rangle \\ \langle \psi_{1,0,0}|z|\psi_{2,1,0} \rangle \\ \langle \psi_{1,0,0}|z|\psi_{2,1,1} \rangle$$But we can also rewrite them like this:
$$\langle \text{even}|z|\text{even} \rangle = 0 \\ \langle \text{even}|z|\text{even} \rangle = 0 \\ \langle \text{even}|z|\text{odd} \rangle \neq 0 \\ \langle \text{even}|z|\text{even} \rangle = 0$$Phew…………… little brain put in some honest work, and now there’s exactly one integral left.
Let’s go!
$$\langle \psi_{1,0,0}|z|\psi_{2,1,0} \rangle \\ = \int_{V} \frac{1}{\sqrt{\pi a^{3}}}e^{-\frac{r}{a}}(-eEz)\frac{1}{\sqrt{32\pi a^{3}}}\frac{r}{a}e^{-\frac{r}{2a}}\cos\theta\;dV \\ = -\frac{eE}{\pi a^{4}}\frac{1}{4\sqrt{2}}\int_{V} e^{-\frac{r}{a}}zr\,e^{-\frac{r}{2a}}\cos\theta\;dV \\ = -\frac{eE}{\pi a^{4}}\frac{1}{4\sqrt{2}}\int_{V} r^{2}\cos^{2}\!\theta\;e^{-\frac{3r}{2a}}r^{2}\sin\theta\;dr\,d\theta\,d\varphi \\ = -\frac{1}{4\sqrt{2}}\frac{eE}{\pi a^{4}}\int_{0}^{\infty}r^{4}e^{-\frac{3r}{2a}}dr\int_{0}^{\pi}\cos^{2}\!\theta\sin\theta\;d\theta\int_{0}^{2\pi}d\varphi \\ = -\frac{1}{4\sqrt{2}}\frac{eE}{\pi a^{4}}\cdot 2\pi\int_{0}^{\infty}r^{4}e^{-\frac{3r}{2a}}dr\int_{0}^{\pi}\cos^{2}\!\theta\sin\theta\;d\theta$$$$\int_{0}^{\infty}r^{4}e^{-\frac{3r}{2a}}dr \\ *\text{u-sub} \\ \frac{3r}{2a}=t,\quad r=\frac{2a}{3}t,\quad r^{4}=\frac{16a^{4}}{81}t^{4} \\ \frac{3}{2a}dr=dt,\quad dr=\frac{2a}{3}dt \\ = \int_{0}^{\infty}\frac{16a^{4}}{81}t^{4}e^{-t}\frac{2a}{3}dt = \frac{2^{5}a^{5}}{3^{5}}\int_{0}^{\infty}t^{4}e^{-t}dt = \frac{2^{5}a^{5}}{3^{5}}\,\Gamma(5) = \frac{2^{5}a^{5}}{3^{5}}\cdot 4!$$$$\int_{0}^{\pi}\cos^{2}\!\theta\sin\theta\;d\theta = \int_{0}^{\pi}(1-\sin^{2}\!\theta)\sin\theta\;d\theta = \int_{0}^{\pi}\sin\theta - \sin^{3}\!\theta\;d\theta \\ = 2 - \int_{0}^{\pi}\sin^{3}\!\theta\;d\theta = 2 - \Bigl[-\frac{1}{3}(2+\sin^{2}\!\theta)\cos\theta\Bigr]_{0}^{\pi} \\ = 2 + \Bigl(-\frac{2}{3}-\frac{2}{3}\Bigr) = \frac{2}{3}$$Integral table I used for the green one:

So,
$$\langle \psi_{1,0,0}|z|\psi_{2,1,0} \rangle = -\frac{1}{4\sqrt{2}}\frac{eE}{\pi a^{4}}\cdot 2\pi\int_{0}^{\infty}r^{4}e^{-\frac{3r}{2a}}dr\int_{0}^{\pi}\cos^{2}\!\theta\sin\theta\;d\theta \\ = -\frac{1}{4\sqrt{2}}\frac{eE}{\pi a^{4}}\cdot 2\pi\Bigl(\frac{2^{5}a^{5}}{3^{5}}\cdot 4!\Bigr)\Bigl(\frac{2}{3}\Bigr)$$Tidying it up is such a chore… T_T T_T T_T
Prob. 9.2
Take
$C_{a}(0)=1$
,
$C_{b}(0)=0$
, and solve equation 9.13 for the time-independent perturbation case.
Then verify that
$$|C_{a}(t)|^{2} + |C_{b}(t)|^{2} = 1$$.
Hint: this system clearly oscillates between pure
$\psi_{a}$
and some
$\psi_{b}$
.
Doesn’t that contradict the general claim that “no transition occurs for a time-independent perturbation”?
Nope. But the reason is a bit subtle:
In this case,
$\psi_{a}$
and
$\psi_{b}$
are absolutely not eigenstates of the Hamiltonian — if you measured the energy, you would not get
$E_{a}$
or
$E_{b}$
out.
In time-dependent perturbation theory, the usual move is to switch the perturbation on briefly and then switch it back off again to probe the system.
At the switch-on and switch-off moments,
$\psi_{a}$
and
$\psi_{b}$
are genuine eigenstates,
and assuming, just for this book, that the perturbation turns on at
$t=0$
and turns off again at time
$t$
— that doesn’t change any of the math, it just gives us a much cleaner story to tell about the result.
Now, with what we already had,
$$\dot{C}_{a}(t) = -\frac{i}{\hbar}C_{b}(t)H'_{ab}e^{-iw_{0}t} \\ \dot{C}_{b}(t) = -\frac{i}{\hbar}C_{a}(t)H'_{ba}e^{iw_{0}t}$$let’s nail down
$C_{a}(t)$
exactly!!!!
Differentiate the second equation with respect to $t$:
$$\ddot{C}_{b}(t) = -\frac{i}{\hbar}H'_{ba}\Bigl(iw_{0}e^{iw_{0}t}C_{a}(t) + e^{iw_{0}t}\dot{C}_{a}(t)\Bigr) \\ \text{plug the first equation in for }\dot{C}_{a}(t)\text{!} \\ = iw_{0}\Bigl(-\frac{i}{\hbar}H'_{ba}e^{iw_{0}t}C_{a}(t)\Bigr) - \frac{i}{\hbar}H'_{ba}e^{iw_{0}t}\Bigl(-\frac{i}{\hbar}H'_{ab}e^{-iw_{0}t}C_{b}(t)\Bigr) \\ \text{the red piece is just }\dot{C}_{b}(t) = -\frac{i}{\hbar}C_{a}(t)H'_{ba}e^{iw_{0}t} \\ = iw_{0}\dot{C}_{b}(t) - \frac{i}{\hbar}H'_{ba}\Bigl(-\frac{i}{\hbar}H'_{ab}C_{b}(t)\Bigr) \\ = iw_{0}\dot{C}_{b}(t) - \frac{1}{\hbar^{2}}H'_{ba}H'_{ab}C_{b}(t) \\ = iw_{0}\dot{C}_{b}(t) - \frac{1}{\hbar^{2}}(H'_{ab})^{\dagger}H'_{ab}C_{b}(t) \\ = iw_{0}\dot{C}_{b}(t) - \frac{1}{\hbar^{2}}|H'_{ab}|^{2}C_{b}(t)$$$$\ddot{C}_{b}(t) = iw_{0}\dot{C}_{b}(t) - \frac{1}{\hbar^{2}}|H'_{ab}|^{2}C_{b}(t) \\ \ddot{C}_{b}(t) - iw_{0}\dot{C}_{b}(t) + \frac{1}{\hbar^{2}}|H'_{ab}|^{2}C_{b}(t) = 0 \\ \text{Boom — second-order linear ODE.} \\ \frac{|H'_{ab}|^{2}}{\hbar^{2}} \equiv \alpha^{2} \\ \ddot{C}_{b}(t) - iw_{0}\dot{C}_{b}(t) + \alpha^{2}C_{b}(t) = 0 \\ \text{Pulling out the linear-ODE playbook, let's crack this.} \\ D^{2}C_{b}(t) - iw_{0}DC_{b}(t) + \alpha^{2}C_{b}(t) = 0 \\ (D^{2} - iw_{0}D + \alpha^{2})C_{b}(t) = 0$$$$D = \frac{iw_{0} \pm \sqrt{-w_{0}^{2}-4\alpha^{2}}}{2} = \frac{iw_{0} \pm i\sqrt{w_{0}^{2}+4\alpha^{2}}}{2} = \frac{i}{2}\Bigl\{w_{0} \pm \sqrt{w_{0}^{2}+4\alpha^{2}}\Bigr\} \\ D_{1} = \frac{i}{2}\Bigl\{w_{0} + \sqrt{w_{0}^{2}+4\alpha^{2}}\Bigr\} \\ D_{2} = \frac{i}{2}\Bigl\{w_{0} - \sqrt{w_{0}^{2}+4\alpha^{2}}\Bigr\}$$$$\text{So }(D^{2} - iw_{0}D + \alpha^{2})C_{b}(t) = 0\text{ becomes} \\ \Bigl(D-\frac{i}{2}\bigl(w_{0}+\sqrt{w_{0}^{2}+4\alpha^{2}}\bigr)\Bigr)\Bigl(D-\frac{i}{2}\bigl(w_{0}-\sqrt{w_{0}^{2}+4\alpha^{2}}\bigr)\Bigr)C_{b}(t) = 0 \\ \text{which means} \\ \Bigl(D-\frac{i}{2}\bigl(w_{0}+\sqrt{w_{0}^{2}+4\alpha^{2}}\bigr)\Bigr)C_{b}(t) = 0\quad\text{is a solution} \\ \Bigl(D-\frac{i}{2}\bigl(w_{0}-\sqrt{w_{0}^{2}+4\alpha^{2}}\bigr)\Bigr)C_{b}(t) = 0\quad\text{is a solution} \\ C_{b}(t)_{1} = Ae^{\frac{i}{2}(w_{0}+\sqrt{w_{0}^{2}+4\alpha^{2}})t} \\ C_{b}(t)_{2} = Be^{\frac{i}{2}(w_{0}-\sqrt{w_{0}^{2}+4\alpha^{2}})t} \\ \text{So the general solution for }C_{b}(t)\text{ is} \\ C_{b}(t) = Ae^{\frac{i}{2}(w_{0}+\sqrt{w_{0}^{2}+4\alpha^{2}})t} + Be^{\frac{i}{2}(w_{0}-\sqrt{w_{0}^{2}+4\alpha^{2}})t} \\ C_{b}(0) = 0\text{ has to hold, so }A+B=0 \\ \therefore B = -A \\ \therefore C_{b}(t) = Ae^{\frac{i}{2}(w_{0}+\sqrt{w_{0}^{2}+4\alpha^{2}})t} - Ae^{\frac{i}{2}(w_{0}-\sqrt{w_{0}^{2}+4\alpha^{2}})t}$$$$\therefore C_{b}(t) = Ae^{i\frac{w_{0}}{2}t}\Bigl(e^{i\frac{1}{2}\sqrt{w_{0}^{2}+4\alpha^{2}}\,t} - e^{-i\frac{1}{2}\sqrt{w_{0}^{2}+4\alpha^{2}}\,t}\Bigr) \\ = Ae^{i\frac{w_{0}}{2}t}\Bigl(\frac{e^{i\frac{1}{2}\sqrt{w_{0}^{2}+4\alpha^{2}}\,t} - e^{-i\frac{1}{2}\sqrt{w_{0}^{2}+4\alpha^{2}}\,t}}{2i}\Bigr)2i \\ = 2iAe^{i\frac{w_{0}}{2}t}\sin\!\Bigl(\frac{\sqrt{w_{0}^{2}+4\alpha^{2}}}{2}t\Bigr)$$That’s
$C_{b}(t)$
locked in!!!!!!!
Now, differentiate that thing we just nailed down, and match it against
$$\dot{C}_{b}(t) = -\frac{i}{\hbar}C_{a}(t)H'_{ba}e^{iw_{0}t}$$.
$$C_{b}(t) = 2iAe^{i\frac{w_{0}}{2}t}\sin\!\Bigl(\frac{\sqrt{w_{0}^{2}+4\alpha^{2}}}{2}t\Bigr)\quad\text{differentiate} \\ \dot{C}_{b}(t) = 2iA\Biggl[i\frac{w_{0}}{2}e^{i\frac{w_{0}}{2}t}\sin\!\Bigl(\frac{\sqrt{w_{0}^{2}+4\alpha^{2}}}{2}t\Bigr) + e^{i\frac{w_{0}}{2}t}\cos\!\Bigl(\frac{\sqrt{w_{0}^{2}+4\alpha^{2}}}{2}t\Bigr)\Bigl(\frac{\sqrt{w_{0}^{2}+4\alpha^{2}}}{2}\Bigr)\Biggr] \\ = 2iAe^{i\frac{w_{0}}{2}t}\Biggl[i\frac{w_{0}}{2}\sin\!\Bigl(\frac{\sqrt{w_{0}^{2}+4\alpha^{2}}}{2}t\Bigr) + \frac{\sqrt{w_{0}^{2}+4\alpha^{2}}}{2}\cos\!\Bigl(\frac{\sqrt{w_{0}^{2}+4\alpha^{2}}}{2}t\Bigr)\Biggr]$$Set this guy equal to
$$\dot{C}_{b}(t) = -\frac{i}{\hbar}C_{a}(t)H'_{ba}e^{iw_{0}t}$$since both expressions are $\dot{C}_{b}(t)$,
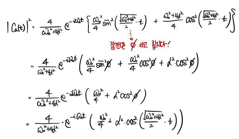
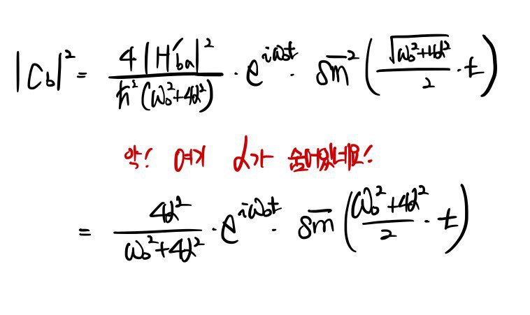
$$C_{a}(0) = 1\text{ has to hold}$$$$C_{a}(t) = \frac{2iAe^{i\frac{w_{0}}{2}t}}{-\frac{i}{\hbar}H'_{ba}e^{iw_{0}t}}\Biggl[i\frac{w_{0}}{2}\sin\!\Bigl(\frac{\sqrt{w_{0}^{2}+4\alpha^{2}}}{2}t\Bigr) + \frac{\sqrt{w_{0}^{2}+4\alpha^{2}}}{2}\cos\!\Bigl(\frac{\sqrt{w_{0}^{2}+4\alpha^{2}}}{2}t\Bigr)\Biggr] \\ = -A\frac{2\hbar}{H'_{ba}}e^{-i\frac{w_{0}}{2}t}\Biggl[i\frac{w_{0}}{2}\sin\!\Bigl(\frac{\sqrt{w_{0}^{2}+4\alpha^{2}}}{2}t\Bigr) + \frac{\sqrt{w_{0}^{2}+4\alpha^{2}}}{2}\cos\!\Bigl(\frac{\sqrt{w_{0}^{2}+4\alpha^{2}}}{2}t\Bigr)\Biggr]$$$$C_{a}(0) = 1\text{ has to hold} \\ 1 = -A\frac{2\hbar}{H'_{ba}}\Bigl(\frac{\sqrt{w_{0}^{2}+4\alpha^{2}}}{2}\Bigr) \\ \therefore A = -\frac{H'_{ba}}{\hbar\sqrt{w_{0}^{2}+4\alpha^{2}}}$$$$\text{So,} \\ C_{a}(t) = \frac{2}{\sqrt{w_{0}^{2}+4\alpha^{2}}}e^{-i\frac{w_{0}}{2}t}\Biggl[i\frac{w_{0}}{2}\sin\!\Bigl(\frac{\sqrt{w_{0}^{2}+4\alpha^{2}}}{2}t\Bigr) + \frac{\sqrt{w_{0}^{2}+4\alpha^{2}}}{2}\cos\!\Bigl(\frac{\sqrt{w_{0}^{2}+4\alpha^{2}}}{2}t\Bigr)\Biggr] \\ = e^{-i\frac{w_{0}}{2}t}\Biggl[\frac{iw_{0}}{\sqrt{w_{0}^{2}+4\alpha^{2}}}\sin\!\Bigl(\frac{\sqrt{w_{0}^{2}+4\alpha^{2}}}{2}t\Bigr) + \cos\!\Bigl(\frac{\sqrt{w_{0}^{2}+4\alpha^{2}}}{2}t\Bigr)\Biggr]$$$$C_{b}(t) = 2iAe^{i\frac{w_{0}}{2}t}\sin\!\Bigl(\frac{\sqrt{w_{0}^{2}+4\alpha^{2}}}{2}t\Bigr) \\ = -\frac{2iH'_{ba}}{\hbar\sqrt{w_{0}^{2}+4\alpha^{2}}}e^{i\frac{w_{0}}{2}t}\sin\!\Bigl(\frac{\sqrt{w_{0}^{2}+4\alpha^{2}}}{2}t\Bigr) \\ = \frac{2H'_{ba}}{i\hbar\sqrt{w_{0}^{2}+4\alpha^{2}}}e^{i\frac{w_{0}}{2}t}\sin\!\Bigl(\frac{\sqrt{w_{0}^{2}+4\alpha^{2}}}{2}t\Bigr)$$We’ve got $C_a(t)$ and $C_b(t)$ that satisfy the Schrödinger equation!!!!
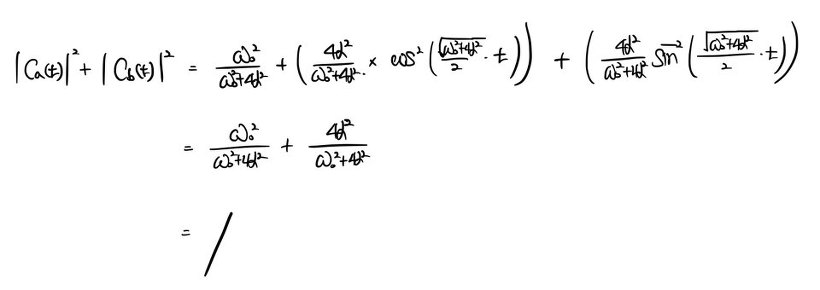
Now let’s actually check whether the sum of their squared magnitudes really is 1.



Originally written in Korean on my Naver blog (2015-12). Translated to English for gdpark.blog.