Fundamental Understanding of Special Relativity
A fun, casual breakdown of special relativity — from inertial frames and Maxwell's equations to why light always clocks in at c no matter where you are lololol.
The master of electromagnetism, Maxwell,
according to his Maxwell’s equations, “in any inertial frame, as long as it’s an inertial frame, the speed of light is c.”
So, when you do a physics experiment,
a place where you get the same results as in your physics textbook — that kind of place is called an inertial frame.
To put it a bit more rigorously, “a frame in which Newton’s laws of motion hold” is called an inertial frame!!!
As a representative example of where is NOT an inertial frame,
the inside of a car flooring the accelerator like crazy is not an inertial frame.
In a place that’s accelerating, objects that were sitting still aren’t supposed to move,
but inside a car flooring the accelerator like crazy, things that were sitting still suddenly fall,
and stuff you were eating spills, right??? Anyway
So, as a representative example of places that are different but the exact same inertial frame,
there’s my room where I’m just sitting st~~ill,
and there’s also a place that is the exact!!!~~ same inertial frame as that — “a place moving at constant velocity.”
Why is a place moving at constant velocity the same as a stationary room, you ask???????????????????
You’ve all ridden in a car or train moving at a constant~ speed, so you know that feeling, right???????????
So now, in your head, imagine that train or plane or car moving at constant velocity.
And in that imagination, using black spray paint or contact paper or something,
the windows, floor, ceiling ~~ just imagine you’re covering everything up so you can’t see the outside situation at all.
Did you cover it all up in your head?????
Now in that mental image, with everything painted black, sit right in the middle….
And I’m going to ask you a question.
“What could you look at to be sure whether the place you’re in right now is moving at constant velocity, or just sitting still?????”
Hahahahaha… physics is kind of like this, isn’t it lololol
Anyway lolololol
In a situation like that, there is nothing whatsoever by which you could tell them apart…. hehe
So now, the real special relativity begins~
In Maxwell’s equations, they say that in any inertial frame the speed of light is always c = 300000 km/s.
But, this is where it starts getting a little weird

okokokokok inside a spaceship moving at constant velocity, or us just standing here on the ground —
if we fire a laser and look at that light, both people will see it exactly the same way.
Right?!?!?! You’re sure of that?!?!?!?
And Maxwell’s equations still don’t have any contradiction yet.
Because we said that in any inertial frame, light would appear equally as c!!!!
But then!!!!!!!!!!!!!!!!!!!!!!!!!!!!

Mental breakdown~~~~~~~~~~~~~~~~~~~~
When person 1 looks at person 2’s laser, it must also appear as c!!!!
Because the place person 1 is in is an inertial frame,
and the light coming from person 2’s laser is still, somehow or other, light!!!!!
So that light must also appear at the speed of light c!!!
But isn’t that weird!!!!!!
If you throw a ball at 10 km/s from a train moving at 50 km/s,
it’s common sense for us that the person outside sees that ball as moving at 60 km/s!!!!
But we’re saying that light doesn’t work that way!!!!
A ball doesn’t, but light does????????????????
How can that be lolol that makes no sense lololol
OMG~~~~~~~~~~~~~~~~~~~~~
In that case,
does that mean Maxwell’s equations are wrong?!??!
Is the theoretical framework incomplete????
(To spoil things a little, if Maxwell’s equations were wrong, then “in any inertial frame the speed of light is c” would be a wrong statement,
and if not that, but rather Newtonian mechanics is wrong, then “velocity addition (Galilean transformation)” would be wrong ~ )
So it comes down to this.
It means that one of the two — Maxwell’s electromagnetism or Newton’s mechanics — is wrong.
The people who experimented on this were none other than Albert Michelson & Edward Morley (1887).
Actually, these gents weren’t exactly running an experiment to uncover that contradiction;
the experiment these gents did was actually an experiment to uncover a hypothetical substance called “ether.”
But, to cut to the conclusion, they did not find the hypothetical substance called “ether.”
The conclusion was “there is no ether.”
Ah…. should I explain ether a bit too???
I’ll just do it briefly.
A wave is energy being transmitted, and that wave, in fact —
that is, for energy to be transmitted, there has to be a “medium.”
For surface waves the medium is water,
for the sound waves we call sound, the medium is air particles,
and thermal energy measured as temperature also travels as a wave, and what mediates that is also air.
But, according to Maxwell’s equations, light also travels in the form of a wave, and we called that an electromagnetic wave, right??
So they were asking, what on earth is the medium that allows this light to propagate?
People —
first, since it’s a wave, there has to be a medium, but we don’t know it yet,
so they gave that yet-unknown medium the name “ether.”
And Michelson and Morley did their experiment to find that ether.

The Earth is orbiting around the sun like this,

and if we think, like the people of old, that there’s a hypothetical substance called “ether,”
these gents believed that the hypothetical substance ether formed a “rest frame,” and that light was mediated through it.
Then the Earth’s motion relative to the ether would be different from moment to moment,
and what this means is that when the Earth is at position 1 relative to the sun versus when it’s at position 2, the effect of the ether acts in the opposite direction.
So Michelson and Morley measured the speed of light when it was at position 1 and the speed of light when it was at position 2…
The result was….. no matter where in its orbit the Earth was, the speed of light was measured to be the same.
Please pay attention to “the speed of light was always measured to be the same.”
The reason I brought this up is —
Einstein never directly said so in his autobiography or any speech or anything,
but many scientists, asking why Einstein, all on his own, suddenly
made an assumption that seemed totally absurd at the time — “the speed of light is always constant at c, whether for a person in motion or a person at rest” —
the reason for that…… well, perhaps???? probably???
that 1887 experiment maybe had a little bit of an influence on him~~ is what they speculate, apparently.
That is, Einstein’s assumption probably didn’t just pop out for no reason whatsoever !!~~~?
There was probably some historical background behind it??????????????????????????? — hearing that, I found it kind of interesting.
Anyway!!!
At least for now, Maxwell’s equations aren’t wrong.
So then how on earth is that contradiction resolved?!?!?!
That’s exactly the SR (special relativity) Einstein published in 1905~, and
for now, slamming down the assumption that the speed of light is the same c in every inertial frame,
and adopting for the transformation between inertial frames not the Galilean transformation but “a different transformation” — let’s keep going with that.
Even if you don’t know what that means right now, you’ll clearly understand it later hehe
With this, the concept of simultaneity — Newton’s “absolute time” — gets broken,,,,
because according to Newtonian theory, events that happen simultaneously in one inertial frame have to be simultaneous in another inertial frame too.
The reason being, time flows the same in every inertial frame — it’s “abs!olute! time!”!!
What this means is,

if, in Newtonian theory… the kind of event above,
and here, such an event means, as in the picture, ‘inside a spaceship moving at constant velocity, light 1 coming from the left and light 2 coming from the right
set off simultaneously and reached the person in the middle simultaneously… that kind of thing,’
if a stationary person outside the spaceship looks at this event —
the content of Newtonian theory is that it should also appear simultaneous to the person outside.
But!!! with Einstein’s assumption “the speed of light is always c”
and the fact that both light beams appear at c, that means “light emitted simultaneously does not arrive simultaneously.”
Or, it means “the fact that they arrived simultaneously means they were light beams emitted with a time gap between them.”
This is what we mean by simultaneity being broken, and
now, at last, bit by bit,
the word “time” makes its appearance.
So now let’s describe it properly, putting in the time interval!! hehehe
Now I’m going to play with this picture a bit more numerically.

In this picture, say the person in the spaceship doesn’t shoot the laser forward,
but shoots it so that the light bounces up and down.
Then the light person 1 sees will be the black dotted line in the picture below,
and the light person 2 sees will be the red dotted line in the picture below.

Like this???? Now, this is seen by the clock of the person inside the spaceship — let me fill in some numbers based on time t.

Ta-da-da-dan~~~~~~~
Even without any special explanation, just by filling things in like this, you all get it, right?????

OK, so, if Einstein’s assumption is correct,
the person observing from inside the spaceship saw the black dotted line as light,
and since that was speed c,
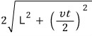
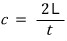
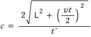
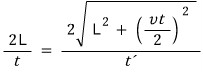
let’s say the time for light at speed c to travel a distance of 2L is t.
No wait, no — rather than putting it that way,
let’s take: the speed of the light that travels a distance 2L over time t is c.
And the person observing from the outside inertial frame also saw it at speed c,
and they say they observed it over time t'.

over time

the speed of the light traveling that distance was seen as c.
So if Einstein is right,
the former is

and the latter is

so

that’s what this says,
and according to the picture above,

this inequality is really, super obviously obvious.
Then
?????????????how strangely,

that’s what it’s saying?!??!?!?!?!?!!
Yes, that’s right.

Clearly for person 1 inside the spaceship
the time it took to go from smile to smile was t,
and for person 2 outside, they were clearly watching for t’!!!
And if we satisfy Einstein’s slammed-down assumption, “the speed of light is always c,”
we got the conclusion t < t’!!!!!!
Aaagh!!!!
Yes, so now we can say it like this.
Event: the event of the spaceship going from smile to smile
if the time you see that event in, riding on the spaceship, and
the time you see that event in, sitting on the ground, are different,
then those contradictions stop being contradictions
→ time dilation
This “time dilation” can also be interpreted differently.
It works if the distance from smile to smile seen by person 1 is (relatively) longer than the distance seen by person 2.
It works if the distance from smile to smile seen by person 2 is (relatively) shorter than the distance seen by person 1.
Or,
it’s resolved if the length of the spaceship as seen by person 2 is shorter than the length of the spaceship as seen by person 1.
→ Length contraction
For practice problems related to time dilation and length contraction,
I’ll just punt to “Modern physics as I studied it.”
http://gdpresent.blog.me/220456786974
![]()
Time dilation — relativity [ Modern physics as I studied it #1 ]
I took modern physics in the first semester of 2015, and Concept of Modern Physics (Beiser, 6ed.) was the textbook for the class…
gdpresent.blog.me
http://gdpresent.blog.me/220456927828
![]()
Length contraction — relativity [ Modern physics as I studied it #3 ]
At the very~~ first preview of relativity I said that time and “length” change, and the representative relativity topic…
gdpresent.blog.me
http://gdpresent.blog.me/220457012346
![]()
Twin paradox — relativity [ Modern physics as I studied it #4 ]
In the “time dilation” post I left off with this question….. the reason I left off was, length…
gdpresent.blog.me
http://gdpresent.blog.me/220457496946
![]()
Relativistic mass, relativistic momentum, relativistic energy [ Modern physics as I studied it #5 ]
To spoil a bit of what I’ll cover here, we’ll be looking at “relative changes in mass.” Huh!!!!! Mass is…
gdpresent.blog.me
Actually, let me confess here —
what I was mainly going to cover in this special relativity series was actually………….
“a non-Euclidean geometric approach”…hehehehehe
So I’ll leave the basics here,
and in the next post I’ll try the non-Euclidean geometric approach! See you next time lololol
Originally written in Korean on my Naver blog (2017-02). Translated to English for gdpark.blog.