Spacetime and Lorentz Invariance
A casual dive into four-vectors and spacetime — why we need (t, x, y, z) once Einstein smashes simultaneity and each inertial frame gets its own time!
At the end of the previous posting
I said we’d take a non-Euclidean geometry approach, right?????
Yep, we will do it, but…
Let me stack up a little more knowledge first!!!!
As you’ll know once you’ve studied relativity, unlike how we’ve always written things in physics class,
instead of using a 3-vector in 3D spatial coordinates,
we use this very strange vector called a four-vector.
Hmm….. now I’m going to talk a bit about four-vectors.
So, that series of intuitive things we covered before — how is it described mathematically(?), or should I say,
let’s take a look at how it’s described mathematically!
First, in Newtonian mechanics, when we want to represent something,
we set up a 3D Cartesian coordinate system (rectangular coordinate system) and express everything from there.
Based on position, like (x, y, z).
But now, in this mechanics that overturns Newtonian mechanics, if we want to describe motion, of course we still need (x, y, z) for position,
but now, one more thing —
we also have to consider ’time’ t, so we have to express it as (t, x, y, z).
The reason Newtonian mechanics described motion without considering t is
that in Newtonian mechanics, ‘simultaneity’ holds, as was mentioned earlier?!??!!?

(Aaaah, 2 and 3 are in ‘uniform-velocity’ motion ^^
Please also keep in mind that special relativity is called “special” relativity because it specifically handles only ‘uniform velocity’!)
Whether observer 1 watches this strange ‘phenomenon’, or 2 watches it, or 3 watches it,
since ‘absolute time’ reigns either way, simultaneity holds, and so there was no need to add t and complicate things.
Only position mattered.
But according to Einstein’s intuition,
since simultaneity has been broken, we need to introduce a separate time for ’each inertial frame’!!!
So now the four-vector makes its appearance,
and so now,
the coordinates as 1 sees them are

The coordinates as 2 sees them are

The coordinates as 3 sees them are

Something like that — we have to view each one separately. And the space needed to represent those coordinates is called ‘spacetime’!
So then, the thing we’ve always dealt with, what we called real space —
you know, this kind of thing,

we have to take this real space and stick a time t axis in there too and represent it,
but it can’t be drawn on paper T_T T_T T_T T_T T_T T_T T_T T_T.
So for now, let’s insert 1D space and the time t axis, and finally see what this spacetime we’ve only heard about actually is!!!!
Spacetime!!! What on earth is it!!!!!!

Ta-daaa~~~~~~~~~~~~~~~~~~~~~~
Super ridiculous, right……? Yeah, I was too.
This is spacetime lolololololololololololololololololololololololololololololololololol
So first, let me say what that dot plotted on the coordinates is —
it’s an ’event’.
For instance, let me represent the event ‘GD park’s birth’ as a point.

You can plot a point like this. I was born in Seoul, so I put Seoul as the subscript lolololololol
Now let me draw a line.
Right after coming out of mom’s belly, I must have stayed still for a while, right????
Let me show that idea.

You can just draw a line from there, like this !!!???
Then for a moving particle, just
let me draw one any old way.

I drew it as if it moves around here and there.
Just a continuous…… line…… of events. You can draw it any way you like~~~ hehe.
Anyway, we’ve now interpreted the meaning of a straight line and an arbitrary line.
Now, to give that green line its name, a ’line’ in spacetime is called a world line.
You could also say it represents a particle’s position as a function of time.
Alright, then before moving on, one more thing!
When drawing a spacetime diagram, we actually don’t put t on the time axis.
I just put t for the sake of explanation earlier, but originally we put ct. (c: speed of light)

If we draw it like this and look at it,
time and space have become the same dimension!!!!
c: [m/s], and
t: [s], so
ct: [m] — that’s what I was getting at.
Alright, now let’s revisit what we covered broadly in the last post, and express it again in our own language.
What we’re going to do is

The picture is a bit crooked, sorry — hope you’ll understand!!!
Okay, let’s start!
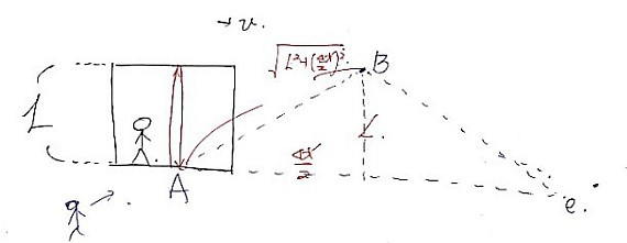
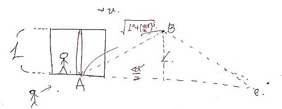
Let’s say there’s a spaceship moving at uniform velocity v, and inside, due to mirrors attached top and bottom, there’s an ’event’ of light being reflected.
Let me define those events!!!
Event A: light departs from the bottom mirror
Event B: light reflects off the top mirror
Event C: light arrives at the bottom mirror
If we plot those events in our spacetime,

the points will be plotted like this?????
Oh, and for now, to mean “with respect to the hyooman inside the spaceship~”, I’ll write it as (t, x, y, z).

In this picture, I mean we’ll be looking at the thing drawn in red, going up and down at A inside the spaceship.
Then what does the world line look like?!?!
It’ll probably look like this.

If you think about it, on the coordinate axes above, a slope of 45°
— that is, saying the slope is 1 —

means that the ‘speed of light c’ corresponds exactly to ‘slope = 1’!!!!
So drawing it at 45° as above is totally valid!
Now, the thing we need to focus on here is “from event A to event C”.
We’re going to look at how each coordinate value changes between those events.
(Keep in mind, this is from the perspective of the person inside the spaceship.)
Then Δx = 0, Δy = 0, Δz = 0.
Because we came back to the original position!
Then what about time?????????????
At least Δ(ct) ≠ 0, right????
Let me think.
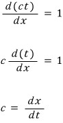
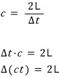
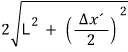
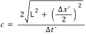
For some time Δt, light went back and forth a distance of 2L at speed c, so

Yep yep, k.
Now let’s look at it from the perspective of someone in the inertial frame outside the spaceship, who sees the spaceship flying at uniform velocity v.
From now on, the coordinates will be written (t’, x’, y’, z’).

I mean here we’ll be looking at the thing drawn with the blue dotted line.
Then each event is
here, here, and here (sorry lolololololololololololol)
Looking first at Δx’, Δy’, Δz’ between event A and event C —
Δy’ and Δz’ are zero —
but Δx’ actually has something to it.
Δx’ is the spaceship’s velocity v viewed over Δt’, so
Δx’ = vΔt’,
and Δt’ has to be expressed using the speed of light!!
By the Pythagorean theorem,

this is the distance that the light traveled at speed c, right???
<We’re still carrying along Einstein’s weird assumption that this guy in the inertial frame also sees the light traveling at speed c.>
Then

so

Now somewhat out of the blue,

and

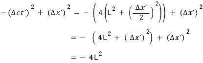
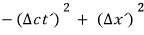
— let me look at the difference between these two numerically… that is, let me look at this minus that —

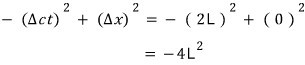
For the inertial frame inside the spaceship as well, the same quantity —

and

— looking at the difference between these —

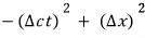
What we just looked at is this:
in this inertial frame, the value of

and, for the same events viewed from the other inertial frame, the value of

— we saw that these two were equal to each other.
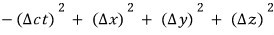
If we generalize this to higher dimensions,

and

— these are equal to each other, that’s the thing, see~?
Alright!!! From now on, this quantity

will be what we call it,
and since it doesn’t change across inertial frames, we’ll call this quantity ‘Lorentz invariance’!!!
We’ll cover this in more detail later, but
what is this similar to?
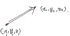
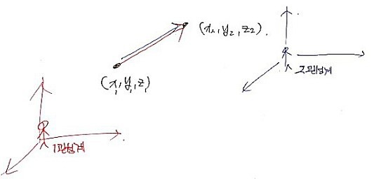
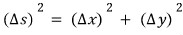
Let’s think about real space in classical physics, before special relativity.
Given some real space with

a vector like this,
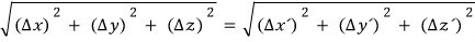
the distance between these two points —
in whichever inertial frame you view it ~~

whether you measure the distance between two points in frame 1, or in frame 2,
the distance between the two points is

— it was the same, right?????
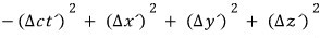
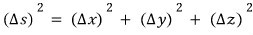
But in spacetime, which also takes time into account, between

this point and

— it’s not that, as with the vector above, the sum of squares of each change is equal, but rather

this is the relation in which they’re equal~~,
and in connection with this,
in spacetime, the equation that links the perspective of frame 1 and frame 2 to each other
isn’t the Galilean one from classical physics that connects the two,
(under a Galilean transformation changing the inertial frame, the distance between two points didn’t change,)
but rather it follows a Lorentz Transformation,
and what remains unchanged under the Lorentz transformation isn’t the sum of all the changes staying the same — rather,
it’s that quantity called the Lorentz invariance that stays the same!!
For now, well, understanding it at even this level is probably as good as it gets….T.T
And let me add just a little more comment and wrap up.
The relation between two points in spatial coordinates that’s unchanged under the Galilean transformation:

This relation is a feature of Euclidean geometry.
The relation between two points in spacetime coordinates that’s unchanged under the Lorentz transformation:

This one isn’t Euclidean geometry — we’ll call it non-Euclidean geometry.
As for non-Euclidean geometry —
I don’t really know what it is, so for now it just means “not Euclidean geometry”,
and actually, that mysterious geometry will only be given the meaning of ‘flat spacetime’ once we get to general relativity,
but that isn’t the goal of this special relativity series.
Now, I really want to just keep going straight from here and
do all of special relativity using hyperbolic geometry and be done with it,
but the scroll bar is already this tiny……T_T T_T
I’ll cut it here.
From the next post onward, it really gets fun!!!!!!!!!!!!!!!!!!!!!!!!!!!
Alright, below I’ll just solve a simple example and wrap up.
What we need to keep in mind from now on is
not to confuse the spacetime we drew above
with the actual space we’ve been dealing with all along — here’s a simple example related to that.
On a 2D real-space plane,
the set of points at equal distance from a single point was a ‘circle’.

This thing.
Then what about in spacetime?????
Before that, let’s solve a simple problem.

a) In triangle ABC, which segment is the longest? Which segment is the shortest?

b) Among the paths between A and C, which is the shortest?
Going straight from A to C: 4
Going from A to B then to C: 5 + 3 = 8

Answer the same questions..

b)
The shortest path is A’ → B’ → C’: zero — that’s the shortest path,
and this is exactly what we’ll learn right after — that the path A’ → C’ is the longest path among any paths.
See you in the next post!
Originally written in Korean on my Naver blog (2017-04). Translated to English for gdpark.blog.