Timelike, Spacelike, and Null Intervals
Picking up right where we cut off last time — we finally classify spacetime intervals as timelike, spacelike, or null, and yes, hyperbolas make a comeback!
Hmm… actually when I was writing this I hadn’t planned to cut it off, but in the last post I just cut it off out of nowhere
So….. I’ll copy-paste a tiny bit from the previous post and carry the logic forward!!!!
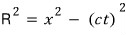
The relation between two points that is invariant under Lorentz transformation in the spacetime coordinates:

This isn’t Euclidean geometry, let’s call it non-Euclidean geometry
Non-Euclidean geometry is
we don’t know what it is, so for now it just means not-Euclidean geometry,
and actually that unknown geometry is said to get the meaning of ‘flat spacetime’ once we get to general relativity,
but that’s not the goal of our special relativity special here.
From now on what we have to keep in mind is
we must not confuse the spacetime we drew above
with the actual space we’ve been dealing with up till now,
in a 2D actual-space plane
the set of points at the same distance from a single point was a ‘circle.’
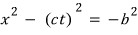
So here in spacetime, I’ll write down the locus of points (events) that are the same distance (interval) from the origin
Let me try writing it as R for the same distance

It’s a hyperbola…T_T
We learned this in high school Math II…. a hyperbola…T_T
(Yeah. I’m the Math II generation. Don’t mess with me lolololololololololololololololololol)
So to give a few examples
the set of points of events whose interval from O equals a
that is,

can be drawn on spacetime like this.

But since in spacetime the interval can also be negative because of -(ct)
we can also draw something like this, for instance.


The slope of the asymptote is 1, and please also keep in mind that slope = 1 meant the speed of light c
So the square of the interval can come out negative, and it can come out positive,
let me throw out a classification of this first.

In Korean translation they’re called spatial-component-separated, temporal-component-separated,
and it gives you a rough feel for why these terms are used
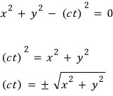
Now what we should pay attention to here is the null separated region.
Let me just go ahead and draw the null separated region first.

Since it’s the part where


Let me draw it with the y-axis added too.

Just the traces swept out by two straight lines rotating
that is, you can easily see that it becomes a ‘cone’!!!

And this cone is apparently called a light cone (or null cone)
Why?!
Because those surfaces of the cone are the ‘world line of light’……hehe
Alright then

if we say there’s some point P in spacetime (you see P right there in the middle??????)
any point P has one light cone (just like in the figure above)
And if we graft on the concepts we learned before
the timelike separated points from point P are on the inside of the cone
spacelike separated points are on the outside of the cone
and riding along the surface of this cone we could call the ‘path of light’
And also,

these points were the points that form the surface of the cone, and the path along the cone surface is light?????
Yes, so the path of light has interval = 0.
So what we can know from this is
that moving at the speed of light means moving along the surface of the cone
and moving slower than the speed of light is

moving along the inside of the cone surface, the timelike separated region
and moving faster than the speed of light is

moving along the space outside the cone surface, the spacelike separated region.
To make clearer what the above statement is saying right now
let me draw a picture and take a look!!!!!

(Sorry that the cone in the picture is drawn roughly.. I drew the ’light cone’ at each point. I’ll call the left picture (a) and the right picture (b))
(a): the path of light must have all the points along its trajectory tangent to the cone.
(b): the world line of an object slower than light must have all its points below the light-cone surface.
Picture….. you get why I inserted the picture at this timing right??!~hehehe
And there’s a picture I missed the timing on and couldn’t put in above
I’ll just insert one more picture right now!!!hehehe

And that space now lets us define ‘causality.’
If you mark two events in a timelike separated regoin, it lets you know which event happened first
meaning you can know the before-and-after relation of events.
But in the spacelike separated region, causality doesn’t hold…..
The reality of such a spacelike world line….. they’ve given it the name of a hypothetical particle called tachyon
and left open the possibility of a particle faster than light, but apparently it hasn’t been observed yet~
Since this part is not the subject of our discussion
I think it’s better to go past it with an ‘Ahh~~ so that tachyon thing I’ve heard about so much was referring to this~’
(Currently the ultimate speed of the natural world is said to be the speed of light.)
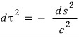
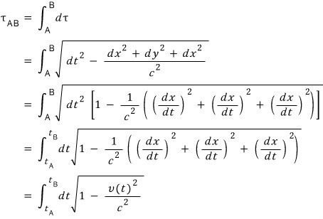
Let me tidy up one more thing, proper time, before moving on.
Proper time: a concept for measuring distance along a particle’s world line
A particle will construct its world line in the timelike separated region
and we just need to measure time in that region, and by definition proper time is written as τ (tau)
and the definition of the infinitesimal tau is

To put it a bit more simply
how should you think of proper time—for example in the case of μ (the muon), if you measure the lifetime it’s measured as 2.2μs,
but if you look at the muon from Earth it gets measured as about 64μs
that means the muon is an incredibly fast particle so there’s a discrepancy between the time measured on Earth and the muon’s speed…
so out of the two times, which time is the more proper time?
The answer is that ’the time when you climb on the muon and look at the clock’ is the proper time,
and actually for lifetime too, they said let’s call the proper time the lifetime!!!!!!!!!!!!
and apparently that’s why in particle physics they use the term lifetime!!!!!!!!!!

For two points A, B on a world line in timelike separated
proper time between the two points: τ_ab

When you do this, what it’s saying is—if the velocity is 0, that root term there just vanishes
so the proper time works out commonsensically,
but when the velocity isn’t 0, a discrepancy of that root term’s amount occurs!!!!
that is, the proper time

becomes shorter than
(simply put, when you’re riding on it time flows more slowly)
Then now using this concept let’s think about the twin paradox once
The twin paradox story—everybody knows it right?!?! ( http://gdpresent.blog.me/220457012346)
![]()
Twin paradox - theory of relativity [ Modern Physics That I’ve Studied #4 ]
In the ’time dilation’ posting I left off with this question at the end…. the reason I left off was because of length…
gdpresent.blog.me
There are some twins
Twin 1 and Twin 2, and Twin 2 goes on a space trip in a spaceship.
Then according to our special relativity, moving objects have their time flow relatively slower, so
when Twin 2 comes back to Earth after a 1-year space trip in Twin 2’s time
Twin 2 clearly has been on a 1-year space trip,
but Twin 1 has had 30 years pass on Earth…. so the two are no longer twins…..(this was also the subject matter in the movie Interstellar)
But here, the paradox that arises is
from Twin 2’s standpoint, looking at Twin 1
“hey I’m stationary right now, you’re the one who’s moving in the opposite direction”
“that is, the one whose time will flow slower is not me but you!!!!!” — they can also say this
that… isn’t it symmetrical~~~~ this contradiction arose…
So how should we explain this
first there’s Twin 1 and Twin 2,
Twin 2 said they’d go on a space trip, and 1 stayed on Earth.
Let me look at Twin 1 and 2’s world lines
First Twin 1’s world line will be like this.

But Twin 2’s world line as seen from that frame is

Because the two of them traveled along different world lines
they aren’t symmetric to each other. This is said to resolve the paradox
The statement that the times recorded by the clocks each carries are different from each other!
And as we can see here too, in the end time being different means

is what it’s saying,
which is saying the length of the black line segment and the length of the red line segment are different.
What this is saying is
even special relativity, “doesn’t necessarily only hold when acceleration = 0”
that misunderstanding is probably one that arose because of ’the definition of an inertial frame,’ making people think it doesn’t hold during accelerated motion
but apparently you shouldn’t keep this proposition stuck in your head
Because examples of accelerated motion explainable by special relativity keep popping up…?
Now the scroll has gotten thiiiis~~~ long again~
The content that’s left after this
I’ll do all at once in the next posting!!!
Let me cut it off once here~~~~

Originally written in Korean on my Naver blog (2017-05). Translated to English for gdpark.blog.