Hyperbolic Geometry and Non-Euclidean Geometry
We jump straight into Lorentz transformations and spacetime diagrams, playing with inertial frames and Einstein's brain-smashing assumption that light always travels at c!
Now then, let’s jump straight into the Lorentz Transformation.
The basic understanding of Transformation, fundamentally, is

that’s how you can think of it,
for an easy example, the transformation for a rotation of coordinate axes is

Point O goes " Hey!!! The coordinates of point P over there are, ‘from my perspective’, (x, y)!!!!^^ "
But then, a different coordinate system O’ that’s slightly rotated from point O shows up and goes
" Hold on~~~~~~ from my perspective it’s (x’, y’) though?!??! "
And then, as the con!nec!tion between the two, we made this kind of equation

So now we’re gonna play around in spacetime!!!!!!
Giggi-taeng!!!!!

Here we have an inertial frame, and we’re going to express another inertial frame in this inertial frame!!!
Let’s insert ct’, the time axis of the O’ inertial frame that moves at constant velocity v.
As for how to think about ct’, you can think of it as drawing the trajectory of x’ = 0.
That is, a spaceship is flying in the x direction at velocity v,
and if you trace along its tail end, x’ = 0
that will be the O’ as seen by O!!!!!

Well, I’m saying it’ll be drawn something like this!!!!!
So we set up the ct’ axis like this, and now we have to set up the x’ axis,,,,,
how do we insert this!!!
You have to draw it using the speed of light c
The O’ inertial frame’s light, as seen from the O inertial frame,
has to also be seen at the speed c — that http://gdpresent.blog.me/220946265097 which was introduced here
that Einstein assumption that seemed absurd and that smashed our brains!!!
![]()
Basic Understanding of Special Relativity [ Special Relativity Special #2 ]
Maxwell, the master of electromagnetism — according to his Maxwell’s equations, ‘in any inertial frame, if it’s an inertial frame, the speed of light is c.’ …
gdpresent.blog.me
The speed of light was expressed as a 45-degree straight line in spacetime!!!
If we shoot light at time -a, it reflects off a mirror at x=a,
and the light arrives back at t=a — if we represent that event in spacetime

this is how it was drawn, right.
Now, “a person inside a flying spaceship is shooting light at a mirror that is at distance = a inside the spaceship — that scene” is what inertial frame O is watching.
I scribbled out the process of drawing in the frame of O’ that moves with constant velocity v in the spacetime above!!!




Alright so now, at velocity v —
ahhhh no, more strictly,
we’re now able to indicate on the inertial frame O a frame that moves at relative velocity v.
So now we should slowly head toward the Lorentz Transformation,
but first let’s take a look at the tick marks of the inertial frame O’ as indicated on inertial frame O.
Let’s look at drawing the tick marks!!!!

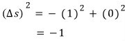
First let’s mark a dot at the place where ct = 1
And instead of calling it distance, I’ll check the interval
The interval up to this point is

this.
Now, let’s look at all points in this spacetime where the interval is -1!!!


And let me draw in here the spacetime of a frame moving at velocity v.

Then, in this spacetime, the place where the ct’ axis has interval -1 will be that blue dot over there.
As for coordinate axis transformations, Lorentz invariance being preserved is of course a given~
Ah okay, so I get what the tick-mark drawing is discussing
Now what we’re discussing is probably….
the start of the Lorentz transformation.

Some event P
is (ct, x) with respect to the inertial frame O,
but in the O’ inertial frame which has coordinates ct’ - x’???
it should be indicated with those ct’, x’ up there.
As for how we can now move this over there…
To do that, we first have to know the “hyperbola” better.
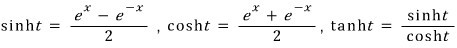
Let me briefly summarize the hyperbolic functions.
Not hyperbolas but hyperbolic functions — the hyperbolics — is what you need to know!!!!
For the details you’ll have to look at a general math textbook!!!
First, hyperbolic functions

are defined like this!!!
This is something even high schoolers know
But the reason these are called ‘hyperbolic functions’, as if named after hyperbolas, is —
it’s also in Boas’s mathematical physics textbook, but,
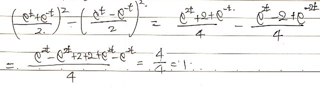
just as trig functions have cos^2 + sin^2 = 1,
here, the hyperbolic functions have this defining identity.

Checking the computation directly isn’t hard
you just plug in and compute

Now here’s the thing.
If we bring in a parameter t,
and represent points this way, it actually means we can also draw x^2 - y^2 = 1 like this, you know?!

But here
what even is the parameter t….?

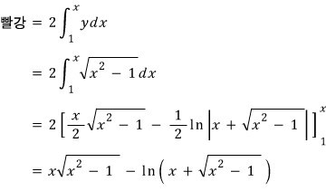
It’s precisely ’this much area’ that is the parameter t.
Let me check it.

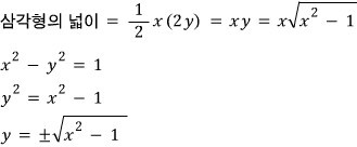
The area of the entire triangle here is

this.
Now I’ll compute the area of the part inside there colored in red!!!!

Therefore, the area of the blue part that we called t is

Then let me mess around with the equation!!!!

yo!!!!!!!!!!!!!!!!!!!!!!singi-bangi dongbang-singi!!!!!!!!!!!!!!!!!!!!!!
y can also be confirmed!!!!

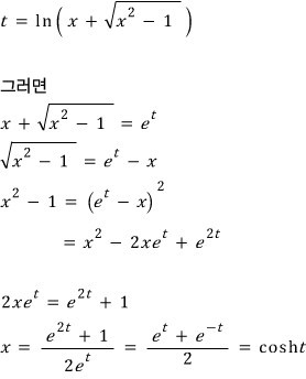
So on the unit hyperbola,
at the (cosht, sinht) point right now, the fact that the area drawn in that picture is

— that this kind of picture gets drawn — should now make sense to you.
But, we can discuss this not area-style
but angle-style, so I’ll talk about hyperbolas a tiny bit more!!!!
The conclusion is

that we can call the angle here t and give it the name ‘hyperbolic angle’!!!!!
I’ll confirm briefly.
On the ‘unit circle’

the area of the arc here was (1/2)*θ.
But, half of the angle was the area!?!?!?!
We were on the unit hyperbola just now, right.
Let’s think about it similarly.

I’m saying, let’s call the ‘angle of the half-slice of the unit hyperbola’ whose area is (1/2)Φ the hyperbolic angle Φ
So now, simply put,

if we have this like this,
by expressing the angle as above, we can express the coordinates on the hyperbola as above!!!!!!!
<This hyperbola has interval : -1, but by the discussion we just had, it doesn’t seem much different from the discussion with interval : 1, and
what we’re now dealing with in spacetime,,, is that the place we live in is the timelike separated regime, so I made this leap T_T T_T T_T>
And now
I’ll organize just one more real concept, and then for real
we’ll go to the Lorentz transformation!!!
Let me just briefly touch on one thing!!!!!

Alright, I drew two spacetimes here,
and the ct axis and the x axis seem to be perpendicular to each other
Right?
But, are the ct’ axis and x’ perpendicular to each other?????????
Huh??????????????You want to kill me?????????????????
Me?lollollollollollollollollollollollol
lollollollollollollollollollol
Sorry lolol
Anyway the answer is….
sadly, they’re perpendicular…T_T T_T T_T

You can’t say that~ “because it’s not, they’re not perpendicular.”
Because here it’s non-Euclidean geometry in spacetime that rules T_T
So we probably have to redefine what perpendicular means.
First of all, as you can see

the two blue points up here are not simultaneous with respect to ct,
but with respect to ct’ they are simultaneous.
So the new definition of perpendicular would be —
we could say that things perpendicular to “some time line” are ‘simultaneous events.’ right?
Then a new definition of parallel would seem to follow as well.
‘Different simultaneous events on some time line are parallel to each other.
Originally written in Korean on my Naver blog (2017-05). Translated to English for gdpark.blog.