Time Dilation and Length Contraction
Using spacetime's weird geometry — and a Pythagorean theorem I totally named myself lol — to show why time dilates and lengths contract when you're moving fast.
Picking right up, I’m going to use this weird geometry to explain things like time dilation and length contraction.

Human 2 took a trip on a spaceship at relative velocity v.
And at time t_1, Human 2
yelled “Yo!!”
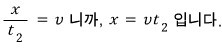
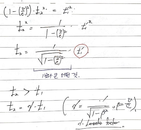
At that moment, how much time had passed for Human 2?

Now I’m going to use the non-Euclidean Pythagorean theorem in spacetime.
I named it myself lolololololololol


This is just because I intentionally drew the ct axis to look like 90 degrees,

but even if you draw the two coordinate axes in this crappy way,
the same thing applies!!!!!
Of course in this picture, ct and x would be perpendicular though.
Let’s look at Lorentz contraction too.
Here, length means “the distance between two particles.”
We’re going to measure the distance between two particles with relative velocity 0,
and the distance between two particles with relative velocity v,
and here “between two particles” means “the distance between events that are simultaneous.”

The distance between two particles with relative velocity 0 is just
x_1 - x_0, that’ll do,
but between two particles moving at relative velocity v,
you’d have to measure L_star…..
So the relationship between L and L-star would be

this, probably!

If we mash this relationship together a bit,

Originally written in Korean on my Naver blog (2017-05). Translated to English for gdpark.blog.