Four-Vectors
Closing out the special-relativity series with a look at four-vectors — their notation, basis vectors, and how spacetime intervals set them apart from plain 3D vectors!
This will be the last post of the special-relativity series!!!!
A four-vector is a 4-dimensional spacetime vector distinct from a 3-dimensional vector!!!
Let’s study it gogogogogogogogogogo
First, let’s lay down that addition and subtraction of vectors can be used just like the 3-dimensional vectors we’ve been using all along.
The point where 3-dimensional vectors and 4-dimensional vectors are specially distinguished is
the “spacetime distance” that’s been emphasized over and over before
you know, that thing that was stressed as the interval!!??!
So first, when we plotted vectors on spacetime, there was also a separation of regions, right.
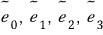
For the component notation of the four-vector,
just like how we’ve been handling vectors in 3 dimensions,

people say they denote it like this.
Hmm… they stick the newly added t term right at the very front????
And besides writing it out as a row/column like that,
there’s also expressing it as a linear combination with basis vectors
For instance, when expressing the vector (3, 5, 7) as

like this,
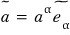
for the 4-dimensional four vector, those basis vectors are

like this
we draw a tilde on top of e along with a subscript.
Well, the notation of the four-vector will differ from book to book, but anyway, I can understand it’s to explicitly show that it’s not a 3-dimensional vector but a 4-dimensional vector.
But then later, since even writing t, x, y, z is a pain,
and also to make it convenient when writing the sigma sum,

they use this more often.
Since we talked about basis vectors, this time let’s talk about components
In (t, x, y, z), standing in for the positions here, we write

or

is what they use, apparently.
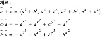
And so,

Einstein, really… isn’t he too much???? lollollollollollollollollollollollollollollolhow much of a hassle could it possibly be???lollollollollol
“Hey dude!!! α obviously goes from 0 to 3, right??? please just think of it this way…T_T T_T T_T”
He grandly named this Einstein’s summation convention
and apparently satisfied his…. that…. desire to not do the tedious stuff…..
But we have to understand this, because when using special relativity or general relativity,
the sigma sum really really really got used a whole lot………
Oh, and just for reference, that subscript (α above) which says ‘please sum’
is called the “dummy indexes”, just to note that too.//…hehe
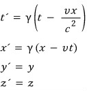
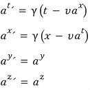
Then

this vector,
when viewed from a frame moving with velocity v (in the x direction),
all we need to do is slap on the Lorentz transformation we studied before, right?????

Okay okay okay okay but, now we, we too, let’s get rid of c.
We set c=1 and just toss it away.
We’re properly switching into what’s called the ML unit system
What this is, is that the unit system we’ve been using is called the MLT (mass-length-time) unit system,
and since we got rid of t, it becomes the ML unit system, that’s all.
I touched on it slightly before,
but by setting c=1, actually 1 second disappears.
In ct, the 1 second is the left-hand side,
so by setting c=1, c
saying 1 second in ct is the same as saying t=1 under the setting c=1, so

in other words, t=1 is no longer 1 second of time, but ends up meaning that much of a length.

Ah, above I should’ve put subscripts on a like this,,,,hehehehe
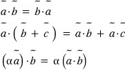
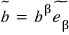
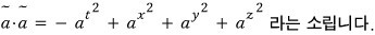
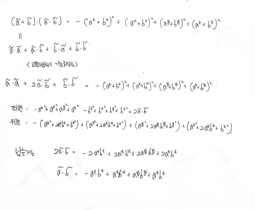
Then now let’s look at the dot product of vectors!!!
The 4-dimensional four vector, like the 3-dimensional vector,
satisfies commutativity and distributivity with respect to the dot product!!!

Because these basic laws hold,

and

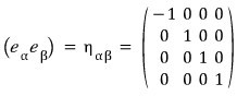
if we write out the dot product of two vectors

we’re saying it can be written like this, and here

writing it like this, we call it the “metric tensor”
More precisely, ’the metric tensor in flat spacetime’ or ’the metric tensor in Minkowski spacetime'
But actually, this is something we already know.
Was it pretty much at the very beginning??
In classical mechanics, time is absolute so we set it aside.
And in real space, if there’s some vector, the ‘magnitude’ of that vector had to be the same no matter which frame you used as the standard.
So we called this ‘proper’ length the proper length, and wrote

like this,
but here in special relativity, a certain proper Lorentz invariance that doesn’t change even under ‘Lorentz transformations (the viewpoint of switching the standard inertial frame)’ becomes

and this is the interval in spacetime!
But, if there’s a vector like

this, the distance from the origin
that is, the length of the vector should be that Lorentz invariance that doesn’t change in any inertial frame, right?

So, the dot product with its own itself must be a Lorentz invariance!!!!!!
That is,

since this is so,

Huh, then what about the dot product with something else?
Let’s try deriving it via the dot product of a + b with itself


But just now,

we said this, right???
Ah, then

the fact that it’s determined like this — now
that eta guy called the metric tensor is what determines it, that’s what it was all saying!!!!!!!!!!!!!!!!!!!!!!!!!!!

If we write it like this, it’s solved!!!hehe
Ex. 5.2
Now that we’ve learned the dot product,
the thing that felt vague and hand-wavy,

let’s check once via the dot product that the t’ axis and x’ axis are perpendicular to each other.
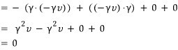
The t’ axis and x’ axis, as coordinate components of (t’, x’, y’, z’), can be written as (1, 0, 0, 0) & (0, 1, 0, 0) respectively,
so from their standpoint, taking the dot product of the two vectors
= - (1×0) + (0×1) + (0×0) + (0×0) = 0
the dot product does come out to 0,
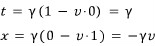
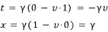
but now, the t’ axis and x’ axis as seen from the t-x coordinate system,
applying the Lorentz transformation
first transforming (1, 0, 0, 0) gives

this,
and I left out y and z..T_T
And transforming (0, 1, 0, 0) gives

this.
Taking the dot product of these two

it really does come out to zero…. weeeird….
If we think about the physics we learn in high-school physics class
when we express the position of some object

we expressed the position of some object using (absolute) time like this,
but here there’s no more absolute time,
and it’s a matter of how to express the world line….

let’s say there’s a world line like this.
How do we express this world line….

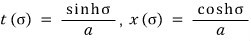
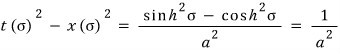
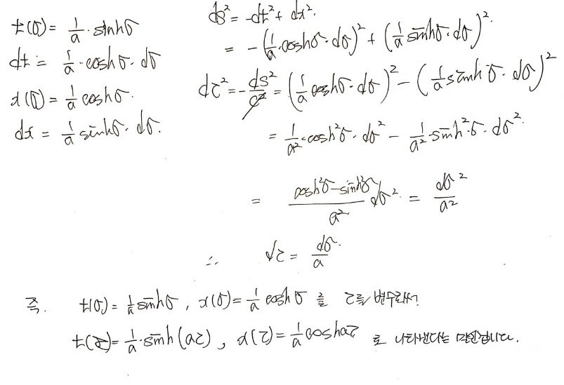
we express it in terms of some other variable, and generally they say you express the variable as the proper time (τ)!
So the idea is to find the relationship between σ and τ and express it again in terms of tau
For instance

let’s say this.
Then if we link the relationship between t and x using σ,

but what it means to re-express using τ is,

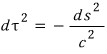
when you think about this relationship, since here c=1,
it means we express it by the proper distance, the Lorentz invariance!!!
That is, if we draw out the infinitesimal Lorentz invariance for the above hyperbola

The reason I went and made this simple story so complicated
is because velocity as a four-vector is…
that is, from four velocity onward, I guess I’ll have to cut it off again T_T T_T T_T T_T T_T T_T
It’s super long………phew……………..
Originally written in Korean on my Naver blog (2017-05). Translated to English for gdpark.blog.