Stirling's Formula and Stirling's Approximation
A physics student dives into proving Stirling's formula from scratch using the Gamma function — a key tool for the Thermal & Statistical Mechanics journey ahead.

Finally! I got into the physics department, and now that I’m in the 2nd semester of my 3rd year, I’m taking Thermal & Statistical Mechanics!
Statistical mechanics, a field just as tantalizing as quantum mechanics!!!
For some reason I really want to do well at it….
Maybe it’s because of this vague feeling I have — enough to make me consider double-majoring in statistics — that, in my own opinion, statistics could be a huge weapon for explaining the natural world and society….
Anyway, I’ll get down to organizing what I’ve been diligently learning.
First off, the goal of this book really is to teach “statistical mechanics.”
Then thermodynamics??? what’s up with that????
By learning how to apply certain tools of statistical mechanics to thermodynamics,
we naturally get a feel for statistical mechanics,
and after that, the book is apparently one that properly teaches what statistical mechanics really is.
So this semester is going to be only thermodynamics, apparently.
Let’s learn well from here, and next semester we’ll dive into statistical mechanics!!!
So…. Up through Chapter 3 is pretty much ‘basics,’ so this much…. just
I’ll treat it as redefining the terms and concepts, and starting from around Chapter 4 I’ll study in my own way and organize the thermodynamics.
Up through Chapter 3 is just an intro to the math and… very basic???
(If you’ve studied quantum mechanics, the prior knowledge about probability and statistics should just be covered by quantum mechanics.)
So, I’m going to try to prove Stirling’s formula (stirling formular), which I’ll use a lot going forward!!!!!
To talk about Stirling’s formula, I first need to talk a bit about the Gamma-Function, so I’ll refer a little to the mathematical physics textbook.


Oh!!! The factorial, which we only used in high-school probability & statistics class, can be expressed as an integral like this!?!?!

But the gamma function that we’re curious about

is precisely the right-hand side of the above equation.

That is, to put it another way, n! is only usefully used when n is a positive integer,
and when n is 0, rational, or negative, you have to use the gamma function on the right-hand side!!!!!!!
By the way, that definition we learned in high school, 0! = 1 …… it can easily be proved with the gamma function!
(To a physics major’s eye, it’s really… fascinating lol)
So first, let me lay down the definition of the gamma function!!!

So now, for the case we were curious about, ‘when it’s not a natural number,’
according to the definition of the Gamma-function
you just substitute and calculate.




















It comes out like this.
During the calculations, the Gaussian integral technique is required!!!!
It’s not hard!! Let’s move on to Stirling’s formula!!!!
In thermal and statistical mechanics,

numbers like this will frequently come up, apparently.
Ah and in thermal statistics n is a ridiculously huge number….

Just thinking about 1 mol — 1 mole means about 6 x 10^23, and in the combination if n is 6 x 10^23,
lollollollollollollollollollollollollollollollollollollollollol 6 x 10^23 factorial, there probably isn’t enough paper on Earth to write out all those digits??????
Back in high-school math class, there’s something we learned to handle ridiculously huge numbers more easily.
That something is log.
When it comes to using this log,
chemistry folks usually use common log with base 10, whereas
physics folks tend to use natural log ln with base e (exponential)!
We’re going to take ln of the combination.
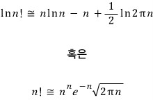
Stirling’s formula (Stirling formular) is taking the logarithm of a huge number like n!!!!!!
Let me just throw the equation out there first,

Alright alright alright alright alright, this right here is Stirling’s formula.
This is why I introduced the Gamma-function earlier.
Let me verify the above Stirling formula!!!!!!!!






Originally written in Korean on my Naver blog (2015-12). Translated to English for gdpark.blog.