Chapter 4 Practice Problems (Part 2)
Knocking out more Chapter 4 problems — Taylor expansion terms, how wildly Ω blows up when a photon gets absorbed, and grinding out ⟨E⟩ for a harmonic oscillator.
Prob 4.4
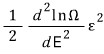
The next term in the Taylor expansion that was ignored in equation 4.11 is

Show that this term is

and show the reason why it could be ignored.

When doing the Taylor expansion, we said the situation was ε~0, so
that epsilon squared is much much much much much much closer to 0 than just epsilon to the 1st power, so it could be ignored.
Prob 4.5
When one visible-light photon with energy 2eV is absorbed by a macroscopic object at room temperature,
roughly how much does Ω of the macroscopic object change?

Prob 4.7
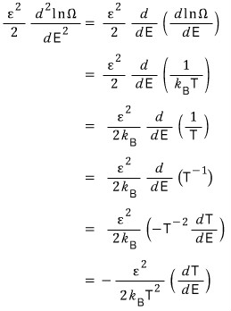
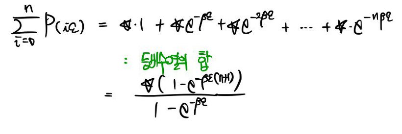
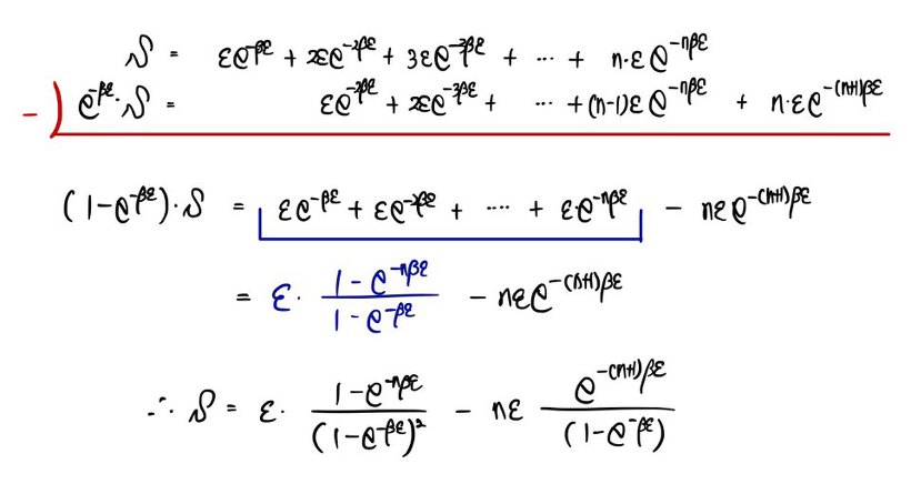
For a system whose states have energies 0, ε, 2ε, 3ε, …., nε, find the expected value of the energy







b) For a harmonic oscillator whose states have energies 0, ε, 2ε, 3ε, …., find
Harmonic oscillator my ass, I think we can just take n->∞ on the

Originally written in Korean on my Naver blog (2015-12). Translated to English for gdpark.blog.