Proofs of Integrals Commonly Used in Thermal and Statistical Mechanics (Reference Links)
Starting from the Gaussian integral, I keep differentiating with respect to α to build up all those handy x^n·e^(-αx²) formulas you keep needing in thermal and stat mech.

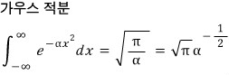
I’m not going to derive this! Because it’s easy.
Skipping that, I’m planning to differentiate both sides of this resulting expression with respect to α, and organize the integrals frequently used in thermal/statistical mechanics.

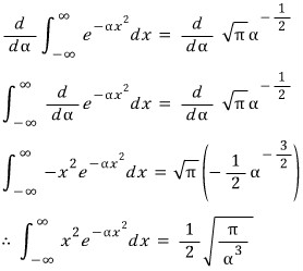
On this result again!, if we differentiate both sides with respect to α,
and keep doing it over and over,
we can obtain formulas that aren’t really formulas but kind of look like formulas.
Let me differentiate with respect to alpha just one more time on the above.

Whether above or below, the integrand is an even function.
So

we can organize this too.
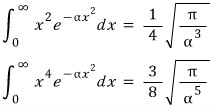
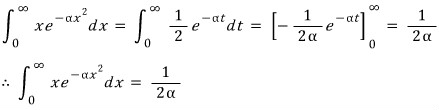
Since we’re on the topic, I’ll organize the ones with odd-power x in front as well.

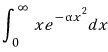
In this one, since the integrand is an odd function, it’s meaningless over a symmetric interval.
So I’ll organize the one integrated from 0 to infinity.
This integral can be obtained just by substitution, without needing the Gaussian integral.


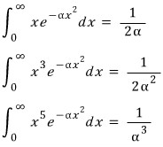
If we likewise differentiate both sides with respect to alpha here too,

Well, we were able to organize these not-quite-formulas that look like formulas.
Whenever I need this integral, I’ll just link to this and lump it all together, hehehehehe
Originally written in Korean on my Naver blog (2015-12). Translated to English for gdpark.blog.