Reciprocal Theorem and Reciprocity Theorem
A quick walkthrough proving the reciprocal and reciprocity theorems by substituting partial derivative expressions and matching coefficients — simpler than it sounds!
As mentioned in the previous posting, I’ll now prove the reciprocity theorems!
Of course, this will be a link-only posting hehehe
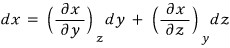
Let’s say a variable x is determined by variables y and z.
x = x(y,z)
Then we learned in math class that dx can be written like this.

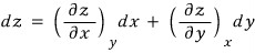
But conversely, we can also say that z is determined by the variables x and y.
z = z(z,x)
Then by the same principle as above, dz can also be written as follows.

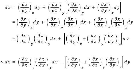
I’ll substitute this expression for dz into the dz that’s in the dx equation above.

For this equation to hold,
two things have to hold.

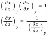
- Reciprocal theorem

- Reciprocity theorem
uses the reciprocal theorem.


The order is the direction the (right-handed) coordinate system rotates!!!!
It’s going to be used a lot from now on.
Originally written in Korean on my Naver blog (2016-01). Translated to English for gdpark.blog.