Maxwell Relations
We dig into state functions and path-independence, invoke Stokes' theorem to prove a key condition, and then finally get to deriving the Maxwell Relations!
In the previous post, we threw out new concepts and definitions, and even figured out what they mean.
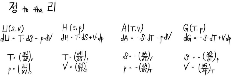
Alright, then let’s scroll back up and look at this picture again.


By bundling them up a few at a time like this, we can make certain relations out of the connections between them.
These relations are called the Maxwell Relations, and well then, let’s get started~~~
—wait, before that there’s one thing we need to prove first.
I’ll prove just that one thing, and then derive the Maxwell Relations.
First, we need to dig one more layer into state functions.
One of the characteristics of a state function was that it “does not depend on the path.”
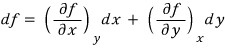
Alright, so let’s say we have a ‘state function’ f defined by variables x and y.
For that f, the change df is

(I’ve said this many times already…? For those who don’t buy it, go look at the ‘partial derivatives’ part of your math textbook — it’s derived in detail there.)
Since this f is a state function,
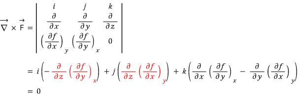
the path doesn’t matter at all, so the integral of df over a closed loop is zero.



We could say the condition for path-independence is that each of these must all~~~~ be zero.
But for i and j, since f is a function of x and y to begin with, the derivative with respect to z is 0.
Setting that aside,
a state function f that is path-independent means

Kyaa!!!! T, V, U, S, p, H, A, G — they’re all~~~~ state functions, right?
When you take partial derivatives with respect to two variables, the order of the partial derivatives doesn’t matter~~~!!!
Why?!?!?!?!??!????? Because they’re state functions!!!
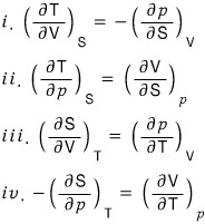
Then let’s head into the derivation of the Maxwell Relations.





From here on out, I’m gonna milk these relations for all they’re worth~~~~^^*
Originally written in Korean on my Naver blog (2016-01). Translated to English for gdpark.blog.