Limits of the Equipartition Theorem
Turns out the equipartition theorem quietly assumes energy is continuous — a big no-no once quantum mechanics enters the picture, unless kT ≫ ℏω saves the day!
I got all excited and wrapped up the energy equipartition theorem.
But there’s an error in the discussion so far.
This is something that can be a limitation…
Ah……the discussions so far that seemed to have no problems at all…
they actually contain the error that ’energy is continuous.‘
We… have studied quantum mechanics, right?!
Energy????? clearly has a smallest fundamental unit.
And that unit is what the Planck constant h signifies, right?!?!?
Where was this error hiding—
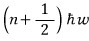
for a spring, i.e. a Harmonic oscillator, the energy is

……
Solve the Schrödinger equation and that’s clearly what comes out!! haha
http://gdpresent.blog.me/220449677356

Quantum mechanics I studied #7. (harmonic oscillator) harmonic oscillator, ladder oper…
Alright, as previewed earlier, we’re now dealing with V(x) case by case. The first potential case is…
blog.naver.com
And where else was it—

Right here, right here!!~~~
The assumption that energy is continuous has snuck in here
And another reason that thing doesn’t make sense—
what kind of spring in the world would keep its spring characteristics when the stretched length x goes to infinity??
As you go to infinity the spring will get all tattered and its properties will change and it’ll snap….
Anyway, the point is that the assumption that x is continuous amounts to saying that energy is continuous, so from a quantum mechanical perspective it’s an error.
To overcome this limitation and make the discussions so far have alm~ost no problem

this must hold.
It might not click intuitively.
In that case, think of h-bar omega as an “energy gap"
That is, the energy levels we’re dealing with must be larger than the gap at which energy is restricted.
If the energy level we deal with is too low,
we might get snagged—thunk!—between these gaps and see energies that aren’t allowed quantum mechanically,
so the energy of the system we’re looking at
i.e., the temperature, if it’s much larger than

then there won’t be any errors.

It means the energy gap becomes freakin’ small,
and that means almost all energies will be quantum-mechanically allowed energies, right?!?!?!
If the temperature is high, almost continuous energies are allowed!!!! that’s what I’m saying! hahahahahah
(this is called the correspondence principle, right?~)
To overcome the limitation and make the discussions so far fit well,

there’s one more condition besides this one.

You shouldn’t look at places too far from
.
You have to explore near stable as much as possible
What this means is

you shouldn’t look at the red line where the energy is too high, but near the blue line.
Why do you have to look near stable then?!?!?!
First,
The case where you’re too far from

doesn’t make sense.
Even an extreme super-megaton spring will break if the object gets too far away,
and in the first place such a part wouldn’t even be our subject of investigation….? lollll
Did I rationalize too much??? lol anyway!
- Second
In reality, the shape of the potential can’t actually be an exact parabola like above.
Materials physics is going to be posted soon, and many materials’ potential terms have terms proportional to the 4th~8th power of position, so the potential is

something like this
Our experience also backs this up
When energy is high, i.e. when the temperature rises, many materials ’expand’, right???!
Anyway, many potentials look like that,
and to analyze that potential, you have to do a Taylor series approximation near the extremum and turn it into a 2nd-order expression to analyze it,
so the temperature shouldn’t be too high, nor too low.
This is the way to rationalize the equipartition theorem..T_T T_T T_T hahahahahahaha
So I don’t think we lose that much power~~~ hahaha
(though it’ll depend on the research topic;; haha)
Originally written in Korean on my Naver blog (2016-04). Translated to English for gdpark.blog.