Density of States: Another Perspective
Why stress over weird container shapes? Since boundary conditions don't actually matter in stat mech, we just pick periodic BCs so we can use clean plane waves instead of messy sines and cosines.
density of state was

we analyzed it from 2 perspectives in the previous post, showing it was this.
But here let’s look at just one more perspective.
The reason I’m bothering to cut the post up is because the previous post got way too long,
so I cut it off and will introduce one more here.
Then gogogo
Everyone, does gold

look like this,

or does it look like this — do its physical properties just change wildly depending on that????
(Unless you’re thinking of some very special case) it won’t.
That is, whether a gas is

inside a container like this,

or inside a container like this,
the behavior of the gas is the same.
Do you agree?!?!?!
What this means is, in the study of some gas,
“Hey!!!!!!!!!!!!

how can you treat a situation like this!!!!!!!!!
That’s way too specific!!!!!!
If you want to treat it generally, for real you have to look at the case where the gas is in a container of truly arbitrary shape!!!

Wouldn’t the container’s shape have to be at least around this level for it to be general?!?!?!?!”
I want to say that saying something like this is meaningless.
That is, is, is, is,
unlike when doing wave functions in quantum mechanics, or when solving Maxwell’s equations in electromagnetism,
here in statistical mechanics, when we’re dealing with the behavior of particles, I want to say that it doesn’t depend on boundary conditions.
If it doesn’t depend on boundary conditions like this,
isn’t it a good method to just assume the BC that’s easiest for us to deal with?
As for how we’ll assume it,
we’ll assume the BC to be a periodic boundary condition.
Because~~~~~~
In the previous model, the wave function was expressed as sin or cos.
But as a person doing physics, I don’t like sin or cos.
I hate tan even more,
because when you differentiate them, their shape changes into something different.
So the exponential, whose shape doesn’t change even when differentiated, is nice,
and then we want to speak of the wave function in terms of an exponential,
and among things that can express the wave function as an exponential, the most fundamental one is the plane wave.
The algebraic structure of a plane wave is

this.
This can also be written as

like this.
We covered the fact that this is a plane wave back when we dealt with electromagnetic waves in electromagnetism. http://gdpresent.blog.me/220440121780

My studies on electromagnetism #29. Electromagnetic Wave
So the content up to here transcends the subject of physics — what a “wave” is, and what properties that wave has…
blog.naver.com
So, even if only for the reason of differentiation,
let’s say we’ve decided that we want to take the wave function this way.
The BC that lets us handle plane waves most easily is??????
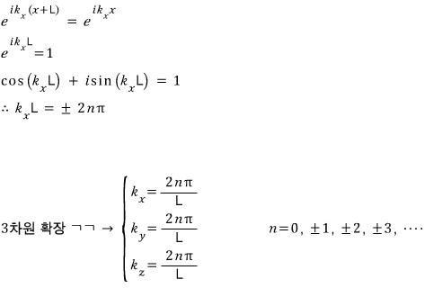
It’s the periodic Boundary condition.
A periodic BC means

a boundary condition like this.
Then let’s apply it to our wave function.

Doing it this way, unlike before, n_x, n_y, n_z now include negatives and zero too!!!!?
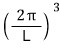
On the other hand, dk_x = 2π/L.
(The k-space has gotten wider, but instead the volume that one energy state holds has gotten bigger.)
That is, taking k, which has a very direct dependence relationship with Energy,
and counting the number of states with the same energy in k-space,
earlier we had to consider an eighth-sphere(?), but now we consider the whole sphere,
and at the shell (surface) of that sphere,

we have to ask how many bundles of this fit in~~~~??
Therefore,

It comes out exactly the same as before@@@
We’ve now looked at density of state from three perspectives.
Then I’ll move on to the next concept.
Originally written in Korean on my Naver blog (2016-04). Translated to English for gdpark.blog.