The Grand Partition Function
We let particles flow freely and ask what happens to the partition function — turns out there's a grand version Z_G derived straight from entropy!
Many state functions have differences between when they don’t allow particle exchange and when they do,
and that difference was μdN.
So now I want to talk about the partition function too.
Wouldn’t the partition function also have a difference between when it doesn’t allow particle exchange and when it does????
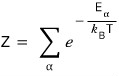
The meaning of Z was pointed out in chapter 21., and its meaning was “the size of the probability distribution”.

The partition function when particle exchange is not allowed was defined like this.
Now let’s allow particle exchange.

In the case where particle exchange is allowed, how will the partition function be defined????
Grand Partition Function :

, called

, is derived using entropy??????
Let’s follow along!!

In the situation where only energy is exchanged, since what moves will be Energy, with the number of possible microstates Ω for that energy
we drew the figure above and derived the probability of having energy ε. http://gdpresent.blog.me/220583972835
But from now on, since we allow particle exchange too, both E and N can be exchanged.

So this time, we draw it like this and instead of using the variable Ω, we use the variable S!!!!
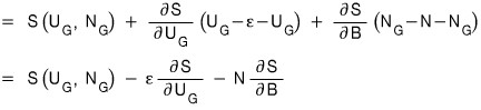
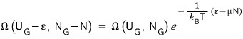
But Ω will definitely depend on variables E and N, so surely
the probability that E=ε and N=N

will be proportional to the number of cases where the reservoir is

,

?!?!!!!
That is,

it will be.
Now let’s go back to the main point: which direction maximizes S~~~~
let me develop it with this logic, let’s gogo.
To do that there’s some prerequisite knowledge we need to know in advance.
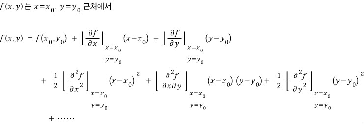
< 2-variable Taylor series expansion>

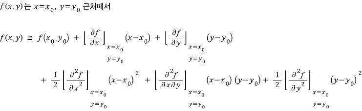
Now when using this equation as an approximation
we just drop the dot-dot-dots at the end

With this laid down as prerequisite knowledge, http://gdpresent.blog.me/220583972835

Thermal·Statistical Mechanics I studied #4. Temperature
The statistical definition of temperature Finally now the book is going to look at what ’temperature’ is!!!Thinking about the definition of temperature, and finally my…
blog.naver.com
I’ll go with the same logic as
so it might be fine to look at this part for reference and come back again.
I’m going to define S of the reservoir,

I’ll approximate this

I’ll get the approximate expression in this situation.
For easier understanding


I’ll only approximate up to this.
And I’ll restore the red-colored substituted variables back to the original.



That’s how much I’ve organized so far?!?!!!!alriiight
And now let’s play some tricks with what we’ve organized.


Then let me write it again

Why did I derive this relation,
it’s because now I want to define the partition function in the Grand canonical ensemble!!!!
The definition of the partition function is

what alpha means was the energy state….. anyway this was it,
but now that the variables μ and N that determine energy have been added, the shape of the energy to be written as E_α in the definition of the partition function will have changed a bit.
(Actually everyoooone would have caught on already from earlier, lol lol lol that shape goes in)
Then first let me lay down some terminology before going in.
It’s called the grand canonical ensemble, the collection of “systems that can exchange energy and particles”, right?
The partition function in that system is specially called the Grand Partition Function.
So now the relation above

where we’re going to use it is.

I’ll use it here.
If you don’t understand how this relation holds, http://gdpresent.blog.me/220583972835

Thermal·Statistical Mechanics I studied #4. Temperature
The statistical definition of temperature Finally now the book is going to look at what ’temperature’ is!!!Thinking about the definition of temperature, and finally my…
blog.naver.com
please refer to here
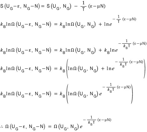
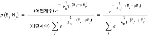
If we slam it into that relation

therefore

phew, all derived
Though this distribution has the same principle as the Boltzmann distribution,
it is separately called the Gibbs Distribution.
Now that we’ve figured out the probability distribution, we’ve taken a big step in figuring out the partition function!!
Let’s Keep going!!!
Mentioning once more, the partition function was talking about the size of the probability distribution.
Like something playing the role of “number of trials” in coin tossing
But what I organized above is the probability distribution in a system where both energy and particles can be exchanged!!!
Then now I’ll change the notation.

And if I write it as an equation,

The meaning is !??!?! at temperature T, the probability that the energy is E and then there are N particles at that moment!!!!
Now we can define the partition function.
The probability that the energy is

and the number of particles is

can be written like this.

So that guy in the denominator there can be called the partition function, right?!?!?!
The size of the probability distribution!!!
That is,

Grand Partition Function
Now that we know the partition function, we can do so so so many things!!!!
If we just figure out the partition function, we can derive many state functions!!!
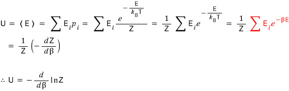
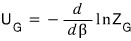
First, how about we link the internal energy of a system allowing particle exchange with the partition function
First, how it was linked when particle exchange was not allowed

it was linked like this,
then in a system where particle exchange is allowed
simply

will it be solved if we say that?!?!?!?!
Nope… it doesn’t work. Doesn’t work
This is actually

but
this seems hard to interpret meaning-wise.
Because the rate of change of the partition function and even taking the log of the partition function…
I think it’s a shape hard to take in as meaning
So I’m thinking whether to prove the above equation mathematically,
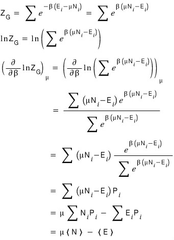
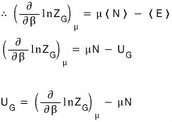
ripping apart the right side and differentiating with respect to β isn’t that hard, right?!?!?!
Then let me gogo


When there is particle exchange, the other free energy state functions
I’ll derive in the next post!!!!~~~~
Originally written in Korean on my Naver blog (2016-06). Translated to English for gdpark.blog.