Grand Potential
We define the grand potential Φ_G = -k_BT·ln(Z_G) by building on how F works in the canonical ensemble — because the partition function holds all the power, hehehe!
Now, at this point where the inflow/outflow of particles is allowed, we’re going to define the potential for exactly that case.
Where is this information called potential contained?!?!?!
It’s contained in the partition function Z, right!!!?!?? (That’s why I told ya the partition function is powerful hehehe)
So let’s go back for a moment to the case where the inflow/outflow of particles is not allowed (Canonical Ensemble) hehehe
When the inflow/outflow of particles is not allowed, what was the potential?!!!?
The Helmholtz function F played that role. Should we go check?!!?!
First, let me go over what a potential is at a middle-school level.

When situation 1 changes to situation 2, what in situation 1 do we call the potential?!
mgh was the potential.
And in situation 2, out of the total mgh, mgh/2 has turned into (mv^2)/2 and the remaining mgh/2 is left.
So in situation 2, the “remaining” mgh/2 was the potential, right?!?!?!
What can we say about the potentials mgh and mgh/2 in each situation?
lol Can we say they’re the latent ability to be converted into other (useful) energy in the future, or the latent ability to do work?!?!?! Can we say that????
Yes, potential had this kind of meaning, and in statistical mechanics this meaning was also called free denergy.
Okay, so when inflow/outflow of particles is not allowed, F played the role of potential,
and the logic behind F playing the role of potential is this.

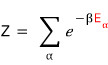
The energy that goes into those places in the partition function — we put in the total energy, right?!?
So that amount of energy can definitely be converted into other energy!!!!!
That is, suppose there’s one energy state.

We can write it like this,

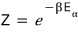
From a potential perspective, I wrote ‘Φ, which means potential’ with a subscript c taken from canonical.
However, as it happens, in the canonical ensemble F could play the role of Φ_c.
So

this is how it was defined. Let’s understand it this way.
From this we can infer/
“Aha, if you take the log of the partition function and multiply by kT and take the negative, you get the potential!!!!!!”
<This logic also holds in the microcanonical ensemble, where neither energy nor particles are allowed.>
That is, when both particles and energy are allowed to flow in and out, the potential at that time can be defined as

and I’ll denote it as Φ_G.

But as it happens, in the grand canonical ensemble, the Helmholtz function F_G does not play the role of potential T_T T_T T_T
So what you shouldn’t get confused about is that

— let me point that out and move on

can also be derived from another expression.
Specifically, you can see it from the entropy expression in the situation where the inflow/outflow of particles is allowed.
When we rewrite entropy using the definition of Gibbs’ expression of Entropy, we can see it,
and we can reaffirm the justification that

is the potential of the system, so let’s do it!!


this is what we’ve organized up to here,

and it can also be organized like this~~~~ hehe

we’ve pulled this out, so let’s squeeze out of it everything we can squeeze out


we can see that this is a three-variable function related to V, T, μ.
So, very mathematically, let me rewrite it as a partial differential equation.

Then, by comparing with the equation above, what we can obtain is

these 3 things we can squeeze out
Let me also organize

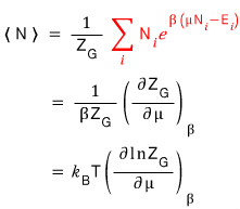
Let me put this expression into the < N > equation hehehe

this is as far as I can organize it!!~~~~~~~
Originally written in Korean on my Naver blog (2016-06). Translated to English for gdpark.blog.