Chemical Potential of an Ideal Gas
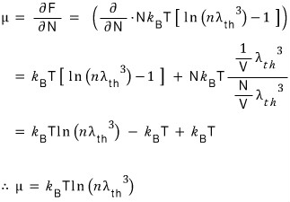
We derive μ = k_BT ln(nλ_th³) for an ideal gas via the canonical ensemble and Helmholtz free energy — a relation we'll keep pulling out freely from here on.
This post will first organize “the chemical potential of an ideal gas” from the example, and then we’ll get into the next discussion.
The reason I’m doing this first is because it’s a relation we’ll keep using later on….
Let me derive it first, and use it freely later on….TTT
But, while this problem is simple to solve, I think we shouldn’t approach it mindlessly.
So I’m going to assume a situation.
As for how we first introduced μ,
we introduced it as “the change in internal energy per one particle added,” in that manner.
And

this is how we defined it.
We’ve gotta use this expression somehow,
but we shouldn’t use it recklessly, so I’m going to set up a situation like this.
The concept of the canonical ensemble … first let’s imagine the case when there is no inflow or outflow of particles.

Surely there is an F defined for this system, and that F — we organized it earlier,
and the way it was organized was

like this.
Now, since there’s no hole for particles to flow in and out,
N can’t move, and so naturally dN=0,
but let’s say we can forcibly manipulate N.
That is, suddenly, via teleportation poof!, N increased or decreased.
Then clearly F is a form that depends on N, and thanks to the ideal gas that teleported in, the potential inside there will change.
That is, F will change, U will change too,
hmm… so we could also think μ exists like this~
(Let me toss in one more thing lightly. As we saw above, μ doesn’t mean only something related to chemistry —
I think it should be understood as “everything that causes a change in the energy state by virtue of the number of particles changing.”)
So

So although this is a relation for the ideal gas μ pulled out from the canonical,
from now on I’m going to keep using this expression for μ~ lol lol lol
Originally written in Korean on my Naver blog (2016-06). Translated to English for gdpark.blog.