The Stefan-Boltzmann Constant
We crack open the Stefan-Boltzmann constant σ using modern physics — photon energy, Bose-Einstein distributions, and density of states — to finally nail down that number!!!
We learned earlier that the energy emitted per unit volume per unit time from a blackbody is

depends only on temperature like this,
and that it depends on the 4th power of the temperature.
So this would mean something like the following
Now now now now let’s think about it

Suppose there are blackbodies of various shapes.
If the energy emitted differed depending on the shape of the blackbody, would the equation up there have ever been formulated?!?!?!?!
There’s no way, right?!?! What it’s saying is that the geometric shape of the blackbody has absolutely no bearing on it!!!
Regardless of shape, it depends “ONLY!!!” on temperature.
So now we’re going to find the
Stefan-Boltzmann constant, marked there as σ
Specifically, what that number actually is!!!!
We won’t find this σ via classical physics, but via modern physics.
That is, we’ll view the energy as photon energy and write the photon energy as ‘h-bar omega’.

Inside a blackbody (cavity) at temperature T,
is every photon’s energy inside there equally

? No way
Some photon has

, and some other photon has

, and yet another photon has

,,,,,,
There are countlessly many of them, and we can only express it as a probability.
Let’s call that probability f(T,w).
The meaning will be “the probability that a photon, at temperature T, has angular frequency w.”
“Of course this distribution will be a Bose-Einstein distribution^^ which is why we studied the distribution of identical particles before coming over here^^”
So then, the photons inside at temperature T, with their respective

,

,

, . . . . energies,
is the number of possible cases for having those energies just 1?!?!?!
Of course not……. as we learned before, first off there’s basically a density of state.

This many can be held with multiplicity.
(Where did we learn it ~ http://gdpresent.blog.me/220691412313)
Also, in the case of photons specifically
aaaaaaaa so an electromagnetic wave has 2 polarization vectors, right?

It can oscillate like the above and be hw, or oscillate like the below and be hw too,
and to put this in quantum mechanical terms, since the spin of a boson is 1,
there can be a +1 boson and a -1 boson.
So, what I’m talking about is spin degeneracy.
Now now now now, so,
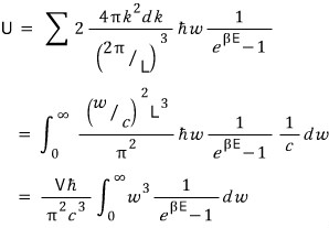
when computing the total energy U, you do it like this.

Now there are things tied to k and things tied to w,
I’ll convert all of them entirely into expressions of w.

Then
oh and also, I’ll convert sigma into an integral that’s an infinite sum.
From the standpoint of people doing math, this would make them jump up in protest, but people doing physics… just… do it that way… >_< sorry sorry

ack, here E is h-bar omega, right?!?! I forgot and didn’t fix this
I’ll fix this one too

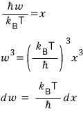
Now, in order to compute this integral, I’ll set the red part as x!!!!
The integration interval for x is still from 0 to infinity, righttt~~~ seems like just changing the variable nicely should do it

Just plugging this in nicely should do it

You were really startled by the Bose integral, weren’t you!??!!??!?!?! Don’t worry
I’ll prove it in a posting later on, so calm that startled heart, whoa whoa whoa whoa, we’re now

We’re almost at the Stefan-Boltzmann constant.
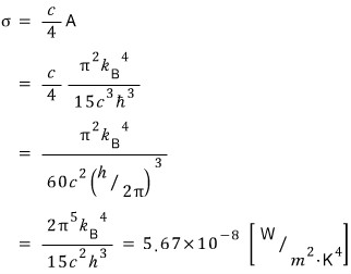
This this this this this is now about the energy density
In the previous posting,

when we said this, we found A!!!
But this wasn’t the Stefan-Boltzmann constant, was it?!?!?
The Stefan-Boltzmann constant is

this, you see?!?!?!!!!
aaaaaa so since we found A,
we’ve now found the Stefan-Boltzmann constant too!!!!!
Gonna wreck this final calc!!!!

Holy crap!!!! Done!!!!!!!!!!!!!!!!!!
Originally written in Korean on my Naver blog (2016-06). Translated to English for gdpark.blog.