Black-Body Radiation Energy and Spectral Radiance
Breaking down the blackbody energy formula to understand spectral radiance and why red-hot iron glows red while scorching-hot iron shifts to yellow.
Alright, time to wrap this up, let’s finish it off quickly.
What are we doing this time — you all remember that Super Saiyan bit I pulled in the intro section a while back, right?
http://gdpresent.blog.me/220742242763

The physical basis of Super Saiyan (just babble)
The main text is the intro to “Thermal·Statistical Mechanics I Studied #49. Stefan-Boltzmann law”, and just…
blog.naver.com
High-temperature objects
Why does red-hot iron you can see at Posco emit red light
and why does f-ing-hot iron emit yellow light — let’s examine this with our formula and wrap it up.
So, our formula….
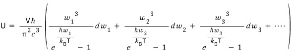
Let me bring back the formula we derived in the previous post.
The energy emitted from a blackbody is

If you look at this formula, what it means right now is
the total energy U of thermal radiation is “some sum”
the one whose angular frequency is

, the one that is

, the one that is

, . . . .. the infinite sum of these is the total energy.
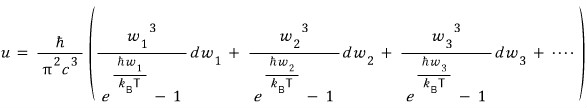
So if I write it out just a little,

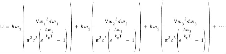
But let me write this like this

If you write it this way, what does it mean?

The total energy emitted from a Black-body of volume V and temperature T is

it means the sum total of things like these.
Then right now, per unit volume, there should be exactly as many as the things above minus the V, right????!?!?!?!??


Writing it this way should do the trick,
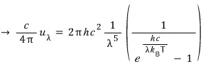
but now let’s switch w all over to λ.
What we’re going to swap in using some relation into the formula above is

we’re going to swap everything using these relations.
Oh and also, the range that was from 0 to infinity will switch to from infinity to 0.

And if you draw a graph of this energy-density formula by varying the temperature a bit at a time,
you get exactly that shape of graph that everyone’s seen at least once somewhere.

(source: http://glossary.periodni.com/glossary.php?en=blackbody+radiation )
There’s a graph attached to the picture, but it’s different from our formula, right?!?!?!
Now let me wrap up going to that formula and do just a bit more graph explanation before finishing.
Our current formula is based on “per unit volume”.

That much spreads out in the shape of a sphere, and among that, a single beam of light
that is, we have to divide by the total solid angle (the total solid angle is 4π)

The meaning of a single beam of light can be expressed as a picture like this.

Out of all those many, many beams of light
among them~~~~~

a single beam of light lolololololol you get it, right!?!?!?
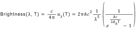
So that right there is the value called surface brightness or radiance.
And this formula is what’s shown in that graph,
so, when we see the blazing hot iron at Posco shining, the light we see would be following that formula, wouldn’t it…hehehehe?

Ahhhhhhh for reference, I’ve covered solid angle in a bit more detail over here. http://gdpresent.blog.me/220584695823

Thermal·Statistical Mechanics I Studied #11. Ideal gas equation of state, pressure
Here we’re about to go into ‘Chapter 6. Pressure’. Rather than saying we’re learning pressure, it’s just the ideal gas equation of state PV=nRT…
blog.naver.com
Even the thumbnail is solid angle lolololol
So now I’ll do a quick graph interpretation
and then I’m off to go fill out the transfer application form.
I think quitting physics is the answer lolololol you smart kids take it and have at it hehe
If I draw the graph above simply in MS Paint,

what the heck, why does red look like sickly red -_- argh!!!!
Anyway
T* is the lower temperature, right??!? When at the lower temperature, the energy density
contains more light in the higher wavelength band, is what it’s saying
so it means it contains the most light at λ*.
So to our eyes, the hot iron first looks re~~~d
But according to the energy density formula, when at a temperature T** higher than T*,
it contains the most light in a lower wavelength band.
So it means it contains the most light with the lower wavelength λ**, hehehe
So to our eyes, the hot iron looks blu~~~~e……………..
Huh????? have you ever seen that????? it’d look ye~~~~~~~~~llow, the color yellow which has more energy than red.
I don’t need to tell you that the shorter the wavelength, the greater the energy, right?
Because the fact that you’ve read this far means lolololol you must be smarter than me….
I’m off to the department office now, byebyebyebyebye
Originally written in Korean on my Naver blog (2016-06). Translated to English for gdpark.blog.