The Bose Integral
Walking through the proof of the Bose integral — Taylor-expanding the tricky fraction, subbing variables, and tying it all together with the gamma function.
Anyway, I’ll now go ahead and prove the Bose integral, which was needed when deriving the Stefan-Boltzmann constant.
Earlier, when deriving the Stefan-Boltzmann constant, I said I’d prove the integral but just
slammed the integral in from a table,
so anyway, I’ll organize it this time.
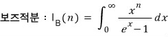
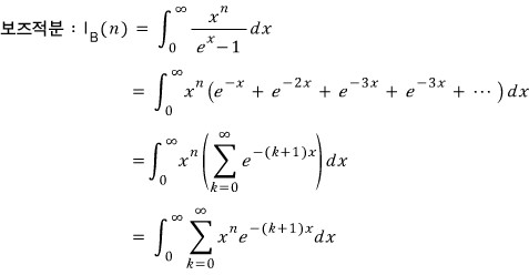
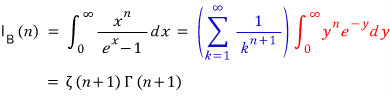
At that time, the integral I needed looked like this:

This was what I needed.
First of all,

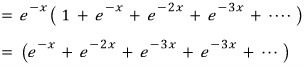
I’ll Taylor-expand this.

I was going to use this, but it doesn’t work, so I’ll change the form a bit

Alright, now I can do the Taylor series expansion.

So the Bose integral becomes



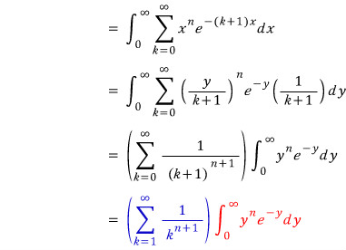
So it gets organized like this, and the red part is the gamma function.
http://gdpresent.blog.me/220581881465

My study notes on thermal & statistical mechanics #1. stirling formular (Stirling’s formula, Stirling’s approximation)
At last! I entered the physics department and in the second semester of my third year, I got to take thermal & statistical mechanics! As much as quantum mechanics…
blog.naver.com
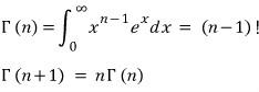
The gamma function was organized here rong-rong-rong-rong-rong-rong-rong~~~~~~

It had these properties~~~
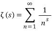
The blue part in the front term is the Riemann Zeta Function.
The Riemann zeta function is

defined like this.
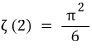
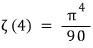
If I write out a table of the Riemann zeta function,








it goes like this.
I’ll post about the Riemann zeta function in more detail later.
I guess I should just say it’s not scary anymore lolololol (they’re making an undergrad do this, so it must be doable….)
Alright, so the Bose integral above gets tidied up like this now.

So the integral that was needed when deriving the Stefan-Boltzmann constant

ended up like this… hehehe
Originally written in Korean on my Naver blog (2016-06). Translated to English for gdpark.blog.