Fourier Series and Fourier Transform: A Brief Introduction
A casual walkthrough of how Fourier's trick uses the orthogonality of sines and cosines to pin down the coefficients for representing any periodic function.
Fourier (well, actually his students)
believed that any function whatsoever could be expressed as a linear combination of sines and cosines of various frequencies.
β
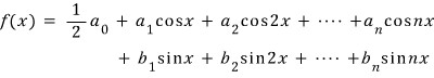
So then
β

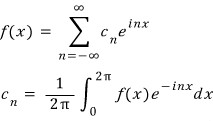
ο»Ώο»Ώ(An implicit assumption baked in: f(x) is a function with period 2Ο ^^)
β
β
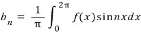
Then how are those coefficients a_n, b_n determined??!!?!?
Those coefficients must clearly be related to the function f(x) we’re trying to represent??!?!β
β
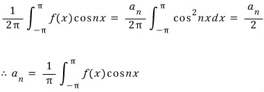
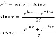
To find them, multiply both sides of the above equation by sin nx or cos nx

β
β
and use this relation.
β
In a word, we’ll be using Fourier’s trick.
Where have I used this before β http://gdpresent.blog.me/220183169967
![]()
Electromagnetism I studied #8. Separation of variables
Previously we learned the method of images, which is one (cheeky) way to solve Laplace’s equation. Well, if you can call it a skill …
blog.naver.com
I’ve used it in electromagnetism^^hehehehe Well, is separation of variables only used in electromagnetism?
It’s used all over physics in general hehehe
βββ

β
β
I’ll multiply both sides by cosnx.
β

β
β
Then if we take the one-period average on both sides
β

β
β
hahahaha
Why this is a trick β

β
β
except for the blue one, everything flies away.β
In the end
β

β
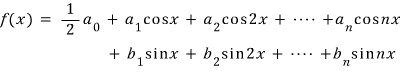
Each coefficient can be determined like this hehehe hehe
β
β
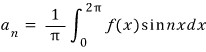
In just the same way, get b_n and you get this~
β

β
β
β
β
Then does the function always have to be one whose interval is from minus pi to pi???!?!!
Huh???? We can also just shift the interval and represent the function over that
The coefficients in that case areβ
β


β β
βwe can just write it like this, I guess
β
β
β
β
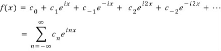
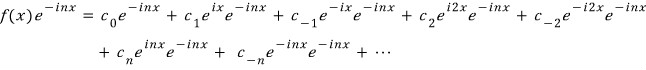
But, both sine and cosine are exponentials by Euler’s formula??β?!!β
β

β
β
That is,

β
this equation, equivalently,
ββ

β
can also be written like this.
β
β
β
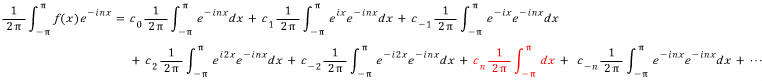
Now, to determine c_n, multiply both sides by

.
β

β
β
We get this,ββ
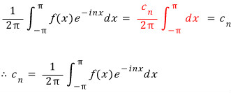
and if we take the -Ο ~ Ο average of both sidesβ
β

β β
β
β

β
β
Therefore in the above both-sides average, only the c_n term’s gotta survive….β
<To leave only c_n, we multiplied both sides by

, and to leave only c_-n, we’d multiply both sides by

.>β
β

β
β
β
β
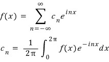
Also, as with sine and cosine, the period doesn’t have to be -Ο ~ -Ο, it can also be 0 ~ 2Ο, soβ

β
β
Like this, with period 2pi,
we’ve confirmed that f(x) on an interval like -Ο ~ -Ο or 0 ~ 2Οβ can be expressed as a linear combination of other wave functions,
but then, does the period have to be 2Ο?!?!?!?!?!ββ
β
That’s no no.
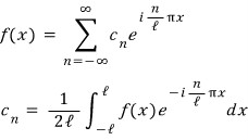
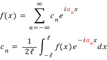
Setting the period to 2l,
the logic that any~~ arbitrary f(x) can also be expressed!!!! means
we can represent any interval, any function.ββ
β

β
I’ll transform this formula-but-not-quite-formula thing.β
β

β
Now we’re invincible.β
β
β
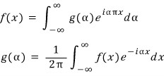
Nope~. We need to send l to infinity to be truly invincible.
Then we can include even functions with ’no’ period.
So I’ll transform that formula again.β
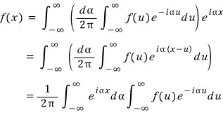
So to jump to the conclusion

ββ
Now how does this come out β
let’s take a slow~~~~ look. β
β

β
First, in this equation, let’s set nΟ/l as Ξ±_n.
β

β
And in that alpha, since n changes by 1 each time,
βΞ±_n changes by Ο/l.
β

β
β

β
β

β
β
From here it’s less math and more of a hackββ

β
βFirst, let’s call ΞΞ± as dΞ±, we can do that right
Then the n in Ξ±_n doesn’t mean anything anymore. Let’s just write it as Ξ±.β
β
And I’ll send l (ell) to infinity.
Then the n in the sigma out front, let’s just write it as an integral!!!!β
β

β
β
So we can write it like this, let me play around a bit.β
β

β
I’ll stick the red part into those parentheses.β
β

β
β
β
β
β
β
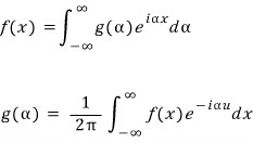
Con to the clusionβ

β β
Gonna use this~~~~~~~~~~~~~~~~~~~~~~
It’s called the Fourier transformation,
ββ
and the meaning isβ
β
whether you see the domain of some wave as a linear combination of waves with various frequencies
that is, whether you view the domain in terms of frequency or in terms of time
it’s an equation with that kind of meaning.βlollollol
Originally written in Korean on my Naver blog (2016-07). Translated to English for gdpark.blog.