Diffusion Equation and Diffusion Constant via Brownian Motion
We piece together Fick's law and the diffusion equation step by step — from number density gradients to flux — and nail down what the diffusion constant D actually means.
I’ll pick right up from the previous post.
It’d be great if you read this alongside the previous post.
What this means right now is,
alright alright alright alright
“When particles are gathered together, particles will flow from where the number density is high to where it is low” — can we imagine it this way??? This isn’t fiction, right???
’to where the number density is high’ in equation form is

this represents it, so
“to where it is low” is

we can write it like this
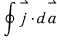
’the flow of particles'

will be proportional to that.
That is,

let’s write it like this.
And by introducing the diffusion constant D,
let’s write it out as an equation.

Okay, let me make just one more equation.
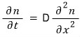
Let me write down the change of the number density with respect to ’time'.
We’re relating it with time t.
The change per time of the total count in some space (a negative change)


will be related to the flux passing through this place.
Let me express the amount that has passed through this space as flux.

The equation that represents this picture can be written like this.

So we can write it like this.


Now the expression for j we organized above

let’s substitute this in here.


kyaak~~~~
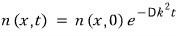
This relation is actually called the diffusion equation, and it’s the equation Fourier came up with when he was establishing ‘heat diffusion’, and in order to solve this equation well what he devised is called the Fourier series.
So now we’re going to solve that equation,
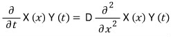
let’s not look for the 3D solution, let’s just find the 1D solution hehehe
The equation reduced to 1D is

this :)
Then let’s solve that differential equation.
Though I can’t say for sure, n will be a function of x and t,
and solving the differential equation means finding n(x,t) that satisfies the above equation!@
First, let’s assume n(x,t) is separable!!!

let’s say it becomes like this. If we plug this assumption into the equation

Now I’ll shut up and just push the equation through.

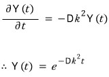
Let’s say they’re equal like this! hehehehe
Then Y(t) is~~~~

yolo-rong~~~
Now finding the remaining X(x) we’ll do differently.
First

let’s write it like this!!!!
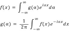
And we’re going to use the Fourier transform.
First let me bring in some equations

As for how this comes out, you can refer to the previous posting,
let’s just change the names — alpha to k, and f to n.

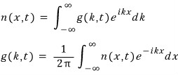
Ah but, ours has t hanging on it too…T_T T_T T_T sob sob
But, we said the function in t is separable, so writing it as below should be fine.

Okay then, I’ll add one more assumption,
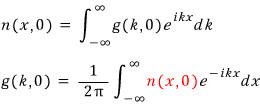
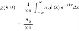
let’s say that at the initial condition t=0, n_0 was gathered at x.

where are we going to apply this?

applying it to the red one,

it becomes like this, and we can compute n(x,0), but now we express it all the way to the separated function in t,
let’s write it like this~~~!!!!
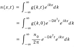
Therefore n(x,t) is

Now do we do this integral, okayyy~~~~?!!?!?
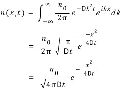
Let me just slap down one integration formula.

For us A = Dt and B = ix, so
the result of the above integral is

it turns out like this — haven’t we seen this somewhere before??!?!?!?!??!
Where you ask?

This right here
Matching the Gaussian distribution with our Solution

we’ve figured out this.
Alright anyway, so what we actually figured out back in the Brownian motion section was…..hehehe
The diffusion constant D is

and,
the significance is that we unmasked the identity of the diffusion constant!!!!!!!!!!!!!!!!!!!!!!!!!!!!
heh heh heh heh heh heh heh this is fun~
No but, what’s even funnier is — with absolutely~~~ nothing, with just the feeling of ‘it just diffuses’, now that we’ve solved the diffusion equation this way,
it matches the diffusion constant in ‘Brownian motion’, which also just diffuses with absolutely~~~ nothing
variance = 2Dt
this relation is exactly the same lolllllll
And going one step further, we’ve torn apart the structure of that diffusion constant one more layer…heh.hehehe
wow lollll really amazing lolll
seriously lolll the world of mathematical physics lolllllll
I wanna set fire lolllllllllll
Originally written in Korean on my Naver blog (2016-07). Translated to English for gdpark.blog.