Brownian Motion and the Correlation Function
Deriving the velocity correlation function ⟨v(0)v(t)⟩ from the Langevin equation — basically asking whether your current state still remembers where it started, gold-spoon style.
Ex 33.2
Derive the expression for the velocity correlation function < v(0)v(t) > in Brownian motion.

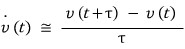
If we

read it like this, and take the ensemble average of it,
we can probably understand it as an index of “is there a relation between the initial condition and after some time has passed?” at about this level.
Hmm… so it’d be something like the “gold-spoon / dirt-spoon theory.”
Whether my current state has any connection to my initial condition (my parents’ wealth) or not….. putting it this way makes it more relatable, right???
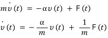
So then, for Brownian motion,
let’s start from the Langevin equation

Okay okay, here we go.

I’ll express v_dot differently.

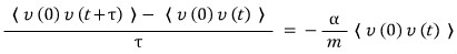
Therefore

As mentioned earlier, since F(t) is a haphazard force, a Random force,
the ensemble-averaged red term must come out to 0.
If it doesn’t come out to 0, then the meaning of “random force” is lost,

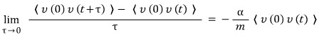
And let’s send tau to the limit 0!!!!!


Yup!!! All we have to do is solve the diff-eq!!!~~

When t=0,

since that’s what it’ll be,
A is exactly that value.

Looking at the equation above,

this value converges to 0 as t→∞.
That is, we reach the conclusion that as time passes, the correlation with the initial condition gets fainter,
and we’ve derived the conclusion that this is the essence of Brownian Motion. hehehehehe hehe lololololol
Originally written in Korean on my Naver blog (2016-07). Translated to English for gdpark.blog.