Fluctuations
Can wild, chaotic fluctuations actually be tamed by state functions like S, T, and V? Turns out entropy and probability density are more buddy-buddy than you'd think.
Earlier we looked at Brownian motion, this unknowable random motion.
So this time, what we’re going to do is,
ββ
that Brownian motion thing β
actually, not just Brownian motion, but fluctuation in general β can’t we express it using the state functions we’ve been dealing with all along, T, V, p, S….????
Let’s try to find an answer to that curiosity.
βββ
β
So this thing called fluctuation, this absolute trainwreck of a physical phenomenon, feels like it’s somehow related to ’entropy’, right??
β
Entropy S is

so,
we’re going to focus on omega, which means microstate!!!β
β
Ξ© with respect to U?
Ξ© with respect to T?
Ξ© with respect to p?β
Something like that. So let’s leave the variable of Ξ© open as x.
βJust, we leave open the possibility that Ξ© depends on energy E and ‘some other variable x’.β
β
Ξ© : number of microstates accociated with a system characterized by parameter x & energy Eβ
β

β
β
Oh…. but, the number of possible microstates…
this is somehow related to the states the microstates occupy
β
i.e., the probability density function of microstates and Ξ©(x,E) must be relatedβ
β
we don’t know whether it’s hooked in as a square, a cube, or a square root,
but let’s just simply assume it’s a ‘proportional’ (linear) relation.β
β

β
β
Once we write it like this, it doesn’t seem like nonsense.
The point where entropy is maximum is equilibrium, and the point where entropy is maximum means the largest (highest) part of the probability density function???!?β
β
β
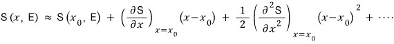
Alriiightβ so let’s look at equilibrium, the point where entropy is maximum.
β
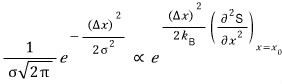
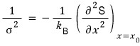
Suppose entropy becomes maximum at x = x_0,
and let’s write S(x,E) as an approximation around x ~ x_0.β
β

(at equilibrium)
β
β
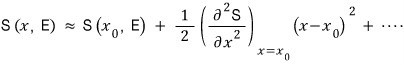
Now, there’s a term that flies away, right?!?!?!
The first-order derivative will be 0.
Since it’s the maximum point, by the logic that it’s an extremum!!!
β

β
βand it goes liiike this
ββ
β

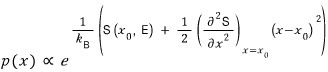
I’m going to rewrite this proportionality as below.β
β

β
β
Now let’s play with it.

β
β
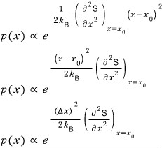
The red part will be a constant, so
β
β

β
β
Now here we conjecture that p(x) is going to be a Gaussian function~~~
(it’s not such a wrong claim either, so well;;heh;hehe)β
β
β

β
β
OK so
β

β β
β

β
We found the fluctuation term near equilibrium.β
β
β
β
What this equation gives us is more fun because it predicts a phenomenon.
We left x open, right???? Let me set x as U.β
β
Then

β β
β

β
β

β β
β
β
Earlier when we learned about phase transitions, we learned that near phase transitions C_v diverges to positive infinity.
That is, during phase transition

it becomes this. β
β
β
β
Totally

β
it’s in this kind of ‘pandemonium’ state, right?????
In actual phase transitions, fluctuations really are pandemonium, aren’t they??β
β
And also, β

this equation tells us something.β
β
U is an extensive variable, so it’s proportional to N
C_v is also an extensive variable, so it’s proportional to N.β
β
β
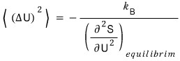
The root-mean-square of fluctuation

(β΅ C_v β N)β
β
we can also say it’s proportional like this.β
That is, the ‘percentage change’ of fluctuation isβ
β

that’s what it iiis:)
This is saying thiiisβ
If the number is enormously large, the percentage change of the fluctuation term converges to 0!!!!!
But, since for phase transitions C_v diverges to infinity,β
the percentage change of fluctuation will go to infinity!!!~~ urk!
Fun lollollollollol
Originally written in Korean on my Naver blog (2016-07). Translated to English for gdpark.blog.