Time Dilation in Special Relativity
A fun dive into Einstein's special relativity — covering the two postulates and why time itself literally has to slow down to keep the speed of light constant. hehe
I took the 1st-semester Modern Physics class in 2015,
and we used Concept of Modern Physics (Beiser, 6ed.) as the textbook for the lectures. hehehehe
This was something I had absolutely no plans to post about originally.
I was just going to skip posting and just study through it step by step.
But as I went, the book turned out to be pretty good, and it was fun, so while studying I changed my plan of not posting..hehe
So the beginning part is gonna be a bit…. hehehe might be a bit weird hehehehe
Um, I’ll just dive in.
Motion is “the position of an object changing relative to another object.”
A passenger is relative to the airplane,
the Earth is relative to the Sun,
the Sun is relative to the galaxy,
what I’m trying to say is, in each case, there has to be a ‘reference.’
What sets that reference is the ‘frame of reference.’
Einstein’s theory of relativity smashed all these references to bits!… There’s no such thing as ‘absolute motion’ and
by describing relative motion, his idea is that no absolute(?) universal frame of reference exists.
Einstein’s postulates
- Principle of relativity:
In frames of reference moving at relatively constant velocity, all the laws of physics are the same.
=> If the laws of physics were different for observers moving relative to each other,
we could use this difference to find out which one is at rest and which one is moving,
what this is saying is that we can’t make such a distinction.
This becomes clearer somewhere — I’ll put a link.
You probably don’t get what I’m saying above, but if you read just a little bit here, you’ll completely understand!! (go read “Modern Physics I Studied #6”)
- Speed of light: In free space, the speed of light has the same value in all inertial frames of reference.
=> His second postulate seems like a really absurd assumption,
but seeing as we’re using GPS thanks to the theory of relativity built on this postulate…. we have no choice but to consider it correct…. hahaha
We’ll see later, but depending on the relative velocity, mass changes, momentum changes, energy changes, etc.,
and the fundamental reason these things change is that, to make the speed of light the same in all inertial frames, something else has to change,
and that something that has to change turned out to be physical quantities.
(The speed of light is constant everywhere……)
(When a laser is fired from a flying spaceship, the laser light is the speed of light c to the person inside the spaceship,
and to the person who is relatively at rest, that light’s speed isn’t “speed of spaceship + speed of light” but just appears as “speed of light c”)
The theory of relativity built on this postulate seems like it would be wrong, but the story is that it’s correct…T_TT_TT_TT_T it’s a brain-melt….)
When the speed of light is measured inside the spaceship using ’time,’
the person outside the spaceship has to have time flow a bit slower to get the same result,
and if measured using ’length,’ the length has to be a bit shorter to get the same result.
Again:
“Time or length changes such that the speed of light you measure ends up equal to the value 300000000m/s that I measured.”
Alright, then let’s start by looking at how ’time’ changes relatively.
“Seen from a sweetheart who is on Earth

is longer than the time inside the spaceship

.” Let’s look at this!!!!!!!

There’s just a person on the ground, and a person in a spaceship moving at constant velocity. The two people are identical.
They have mirrors at their feet and on their heads. Now if you bounce light off those mirrors
it’ll look like it’s moving along the black arrow. Right???????
Let’s say that bouncing light moved

during

seconds.
Both people would have seen it this way!!!!
Alright but, if the person on the left who is outside the spaceship sees that light bouncing inside the spaceship

it would look like it moves along the red line!!!!!!!
It would look like this~~~~~~~~
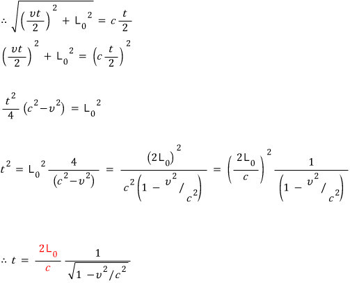
But!!!!!!!! It’s Einstein’s postulate that the speed of that light, as seen by the person outside the spaceship at rest, also looks exact~~~ly the same as c!!!
Then since the speed of light traveling along the red line hasn’t changed,
and if we let the time in the spaceship be t,
clearly the spaceship traveled at constant velocity v for t seconds, so
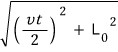
the length of the base of the right triangle is

therefore the length of the hypotenuse of the right triangle is

then from the light’s perspective, we can say it traveled

distance during

seconds!!!!!!!! [speed x time = distance]

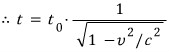
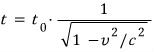
Ah but c times 2L-zero is!!!!!! the time it takes to travel 2L-zero at the speed of light!!!!!
What did we call it????????? We called it t-zero, right?????
The time t-zero for going back and forth like the black arrow!!!!
That is,

If we think again about why the discrepancy in time happened,
it’s because Einstein, of all things, just went and assumed that the ‘speed of light’ has to look exact!!!!ly the same whether the person is moving or at rest~~~
so to satisfy that postulate, there inevitably had to be a discrepancy with respect to time, which is how the conclusion that time flows differently came out.
Common-sensically, you might think it’s totally absurd dog-nonsense,
but since this is already applied and used in various scientific technologies,
even if you don’t believe it, you have to believe it…. that kind of …T_TT_TT_T
haa….T_T
Who said studying is the easiest thing in the world -_- come out here…. T_TT_TT_T ugh…
If you’ve seen the movie Interstellar, you’ll roughly get what this equation is saying.
When the daughter on Earth saw the dad on the spaceship,
didn’t the dad’s time flow slower than her own, so their ages were different?!?!!!!!
But!!!!!!!!!!
Let’s look at it from the dad’s perspective….
The dad rather feels that he himself is at rest,
and would see the daughter as the one moving, so he’d see the daughter’s time flowing slower than his own time, right???

So shouldn’t this equation hold from the dad’s perspective too??????????
uhhhh~~???????????????
That’s strange~~~~~~~~~~~~??
The answer to this question, I’ll reveal in the “twin paradox.”
‘Terminology’
Limit speed
Suppose there’s a person inside a spaceship faster than the speed of light, shining a flashlight toward the front of the spaceship.
Let’s look at that situation from us on Earth. Since the spaceship’s speed is faster than the speed of light, when we look at it, that light doesn’t hit the front of the spaceship and come into our eyes,
but rather hits the back of the spaceship and comes into our eyes, so even though the flashlight points forward, the light it produces becomes light that lets us see the back of the spaceship….a strange situation could be created.
=====>
Now the contradiction hidden here is that
it violates the ‘principle of relativity (that physical laws are governed the same way).’
So the conclusion that came out is that all natural objects have a speed less than the speed of light, called the limit speed.
Of course, this is content backed by many experimental verifications!!! (it’s trustworthy.)
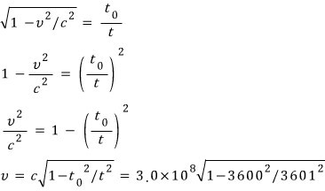
Ex.1 There’s a spaceship that we know about with respect to Earth.
For an observer on Earth, from 1 PM to 2 PM was 3601 seconds on the clock inside the spaceship.
What is the speed of the spaceship with respect to Earth???



Originally written in Korean on my Naver blog (2015-08). Translated to English for gdpark.blog.