Derivation of the Maxwell Stress Tensor — Appendix
Couldn't stand just memorizing it, so I brute-forced my way through a full step-by-step derivation of the Maxwell stress tensor starting from the infinitesimal Lorentz force on a charge density.
So I was studying and got to the part where the Maxwell stress tensor shows up
I absolutely loathe just memorizing and writing it down, and my head isn’t that great, so I just did it the brute-force way
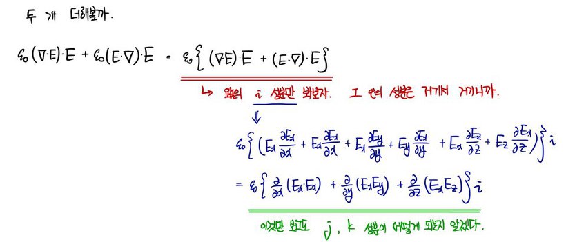
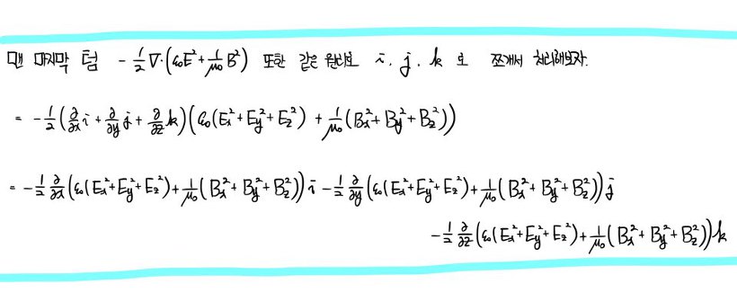
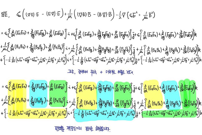
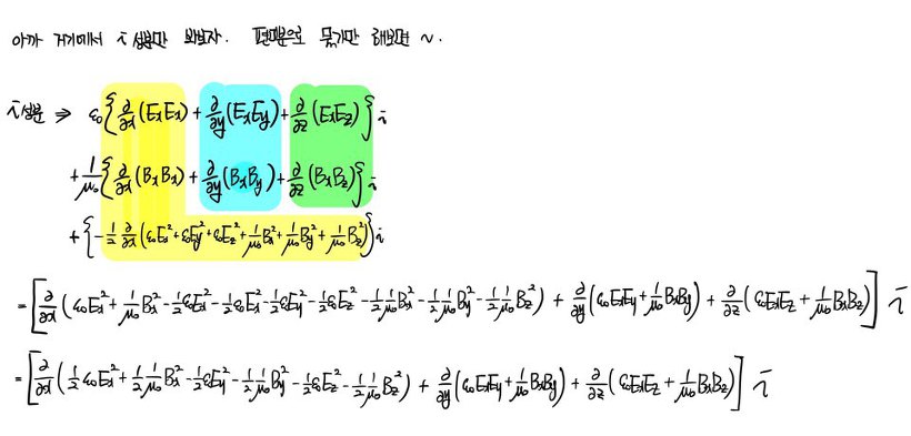
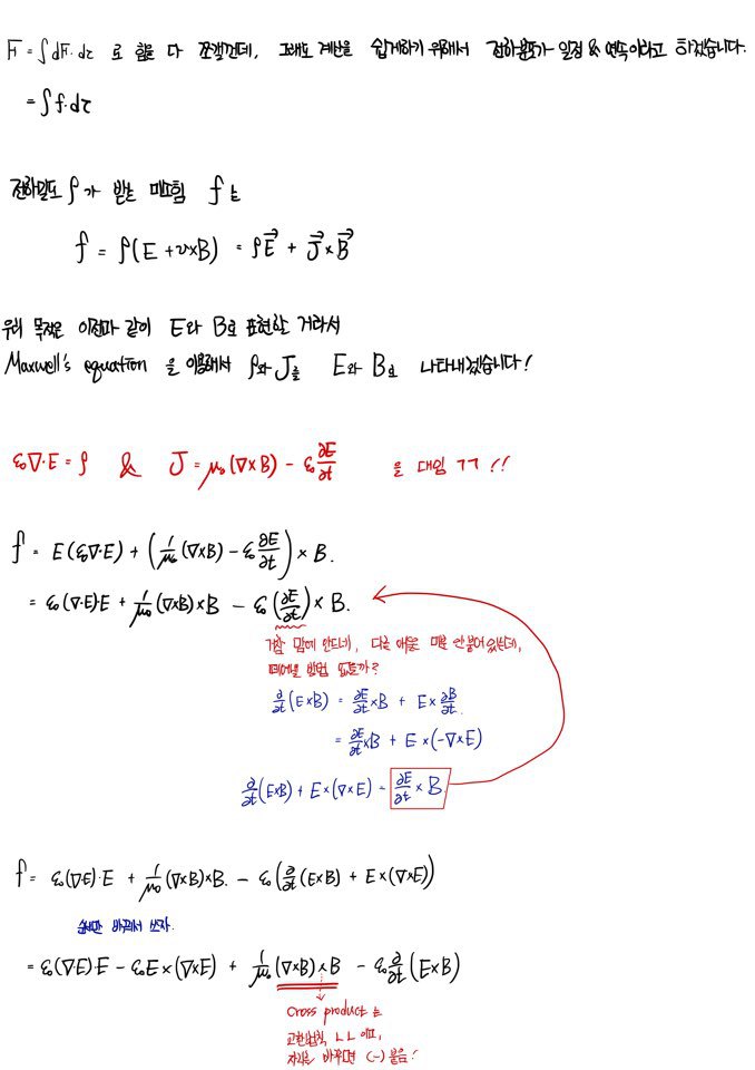
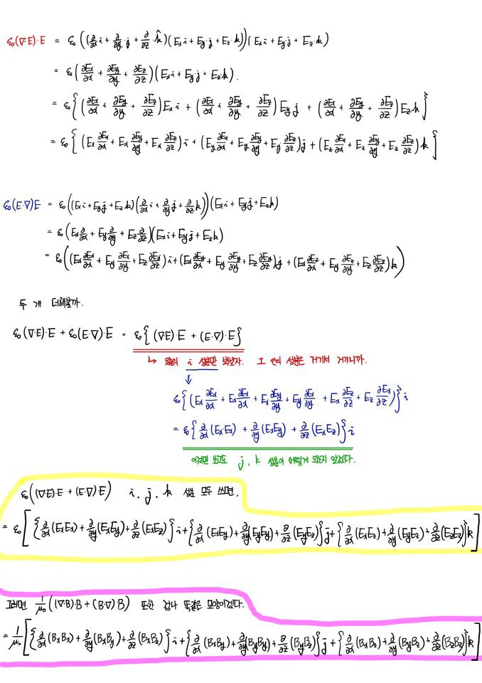
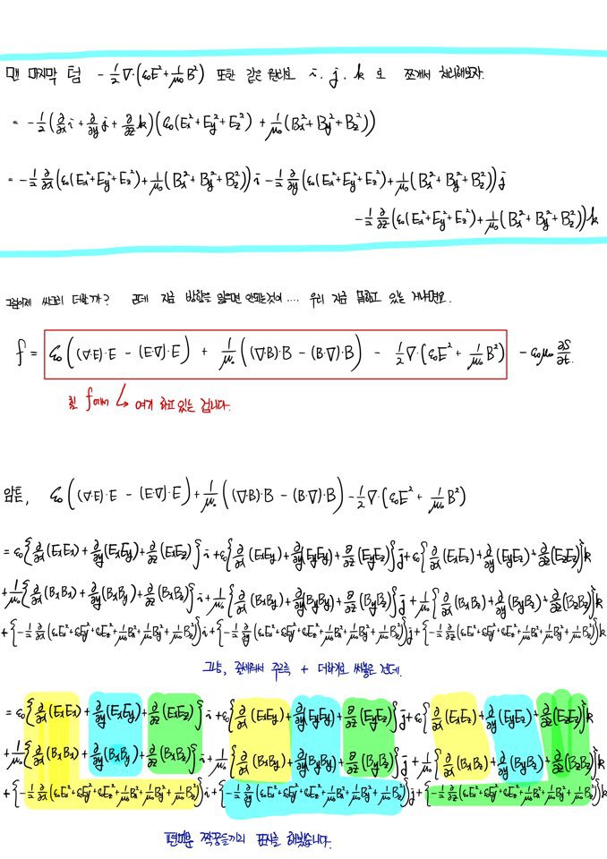
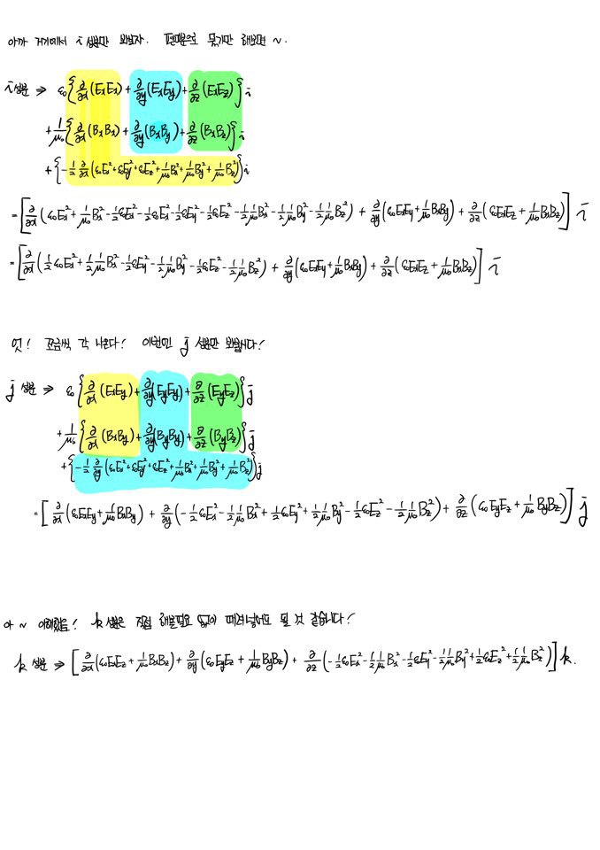
So where do we even start talking about the Maxwell stress tensor…….
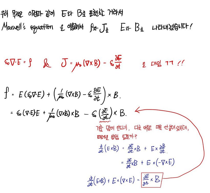
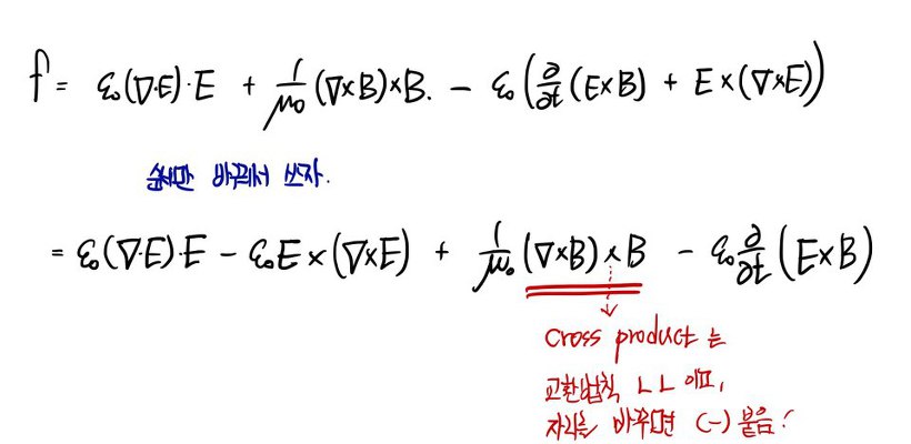
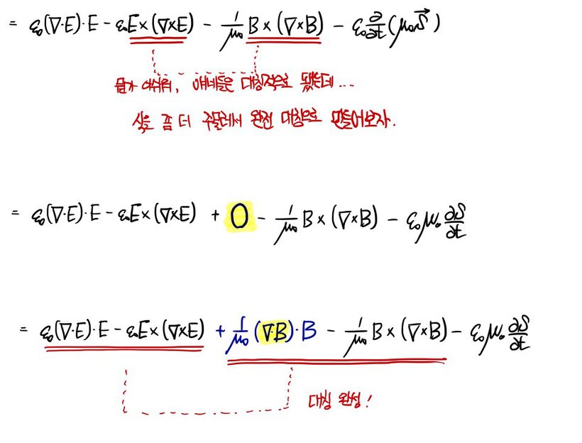
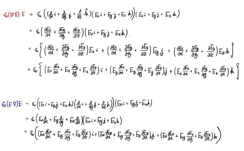
We have to start by defining the infinitesimal force f that the charge density ρ receives.
(I’ll start by ripping and shredding the force F that the charge receives into infinitesimal forces f.)
I’ll capture it in parts and upload so it’s as visible as possible.
If there’s still something!! that’s too small to see, please let me know!!!!
(I’ll attach the original at the very bottom.)






From here it begins%%%%$$##@@@&

















Original








Originally written in Korean on my Naver blog (2015-03). Translated to English for gdpark.blog.