Practice Problems: Chapter 19
Working through Chapter 19 practice problems on average energy, the equipartition theorem, and potential wells — plus one I got stuck on and would love feedback on!
Prob 19.1
He atom, Xe atom, Ar atom, Kr atom
What is the average energy of the gas at room temperature in eV?
(hint: do we have to calculate all four?)

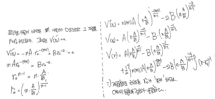
Prob 19.3
A particle at position r is inside the following potential well V(r).

Here A and B are constants and n > 2.
Show that the bottom of the well can be approximated by a squared term.
So, assuming the equipartition theorem is valid in this situation,
find the average energy of the particle above the bottom of the well at temperature T.


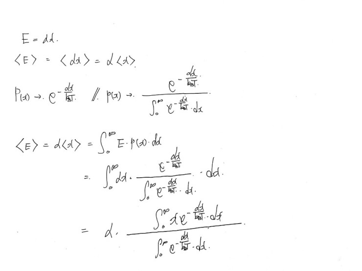
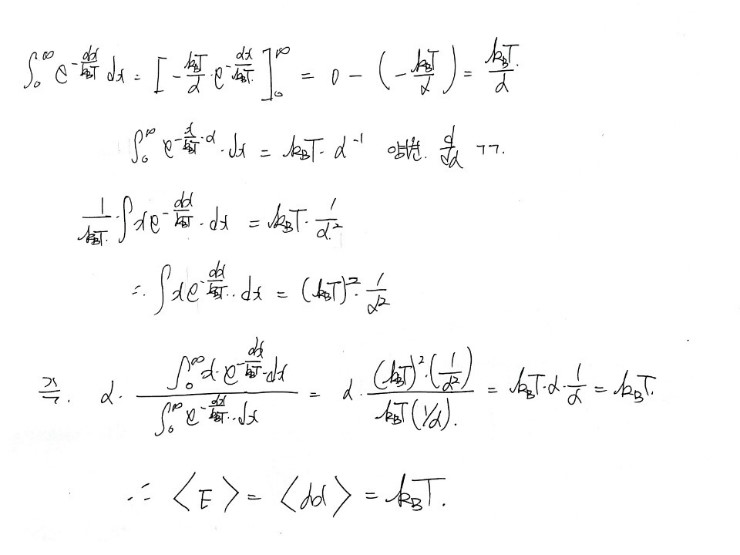
Prob 19.4
In example 19.1, show the following



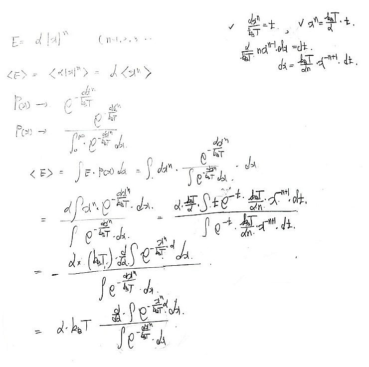
Prob 19.5
If the energy E of the system is not a squared term, and

is given as such, show that the average energy is




(For the very last problem, I got this far but I can’t get to the conclusion. I’m posting it because I’d like to get some feedback.)
Originally written in Korean on my Naver blog (2016-12). Translated to English for gdpark.blog.