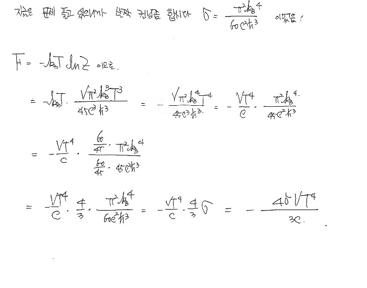
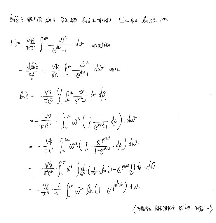
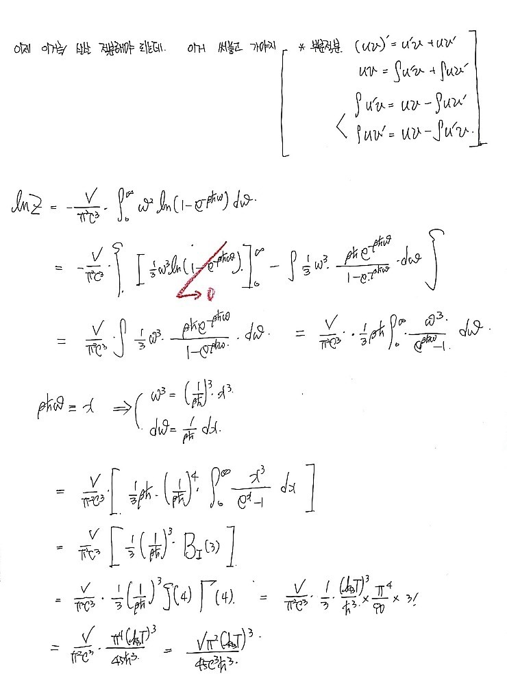
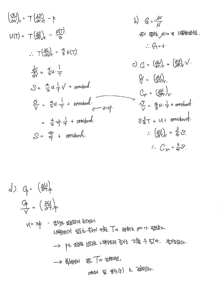
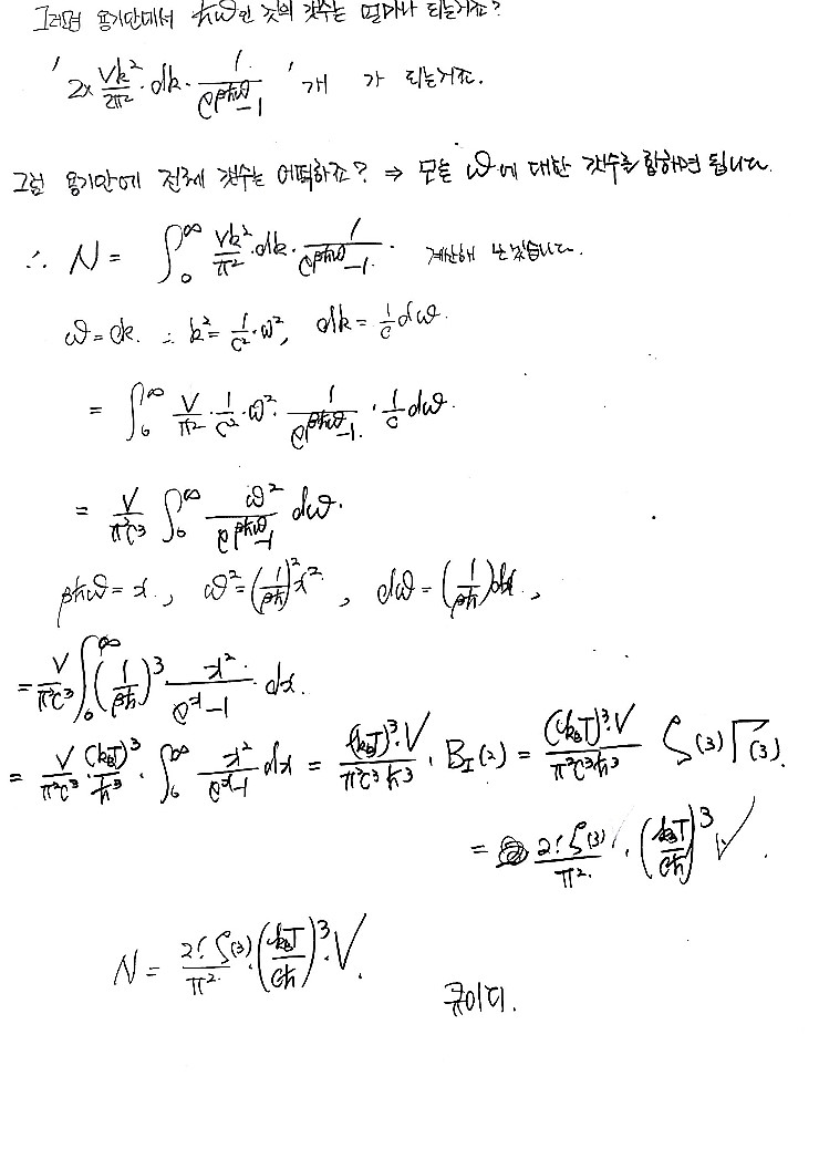
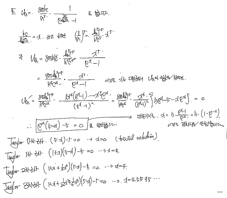
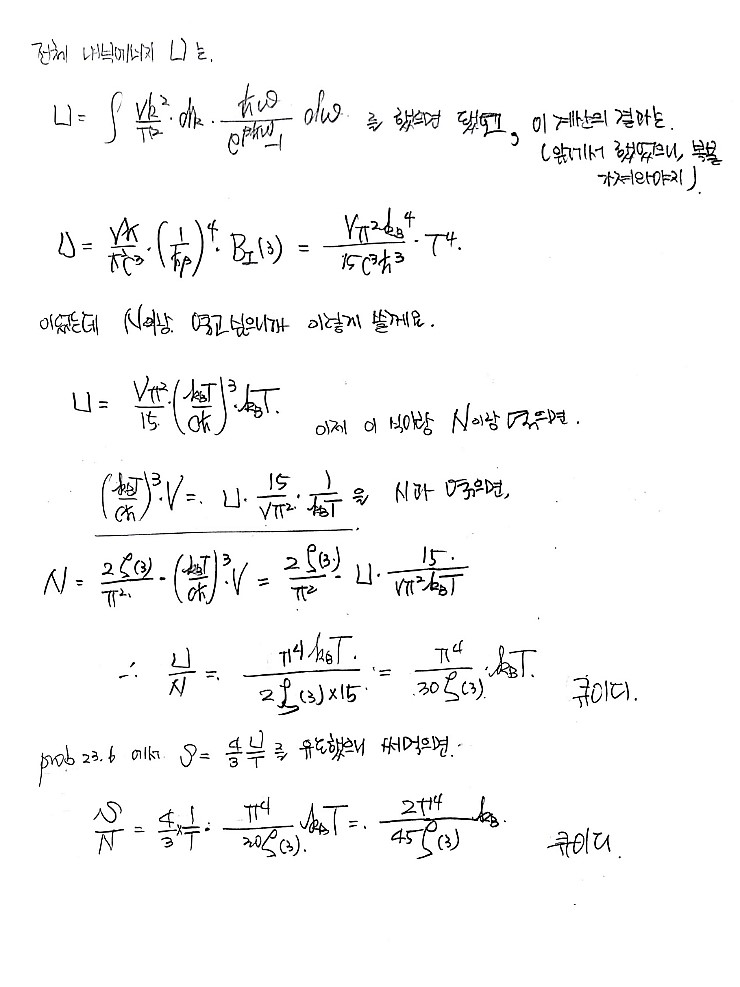
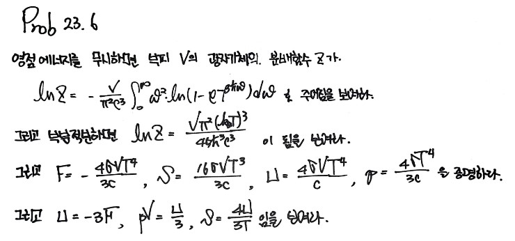
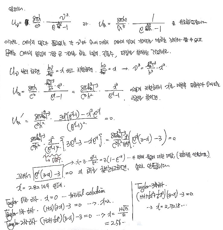
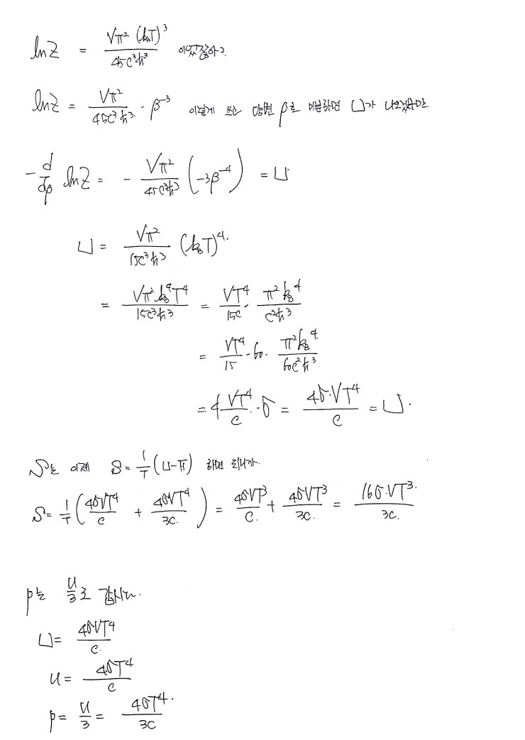
Physics Thermal & Statistical Mechanics I Studied #78Practice Problems: Chapter 23A set of practice problems from Chapter 23, compiled as image-based problem sets for study and review.Dec 30, 2016 · 1 min read·gdparkOriginally written in Korean on my Naver blog (2016-12). Translated to English for gdpark.blog.Thermal & Statistical Mechanics I Studied← Previous #77 · Practice Problems: Chapter 29Next → #79 · Practice Problems: Chapter 25Show all 80 posts in this series#1 Stirling's Formula and Stirling's Approximation#2 Chapter 3 Practice Problems#3 Microstates and Macrostates#4 Temperature#5 Chapter 4 Practice Problems#6 Chapter 4 Practice Problems (Part 2)#7 Velocity Distribution Function of Gas Molecules#8 Maxwell-Boltzmann Speed Distribution#9 Proofs of Integrals Commonly Used in Thermal and Statistical Mechanics (Reference Links)#10 Expected Speed, Expected Energy, and Statistical Analysis of Ideal Gas Speed#11 Ideal Gas Equation of State and Pressure#12 Chapter 6 Practice Problems#13 Graham's Law of Effusion#14 Chapter 7 Practice Problems#15 Mean Free Path Between Molecules#16 The First Law of Thermodynamics, State Functions, and Exact vs. Inexact Differentials#17 Chapter 11 Practice Problems#18 Isothermal Expansion and Contraction, Adiabatic Expansion and Contraction#19 Chapter 12 Practice Problems#20 The Second Law of Thermodynamics and the Clausius Inequality#21 Chapter 13 Practice Problems#22 Entropy: Thermodynamic and Statistical Mechanical Perspectives#23 Reciprocal Theorem and Reciprocity Theorem#24 Free Expansion (Joule Expansion) and Entropy of Mixing#25 Entropy Practice Problems#26 Gibbs' Expression for the Entropy#27 Enthalpy, Helmholtz Free Energy, and Gibbs Free Energy#28 Maxwell Relations#29 Isobaric Expansivity, Adiabatic Expansivity, Isothermal Compressibility, and Adiabatic Compressibility#30 Chapter 16 Practice Problems#31 Equipartition Theorem#32 Limits of the Equipartition Theorem#33 The Partition Function#34 Relationship Between the Partition Function and State Functions#35 Partition Functions for a Two-Level System and the Harmonic Oscillator#36 Density of States and Statistical Mechanics of the Ideal Gas#37 Density of States: Another Perspective#38 Quantum Concentration and Thermal de Broglie Wavelength#39 Partition Function for Indistinguishable Particles#40 The Grand Canonical Ensemble#41 The Grand Partition Function#42 Grand Potential#43 Chemical Potential of an Ideal Gas#44 Chemical Potential as Gibbs Free Energy per Particle#45 Chemical Potential of Photons#46 Pressure Dependence of Chemical Potential#47 Le Chatelier's Principle#48 Bose-Einstein and Fermi-Dirac Distributions#49 The Stefan-Boltzmann Law#50 The Stefan-Boltzmann Constant#51 Black-Body Radiation Energy and Spectral Radiance#52 The Bose Integral#53 Ultrarelativistic Gas#54 Van der Waals Gas Equation of State#55 Critical Temperature, Volume, and Pressure of the Van der Waals Gas#56 Superheating and Supercooling#57 Maxwell's Construction#58 Joule Coefficient and Joule Expansion of an Ideal Gas#59 Joule-Kelvin Expansion and the Inversion Curve#60 Trouton's Rule#61 The Clausius-Clapeyron Equation#62 Temperature Dependence of Latent Heat for an Ideal Gas#63 Phase Coexistence Curves of Water#64 Kelvin's Formula and Why Water Boils#65 Gibbs Free Energy of a Water Droplet and Bubble Nucleation#66 Ebullioscopic and Cryoscopic Constants#67 Symmetry Breaking#68 Ising Model, Monte Carlo Method, and the Metropolis Algorithm#69 Fourier Series and Fourier Transform: A Brief Introduction#70 Brownian Motion and the Langevin Equation#71 Diffusion Equation and Diffusion Constant via Brownian Motion#72 Brownian Motion and the Correlation Function#73 Fluctuations#74 Practice Problems: Chapter 19#75 Practice Problems: Chapter 20#76 Practice Problems: Chapter 21#77 Practice Problems: Chapter 29#78 Practice Problems: Chapter 23#79 Practice Problems: Chapter 25#80 Practice Problems: Chapters 26 & 27