Practice Problems: Chapter 20
Work through Chapter 20 practice problems on high-temperature partition functions, thermodynamic quantities, and rotational energy levels for harmonic oscillators and diatomic molecules.
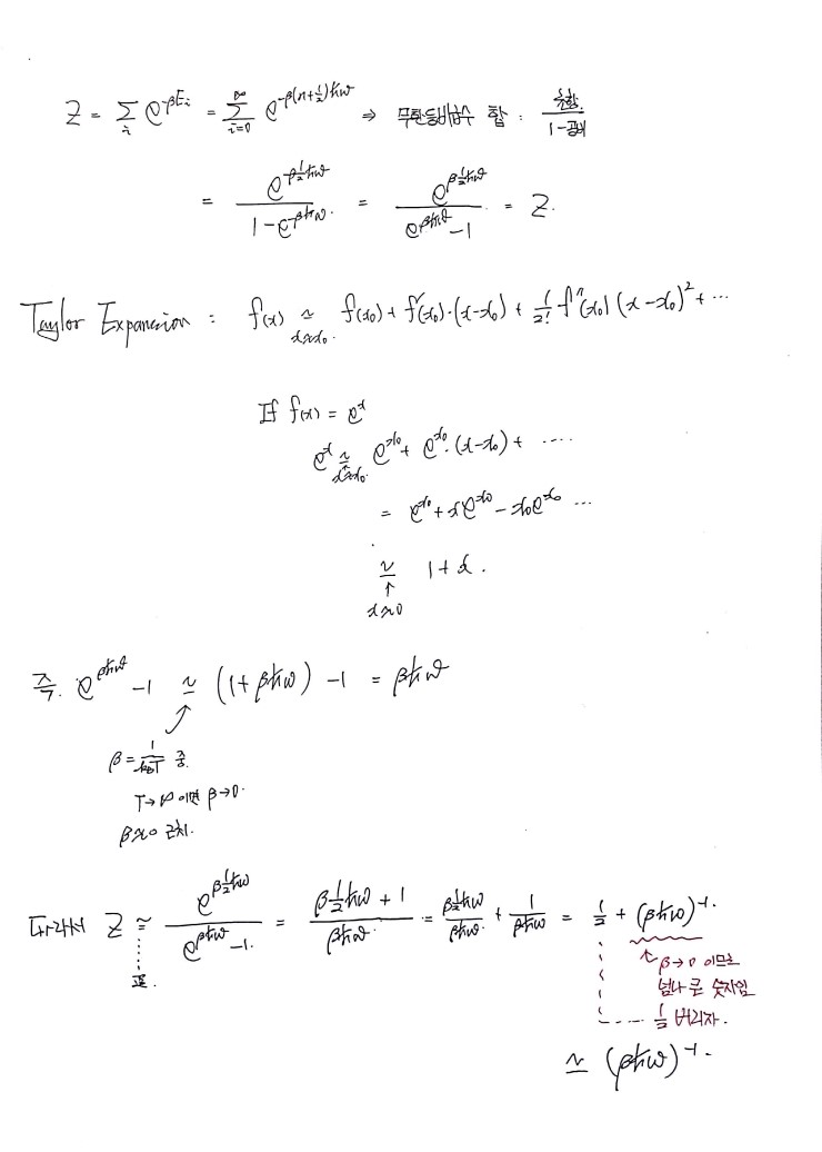
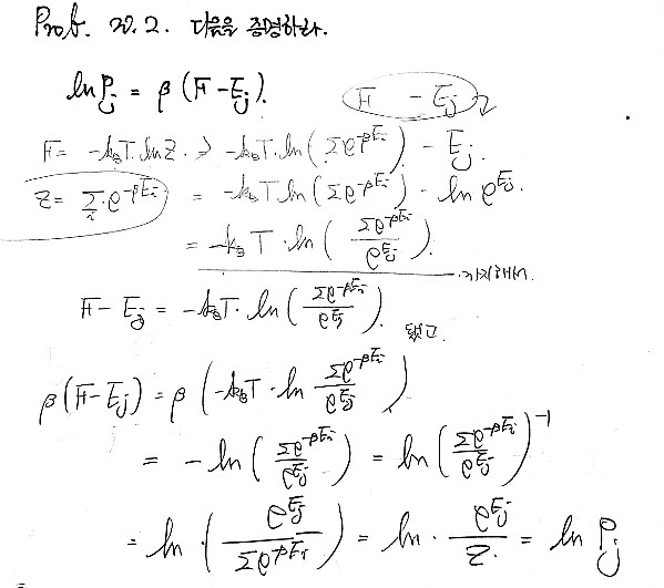
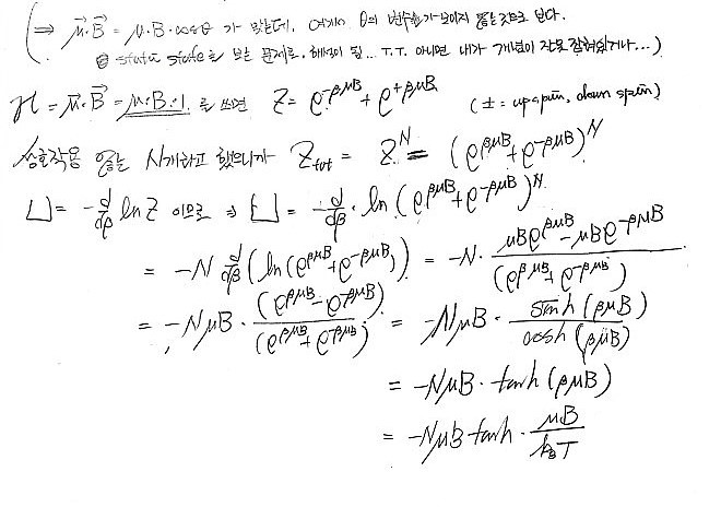
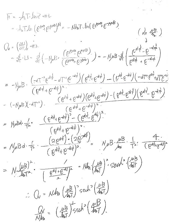
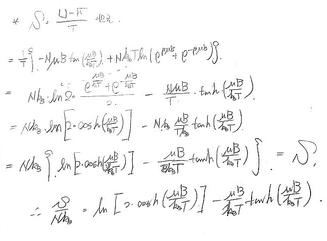
Prob 20.1
At high temperatures,

if this holds,
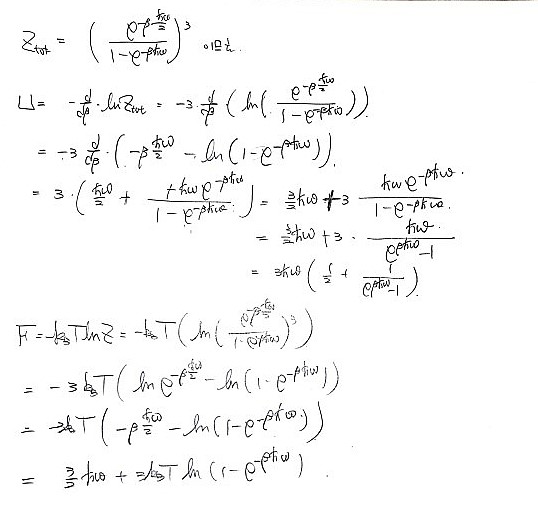
show that the partition function of a simple harmonic oscillator is approximately

.
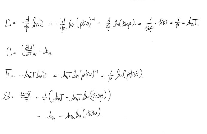
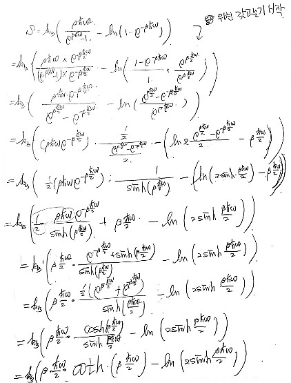
At this point, find U, C, F, S at high temperatures.
For the high-temperature limit of the rotational energy levels of a diatomic molecule given by

, solve the same problem as well.





















Originally written in Korean on my Naver blog (2016-12). Translated to English for gdpark.blog.