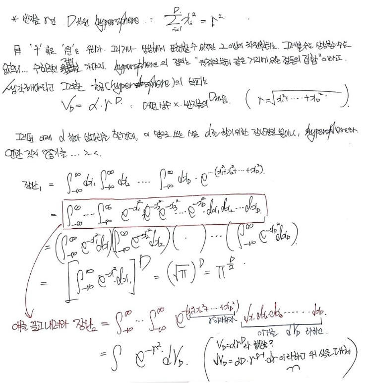
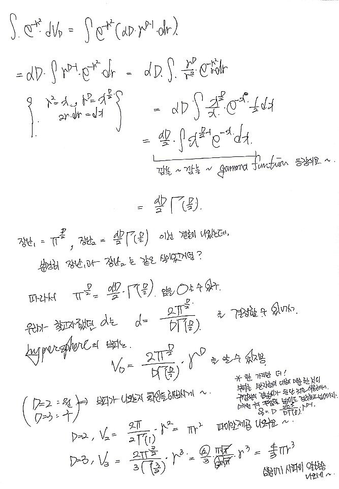
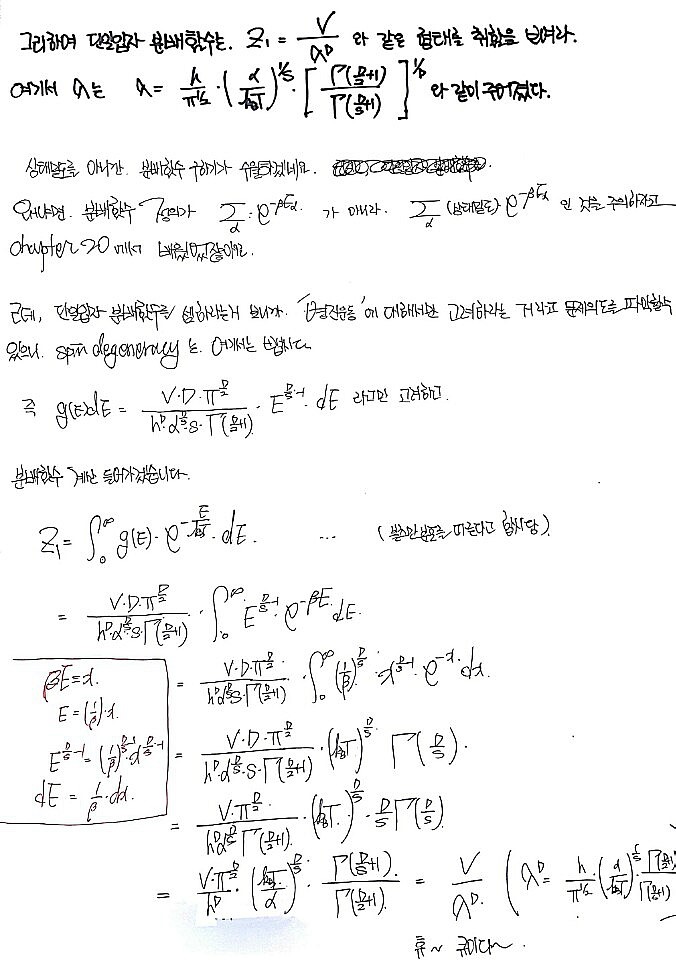
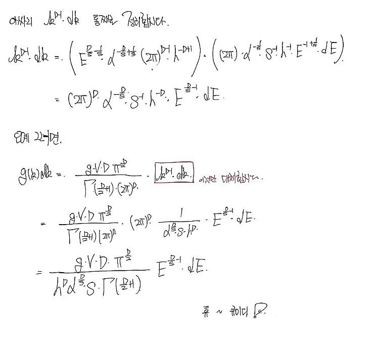
Practice Problems: Chapter 25
A set of practice problems for Chapter 25 — work through these to test your understanding before the next exam.
A set of practice problems for Chapter 25 — work through these to test your understanding before the next exam.