Practice Problems: Chapter 29
Sharing my worked solutions for Chapter 29 practice problems on Fermi-Dirac & Bose-Einstein distributions — not all problems covered, so take it as a reference and feel free to correct me!
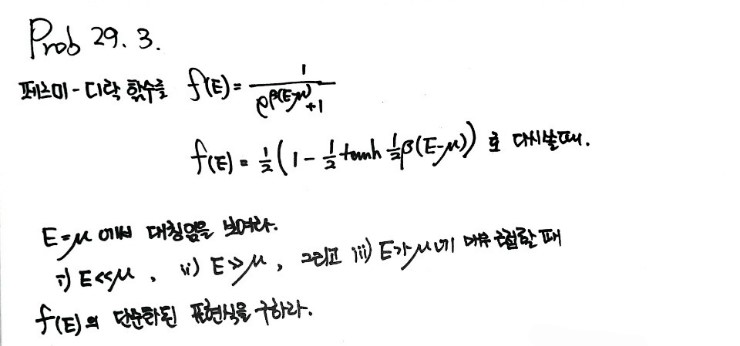
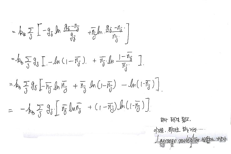
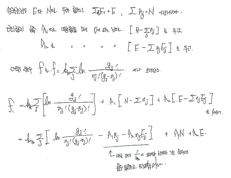
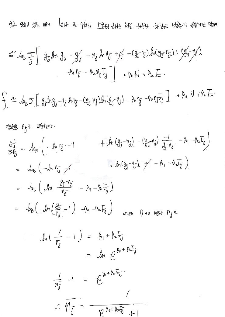
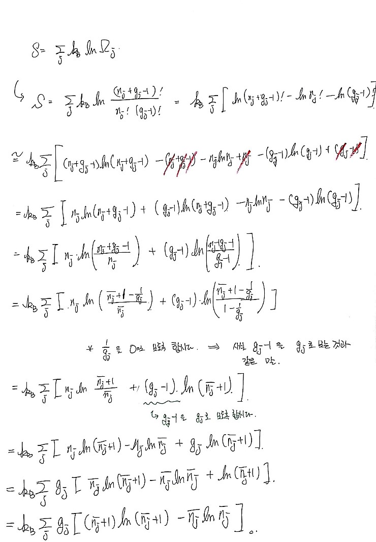
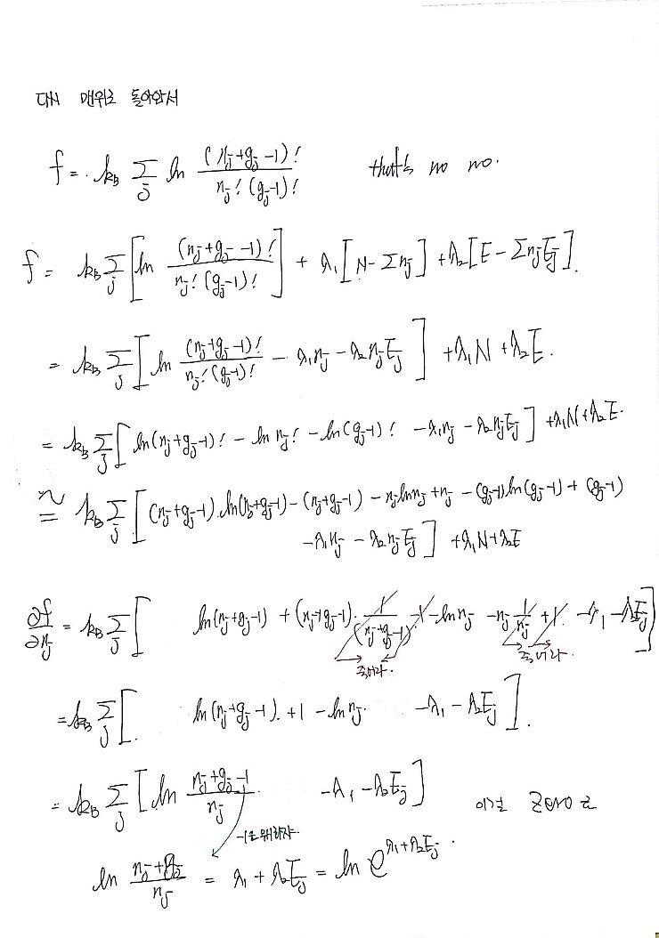
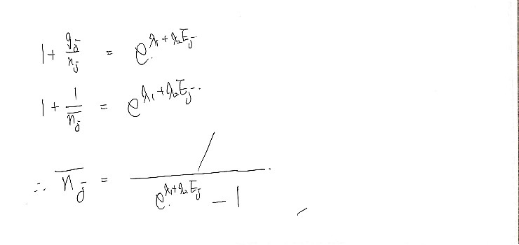
Chapter 29 was about the Fermi-Dirac & Bose-Einstein distributions,
and as for why the post order suddenly jumped to Chap 29,
when covering the concepts, that was the order of my postings.
The reason is, to derive Boltzmann-Stefan in Chap 23, this is how it had to be done….
(It would have been nice if the book’s order had been this way too, but) I switched the post order for a bit.
Anyway, since I’m only uploading the problems I solved with certainty,
it’s a shame there aren’t answers to every problem.
Please just use it for reference, and corrections are always welcome!!
















Originally written in Korean on my Naver blog (2016-12). Translated to English for gdpark.blog.